Wikipedia

Non-innocent ligand

In chemistry, a (redox) non-innocent ligand is a ligand in a metal complex where the oxidation state is not clear. Typically, complexes containing non-innocent ligands are redox active at mild potentials. The concept assumes that redox reactions in metal complexes are either metal or ligand localized, which is a simplification, albeit a useful one.[1]

C.K. Jørgensen first described ligands as "innocent" and "suspect": "Ligands are innocent when they allow oxidation states of the central atoms to be defined. The simplest case of a suspect ligand is NO..."[2]

Redox reactions of complexes of innocent vs. non-innocent ligands

Conventionally, redox reactions of coordination complexes are assumed to be metal-centered. The reduction of MnO4 to MnO42− is described by the change in oxidation state of manganese from 7+ to 6+. The oxide ligands do not change in oxidation state, remaining 2-.[3] Oxide is an innocent ligand. Another example of conventional metal-centered redox couple is [Co(NH3)6]3+/[Co(NH3)6]2+. Ammonia is innocent in this transformation.

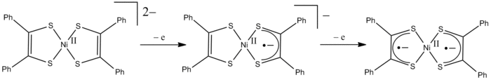
Non-innocent1.png

Redox non-innocent behavior of ligands is illustrated by nickel bis(stilbenedithiolate) ([Ni(S2C2Ph2)2]z), which exists in three oxidation states: z = 2-, 1-, and 0. If the ligands are always considered to be dianionic (as is done in formal oxidation state counting), then z = 0 requires that that nickel has a formal oxidation state of +IV. The formal oxidation state of the central nickel atom therefore ranges from +II to +IV in the above transformations (see Figure). However, the formal oxidation state is different from the real (spectroscopic) oxidation state based on the (spectroscopic) metal d-electron configuration. The stilbene-1,2-dithiolate behaves as a redox non-innocent ligand, and the oxidation processes actually take place at the ligands rather than the metal. This leads to the formation of ligand radical complexes. The charge-neutral complex (z =0) is therefore best described as a Ni2+ derivative of S2C2Ph2. The diamagnetism of this complex arises from anti-ferromagnetic coupling between the unpaired electrons of the two ligand radicals. Another example is higher oxidation states of copper complexes of diamido phenyl ligands that are stabilized by intramolecular multi center hydrogen bonding[4]

Typical non-innocent ligands

  • Nitrosyl (NO) binds to metals in one of two extreme geometries - bent where NO is treated as a pseudohalide (NO), and linear, where NO is treated as NO+.
  • Dioxygen can be non-innocent, since it exists in two oxidation states, superoxide (O2) and peroxide (O22−).[5]

Ligands with extended pi-delocalization such as porphyrins, phthalocyanines, and corroles[6] and ligands with the generalised formulas [D-CR=CR-D]n− (D = O, S, NR’ and R, R' = alkyl or aryl) are often non-innocent. In contrast, [D-CR=CR-CR=D] such as NacNac or acac are innocent.

  • catecholates and related 1,2-dioxalenes.[7]
  • dithiolenes, such as maleonitriledithiolate (see example of [Ni(S2C2Ph2)2]n− above).
  • 1,2-diimines such as derivatives of 1,2-diamidobenzene, 2,2'-bipyridine, and dimethylglyoxime. The complex Cr(2,2'-bipyridine)3 is a derivative of Cr(III) bound to three bipyridine1− ligands. On the other hand, one-electron oxidation of [Ru(2,2'-bipyridine)3]2+ is localized on Ru and the bipyridine is behaving as a normal, innocent ligand in this case.
  • ligands containing ferrocene can have oxidation events centered on the ferrocene iron center rather than the catalytically active metal center.[8]
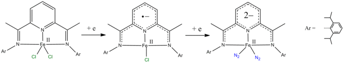
  • pyridine-2,6-diimine ligands can be reduced by one and two electrons.[9][10]
Non-innocent2.png

Redox non-innocent ligands in biology and homogeneous catalysis

In certain enzymatic processes, redox non-innocent cofactors provide redox equivalents to complement the redox properties of metalloenzymes. Of course, most redox reactions in nature involve innocent systems, e.g. [4Fe-4S] clusters. The additional redox equivalents provided by redox non-innocent ligands are also used as controlling factors to steer homogeneous catalysis. [11][12][13]

Hemes

Oxygen rebound mechanism utilized by cytochrome P450 for conversion of hydrocarbons to alcohols via the action of "compound I", an iron(IV) oxide bound to a radical heme, which is non-innocent.

Porphyrin ligands can be innocent (2-) or noninnocent (1-). In the enzymes chloroperoxidase and cytochrome P450, the porphyrin ligand sustains oxidation during the catalytic cycle, notably in the formation of Compound I. In other heme proteins, such as myoglobin, ligand-centered redox does not occur and the porphyrin is innocent.

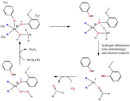
Galactose oxidase

Non-innocent4.png

The catalytic cycle of galactose oxidase (GOase) illustrates the involvement of non-innocent ligands.[14][15] GOase oxidizes primary alcohols into aldehydes using O2 and releasing H2O2. The active site of the enzyme GOase features a tyrosyl coordinated to a CuII ion. In the key steps of the catalytic cycle, a cooperative Brønsted-basic ligand-site deprotonates the alcohol, and subsequently the oxygen atom of the tyrosinyl radical abstracts a hydrogen atom from the alpha-CH functionality of the coordinated alkoxide substrate. The tyrosinyl radical participates in the catalytic cycle: 1e-oxidation is effected by the Cu(II/I) couple and the 1e oxidation is effected by the tyrosyl radical, giving an overall 2e change. The radical abstraction is fast. Anti-ferromagnetic coupling between the unpaired spins of the tyrosine radical ligand and the d9 CuII center gives rise to the diamagnetic ground state, consistent with synthetic models.[16]

See also

References

  1. ^ Ganguly, Sumit; Ghosh, Abhik (2019-07-16). "Seven Clues to Ligand Noninnocence: The Metallocorrole Paradigm". Accounts of Chemical Research. 52 (7): 2003–2014. doi:10.1021/acs.accounts.9b00115. ISSN 0001-4842. PMID 31243969.
  2. ^ Jørgensen CK (1966). "Differences between the four halide ligands, and discussion remarks on trigonal-bipyramidal complexes, on oxidation states, and on diagonal elements of one-electron energy". Coordination Chemistry Reviews. 1 (1–2): 164–178. doi:10.1016/S0010-8545(00)80170-8.
  3. ^ Although a more careful examination of the electronic structure of the redox partners reveals however that the oxide ligands are affected by the redox change, this effect is minor and the formal oxidation state of oxygen stays the same.
  4. ^ Rajabimoghadam, Khashayar; Darwish, Yousef; Bashir, Umyeena; Pitman, Dylan; Eichelberger, Sidney; Siegler, Maxime A.; Swart, Marcel; Garcia-Bosch, Isaac (2018). "Catalytic Aerobic Oxidation of Alcohols by Copper Complexes Bearing Redox-Active Ligands with Tunable H-Bonding Groups". Journal of the American Chemical Society. 140 (48): 16625–16634. doi:10.1021/jacs.8b08748. PMC 6645702. PMID 30400740.
  5. ^ Kaim W, Schwederski B (2010). "Non-innocent ligands in bioinorganic chemistry—An overview". Coordination Chemistry Reviews. 254. (13-14) (13–14): 1580–1588. doi:10.1016/j.ccr.2010.01.009.
  6. ^ Ghosh, Abhik (2017-02-22). "Electronic Structure of Corrole Derivatives: Insights from Molecular Structures, Spectroscopy, Electrochemistry, and Quantum Chemical Calculations". Chemical Reviews. 117 (4): 3798–3881. doi:10.1021/acs.chemrev.6b00590. ISSN 0009-2665.
  7. ^ Zanello P, Corsini M (2006). "Homoleptic, mononuclear transition metal complexes of 1,2-dioxolenes: Updating their electrochemical-to-structural (X-ray) properties". Coordination Chemistry Reviews. 250 (15–16): 2000–2022. doi:10.1016/j.ccr.2005.12.017.
  8. ^ Wang X, Thevenon A, Brosmer JL, Yu I, Khan SI, Mehrkhodavandi P, Diaconescu PL (August 2014). "Redox control of group 4 metal ring-opening polymerization activity toward L-lactide and ε-caprolactone". J. Am. Chem. Soc. 136 (32): 11264–7. doi:10.1021/ja505883u. PMID 25062499.
  9. ^ de Bruin B, Bill E, Bothe E, Weyhermüller T, Wieghardt K (June 2000). "Molecular and electronic structures of bis(pyridine-2,6-diimine)metal complexes [ML2](PF6)n (n = 0, 1, 2, 3; M = Mn, Fe, Co, Ni, Cu, Zn)". Inorg Chem. 39 (13): 2936–47. doi:10.1021/ic000113j. PMID 11232835.
  10. ^ Chirik PJ, Wieghardt K (February 2010). "Chemistry. Radical ligands confer nobility on base-metal catalysts". Science. 327 (5967): 794–5. doi:10.1126/science.1183281. PMID 20150476.
  11. ^ Lyaskovskyy V, de Bruin B (2012). "Redox Non-Innocent Ligands: Versatile New Tools to Control Catalytic Reactions". ACS Catalysis. 2 (2): 270–279. doi:10.1021/cs200660v.
  12. ^ Luca OR, Crabtree RH (February 2013). "Redox-active ligands in catalysis". Chem Soc Rev. 42 (4): 1440–59. doi:10.1039/c2cs35228a. PMID 22975722.
  13. ^ Chirila, Andrei; Das, Braja Gopal; Kuijpers, Petrus F.; Sinha, Vivek; Bruin, Bas de (2018), "Application of Stimuli-Responsive and "Non-innocent" Ligands in Base Metal Catalysis", Non-Noble Metal Catalysis, John Wiley & Sons, Ltd, pp. 1–31, doi:10.1002/9783527699087.ch1, ISBN 9783527699087
  14. ^ Whittaker MM, Whittaker JW (March 1993). "Ligand interactions with galactose oxidase: mechanistic insights". Biophys. J. 64 (3): 762–72. Bibcode:1993BpJ....64..762W. doi:10.1016/S0006-3495(93)81437-1. PMC 1262390. PMID 8386015.
  15. ^ Wang Y, DuBois JL, Hedman B, Hodgson KO, Stack TD (January 1998). "Catalytic galactose oxidase models: biomimetic Cu(II)-phenoxyl-radical reactivity". Science. 279 (5350): 537–40. Bibcode:1998Sci...279..537W. doi:10.1126/science.279.5350.537. PMID 9438841.
  16. ^ Müller J, Weyhermüller T, Bill E, Hildebrandt P, Ould-Moussa L, Glaser T, Wieghardt K (March 1998). "Why Does the Active Form of Galactose Oxidase Possess a Diamagnetic Ground State?". Angew. Chem. Int. Ed. Engl. 37 (5): 616–619. doi:10.1002/(SICI)1521-3773(19980316)37:5<616::AID-ANIE616>3.0.CO;2-4. PMID 29711069.

Further reading

  • Dzik, W. I..; Zhang, X. P.; de Bruin, B. (2011). "Redox Noninnocence of Carbene Ligands: Carbene Radicals in (Catalytic) C-C Bond Formation". Inorganic Chemistry. 50 (20): 9896–9903. doi:10.1021/ic200043a. PMID 21520926.
  • Büttner, T.; Geier, J.; Frison, G.; Harmer, J.; Calle, C.; Schweiger, A.; Schönberg, H.; Grützmacher, H. (2005). "A Stable Aminyl Radical Metal Complex". Science. 307. 307 (5707): 235–238. Bibcode:2005Sci...307..235B. doi:10.1126/science.1106070. PMID 15653498.
  • Hetterscheid, D.G.H.; Kaiser, J.; Reijerse, E.; Peters, T.P.J.; Thewissen, S.; Blok, A.N.J.; Smits, J.M.M.; de Gelder, R.; de Bruin, B. (2005). "IrII(ethene): Metal or Carbon Radical?". Journal of the American Chemical Society. 127 (6): 1895–1905. doi:10.1021/ja0439470. PMID 15701024.
  • Blanchard, S.; Derat, E.; Desage-El Murr, M.; Fensterbank, L.; Malacria, M; Mouriès-Mansuy, V. (2012). "Non-Innocent Ligands: New Opportunities in Iron Catalysis". European Journal of Inorganic Chemistry. 2012 (3): 376–389. doi:10.1002/ejic.201100985.
  • Kaim, W. (2012). "The Shrinking World of Innocent Ligands: Conventional and Non-Conventional Redox-Active Ligands". European Journal of Inorganic Chemistry. 2012 (3): 343–348. doi:10.1002/ejic.201101359.
This article is copied from an article on Wikipedia® - the free encyclopedia created and edited by its online user community. The text was not checked or edited by anyone on our staff. Although the vast majority of Wikipedia® encyclopedia articles provide accurate and timely information, please do not assume the accuracy of any particular article. This article is distributed under the terms of GNU Free Documentation License.

Copyright © 2003-2025 Farlex, Inc Disclaimer
All content on this website, including dictionary, thesaurus, literature, geography, and other reference data is for informational purposes only. This information should not be considered complete, up to date, and is not intended to be used in place of a visit, consultation, or advice of a legal, medical, or any other professional.