Wikipedia

Metal dithiolene complex

(redirected from Dithiolene)
Structure of Mo(S2C2Ph2)3.

Metal dithiolene complexes are complexes containing dithiolene ligands. Dithiolene ligands are unsaturated bidentate ligand wherein the two donor atoms are sulfur. Dithiolenes are often referred to as "metallodithiolenes" or "dithiolene complexes".[1] Most molybdenum- and tungsten-containing proteins have dithiolene-like moieties at their active sites, which feature the so-called molybdopterin cofactor bound to the Mo or W.[2]

Metal dithiolenes have been studied since the 1960s when they were first popularized by Gerhard N. Schrauzer and Volker P. Mayweg, who prepared nickel bis(stilbenedithiolate) (Ni(S2C2Ph2)2) by the reaction of nickel sulfide and diphenylacetylene.[3] The structural, spectroscopic, and electrochemical properties of many related complexes have been described.

Structure and bonding

Dithiolene complexes can be found where the metal centre is coordinated by one, two, or three dithiolene ligands. The tris(dithiolene) complexes were the first examples of trigonal prismatic geometry in coordination chemistry. One example is Mo(S2C2Ph2)3. Similar structures have been observed for several other metals.[4]

Sample of (Et4N)2Ni(mnt)2, illustrating the intense color that typifies many dithiolene complexes.

Because of the unusual redox and intense optical properties of dithiolenes, the electronic structure of dithiolene complexes has been the subject of intense study. Dithiolene ligands can exist in three oxidation states: the dianionic "ene-1,2-dithiolate", the neutral "1,2-dithioketone," and a monoanionic radical intermediate between these two. When the latter two are complexed to a metal centre, the oxidation state of the ligand (and therefore the metal centre) cannot be easily defined. Such ligands are therefore referred to as non-innocent. The substituents on the backbone of the dithiolene ligand, R and R', affect the properties of the resulting metal complex in the expected way. Long chains confer solubility in less polar solvents. Electron acceptors (e.g. CN, CO2Me) stabilize reduced and anionic complexes. Derivatives are known where the substituents are the same, symmetrical dithiolenes (R = R') are more common than unsymmetrical.

Due to their delocalized electronic structure, metal dithiolenes undergo reversible redox reaction. When oxidized, dithiolene complexes have greater 1,2-dithioketone character. In reduced complexes, the ligand assumes more ene-1,2-dithiolate character. These descriptions are evaluated by examination of differences in C-C and C-S bond distances. The true structure lies somewhere between these resonance structures. Reflecting the impossibility to provide an unequivocal description of the structure, McCleverty introduced the term 'dithiolene' to give a general name for the ligand that does not specify a particular oxidation state. This suggestion was generally accepted, and 'dithiolene' is now a universally accepted term. Only more recently the radical nature of monoanionic 1,2-dithiolene ligands has been pointed out. While few examples of authentic dithiolene radicals have been reported, diamagnetism in neutral bis(1,2-dithiolene) complexes of divalent transition metal ions should be considered as a consequence of a string antiferromagnetic coupling between the two radical ligands.

Limiting resonance structures of a R2C2S2M ring

Applications and occurrence

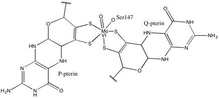
Dithiolenes occur widely in nature in the form of the molybdopterin-bound Mo and W-containing enzymes.

Active site of the enzyme DMSO reductase features two pyranopterindithiolene ligands.[5]

Commercial applications of 1,2-dithiolene complexes are limited. A few dithiolene complexes have been commercialized as dyes in laser applications. Metal dithiolenes have been discussed in the context of conductivity, magnetism, and nonlinear optics. It was proposed to use metal dithiolene complexes that bind unsaturated hydrocarbons at the sulfur centers for industrial olefin (alkene) purifications.[6] However, the complexities within such systems became later apparent, and it was argued that more research would be needed before using metal dithiolene complexes in alkene purifications may become practical.[7]

Preparation

From alkenedithiolates

Most dithiolene complexes are prepared by reaction of alkali metal salts of 1,2-alkenedithiolates with metal halides. A thiolate is the conjugate base of a thiol, so alkenedithiolate is, formally speaking, the conjugate base of an alkenedithiol. Common alkenedithiolates are 1,3-dithiole-2-thione-4,5-dithiolate[8] and maleonitriledithiolate (mnt2−):[9]

Ni2+ + 2 (NC)2C2S22− → Ni[S2C2(CN)2]22−

Some alkenedithiolates are generated in situ, often by complex organic reactions:

cis-H2C2(SCH2Ph)2 + 4 Na → cis-H2C2(SNa)2 + 2 NaCH2Ph

Once generated, these anions are deployed as ligands:

NiCl2 + 2 cis-H2C2(SNa)2 → Na2[Ni(S2C2H2)2] + 2 NaCl

Often the initially formed, electron-rich complex undergoes spontaneous air-oxidation:

[Ni(S2C2H2)2]2− + 2 H+ + 1/2 O2 → Ni(S2C2H2)2 + H2O
Structure of (C5H5)2Mo2(S2C2H2)2, featuring a bridging dithiolene ligand. It was prepared by the addition of acetylene to (C5H5)2Mo2S4.[10]

From acyloins

An early and still powerful method for the synthesis of dithiolenes entails the reaction of α-hydroxyketones, acyloins, with P4S10 followed by hydrolysis and treatment of the mixture with metal salts. This method is used to prepare Ni[S2C2Ar2]2 (Ar = aryl).

From dithietes

Although 1,2-dithiones are rare and thus not useful precursors, their valence isomer, the 1,2-dithietes are occasionally used. One of the more common dithiete is the distillable (CF3)2C2S2, prepared from the reaction of elemental sulfur and hexafluoro-2-butyne. This electrophilic reagent oxidatively adds to many low valent metals to give bis- and tris(dithiolene) complexes.

Mo(CO)6 + 3 (CF3)2C2S2 → [(CF3)2C2S2]3Mo + 6 CO
Ni(CO)4 + 2 (CF3)2C2S2 → [(CF3)2C2S2]2Ni + 4 CO

By reactions of metal sulfides with alkynes

Species of the type Ni[S2C2Ar2]2 were first prepared by reactions of nickel sulfides with diphenylacetylene. More modern versions of this method entail the reaction of electrophilic acetylenes such as dimethyl acetylenedicarboxylate with well defined polysulfido complexes.

History and nomenclature

Early studies on dithiolene ligands, although not called by that name until the 1960s,[11]:58[12] focused on the quinoxaline-2,3-dithiolates and 3,4-toluenedithiolates, which form brightly colored precipitates with several metal centres. Such species were originally of interest in analytical chemistry. Dithiolenes lacking benzene backbones represented an important development of the area, especially maleonitriledithiolate ("mnt"), (NC)2C2S22−, and ethylenedithiolene, H2C2S22−.

References

  1. ^ Karlin, K. D.; Stiefel, E. I., Eds. “Progress in Inorganic Chemistry, Dithiolene Chemistry: Synthesis, Properties, and Applications” Wiley-Interscience: New York, 2003. ISBN 0-471-37829-1
  2. ^ Romão, M. J.; Archer, M.; Moura, I.; Moura, J. J. G.; Legall, J.; Engh, R.; Schneider, M.; Hof, P. & Huber, R. (1995). "Crystal Structure of the Xanthine Oxidase-Related Aldehyde Oxido-Reductase from D-Gigas". Science. 270 (5239): 1170–1176. Bibcode:1995Sci...270.1170R. doi:10.1126/science.270.5239.1170. PMID 7502041.
  3. ^ Schrauzer, G. N.; Mayweg, V. (1962). "Reaction of Diphenylacetylene with Ni Sulfides". J. Am. Chem. Soc. 84: 3221. doi:10.1021/ja00875a061.
  4. ^ Eisenberg, R. & Gray, H. B. (1967). "Trigonal-prismatic coordination. Crystal and Molecular Structure of Tris (cis-1,2-diphenylethylene-1,2-dithiolato)vanadium". Inorg. Chem. 6 (10): 1844–9. doi:10.1021/ic50056a018.
  5. ^ McEwan, Alistair G.; Ridge, Justin P.; McDevitt, Christopher A.; Hugenholtz, Phillip (2002), "The DMSO Reductase Family of Microbial Molybdenum Enzymes; Molecular Properties and Role in the Dissimilatory Reduction of Toxic Elements", Geomicrobiology Journal, 19 (1): 3–21, doi:10.1080/014904502317246138
  6. ^ K. Wang, E. I. Stiefel (2001). "Toward separation and purification of olefins using dithiolene complexes: an electrochemical approach". Science. 291 (5501): 106–109. Bibcode:2001Sci...291..106W. doi:10.1126/science.291.5501.106. PMID 11141557.
  7. ^ D. J. Harrison, N. Nguyen, A. J. Lough, U. Fekl (2006). "New Insight into Reactions of Ni(S2C2(CF3)2)2 with Simple Alkenes: Alkene Adduct versus Dihydrodithiin Selectivity is Controlled by [Ni(S2C2(CF3)2)2] Anion". Journal of the American Chemical Society. 128 (34): 11026–11027. doi:10.1021/ja063030w. PMID 16925411.
  8. ^ Dietzsch, W.; Strauch, P.; Hoyer, E. (1992). "Thio-oxalates: Their Ligand Properties and Coordination Chemistry". Coord. Chem. Rev. 121: 43–130. doi:10.1016/0010-8545(92)80065-Y.
  9. ^ R. H. Holm, A. Davison (1967). Metal Complexes Derived from cis-1,2-Dicyano-1,2-Ethylenedithiolate and Bis(trifluoromethyl)-1,2-Dithiete. Inorg. Synth. Inorganic Syntheses. 10. pp. 8–26. doi:10.1002/9780470132418.ch3. ISBN 9780470132418.
  10. ^ Warren K. Miller, R. C. Haltiwanger, M. C. VanDerveer, M. Rokowski DuBois (1983). "Syntheses and structures of new molybdenum complexes with dithiobenzoate and dimercaptotoluene ligands. Structural Comparisons in a Series of Dithiolate-Bridged Dimers of Molybdenum(III)". Inorganic Chemistry. 22 (21): 2973–2979. doi:10.1021/ic00163a001.
  11. ^ McCleverty, J. A. (1968). Metal 1,2-Dithiolene and Related Complexes. Progress Inorganic Chemistry. Progress in Inorganic Chemistry. 10. pp. 49–221. doi:10.1002/9780470166116.ch2. ISBN 9780470166116.
  12. ^ Arca,M.; Aragoni, M.C. (2007). "1,2-Dithiolene Ligands and Related Selenium and Tellurium Compounds". Handbook of Chalcogen Chemistry: 797–830. doi:10.1039/9781847557575-00797.
This article is copied from an article on Wikipedia® - the free encyclopedia created and edited by its online user community. The text was not checked or edited by anyone on our staff. Although the vast majority of Wikipedia® encyclopedia articles provide accurate and timely information, please do not assume the accuracy of any particular article. This article is distributed under the terms of GNU Free Documentation License.

Copyright © 2003-2025 Farlex, Inc Disclaimer
All content on this website, including dictionary, thesaurus, literature, geography, and other reference data is for informational purposes only. This information should not be considered complete, up to date, and is not intended to be used in place of a visit, consultation, or advice of a legal, medical, or any other professional.