Wikipedia

C2-Symmetric ligands

(redirected from Chiral ligand)

In homogeneous catalysis, a C2-symmetric ligands usually describes bidentate ligands that are dissymmetric but not asymmetric by virtue of their C2-symmetry. Such ligands have proven valuable in catalysis.[1] With C2 symmetry, C2-symmetric ligands limit the number of possible reaction pathways and thereby increase enantioselectivity, at least relative to asymmetrical analogues. Chiral ligands combine with metals to form chiral catalyst, which engages in a chemical reaction in which chirality is transfer to the reaction product. C2 symmetric ligands are a subset of chiral ligands.

Examples

An early C2-Symmetric ligand, diphosphine DiPAMP, was developed in 1968 by William S. Knowles and coworkers of Monsanto Company, who shared the 2001 Nobel Prize in Chemistry.[2] This ligand was used in the industrial production of L-DOPA.

Synthesis of L-DOPA via hydrogenation with C2-symmetric diphosphine.

Certain classes of C2-Symmetric ligands are called privileged ligands. The term refers to the observation that these ligands are applicable to multiple catalytic processes, not just a single reaction type.[3][4]

Mechanistic concepts

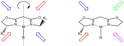
While the presence of any symmetry element within a ligand intended for asymmetric induction might appear counterintuitive, asymmetric induction only requires that the ligand be chiral (i.e. have no improper rotation axis). Asymmetric (i.e. absence of any symmetry elements) is not required. C2‑symmetry improves the enantioselectivity of the complex by reducing the number of transition states with a unique geometry. Steric/kinetic factors then usually favour the formation of a single product.[1][8]

The left hand structure has a C2‑rotational axis whereas the right hand structure is asymmetric. Arrows indicate the proposed trajectories for attack by substrates, identical colours lead to identical transition states (and hence products) with red arrows being disfavoured due to steric repulsion.

Chiral fence

The chiral fence

Chiral ligands work asymmetric induction somewhere along the reaction coordinate. The image depicted on the right gives a general idea how a chiral ligand may induce an enantioselective reaction. The ligand (in green) has C2 symmetry with its nitrogen, oxygen or phosphorus atoms hugging a central metal atom (in red). In this particular ligand the right side is sticking out and its left side points away. The substrate in this reduction is acetophenone and the reagent (in blue) a hydride ion. In absence of the metal and the ligand the re face approach of the hydride ion gives the (S)-enantiomer and the si face approach the (R)-enantiomer in equal amounts (a racemic mixture like expected). The ligand/metal presence changes all that. The carbonyl group will coordinate with the metal and due to the steric bulk of the phenyl group it will only be able to do so with its si face exposed to the hydride ion with in the ideal situation exclusive formation of the (R) enantiomer. The re face will simply hit the chiral fence.[9] Note that when the ligand is replaced by its mirror image the other enantiomer will form and that a racemic mixture of ligand will once again yield a racemic product. Also note that if the steric bulk of both carbonyl substituents is very similar the strategy will fail.

Other C2-symmetric complexes

Many C2-symmetric complexes are known. Some arise, not from C2-symmetric ligands, but from the orientation or disposition of high symmetry ligands within the coordination sphere of the metal. Notably, EDTA and triethylenetetraamine form complexes that are C2-symmetric by virtue of the way the ligands wrap around the metal centers. Two isomers are possible for (indenyl)2MX2, Cs- and C2-symmetric. The C2-symmetric complexes are optically stable.

Asymmetric ligands

Asymmetric ligands remain important ligands in catalysis. Examples include cinchona alkaloids and certain phosphoramidites. P-Chiral monophosphines have also been investigated.

See also

  • Chiral anion catalysis

Further reading

  • Desimoni, G.; Faita, G.; Jorgensen, K. A. (2006). "C2-Symmetric Chiral Bis(Oxazoline) Ligands in Asymmetric Catalysis". Chem. Rev. 106: 3561–3651. doi:10.1021/cr0505324.
  • Liu, X.; Lin, L.; Feng, X. (2011). "Chiral N,N'-Dioxides: New Ligands and Organocatalysts for Catalytic Asymmetric Reactions". Acc. Chem. Res. 44pages=574-587: 574–87. doi:10.1021/ar200015s. PMID 21702458.
  • Evans, D. A.; Kozlowski, M. C.; Murry, J. A.; Burgey, C. S.; Campos, K. R.; Connell, B. T.; Staples, R. J. (1999). "C2-Symmetric Copper(II) Complexes as Chiral Lewis Acids. Scope and Mechanism of Catalytic Enantioselective Aldol Additions of Enolsilanes to (Benzyloxy)Acetaldehyde". J. Am. Chem. Soc. 121, 669–685: 669–685. doi:10.1021/JA9829822.
  • Gao, J.-X.; Ikariya, T.; Noyori, R. (1996). "A Ruthenium(II) Complex with a C2-Symmetric Diphosphine/Diamine Tetradentate Ligand for Asymmetric Transfer Hydrogenation of Aromatic Ketones". Organometallics. 15: 1087–1089. doi:10.1021/OM950833B.
  • Pye, P. J.; Rossen, K.; Reamer, R. A.; Tsou, N. N.; Volante, R. P.; Reider, P. J. (1997). "New Planar Chiral Bisphosphine Ligand for Asymmetric Catalysis: Highly Enantioselective Hydrogenations under Mild Conditions". J. Am. Chem. Soc. 119: 6207–6208. doi:10.1021/JA970654G.

References

  1. ^ a b James K. Whitesell (1989). "C2 Symmetry and Symmetric Induction". Chem. Rev. 89: 1581–1590. doi:10.1021/cr00097a012.
  2. ^ Nobel prize 2001 www.nobelprize.org Link Archived 2007-07-13 at the Wayback Machine
  3. ^ Pfaltz, A. (2004). "Asymmetric Catalysis Special Feature Part II: Design of chiral ligands for asymmetric catalysis: From C2-symmetric P,P- and N,N-ligands to sterically and electronically nonsymmetrical P,N-ligands". Proceedings of the National Academy of Sciences. 101: 5723–5726. doi:10.1073/pnas.0307152101. PMC 395974. PMID 15069193.
  4. ^ Yoon, TP; Jacobsen, EN (March 2003). "Privileged chiral catalysts". Science. 299: 1691–3. doi:10.1126/science.1083622. PMID 12637734.
  5. ^ Dang, T. P.; Kagan, H. B. (1971). "The asymmetric synthesis of hydratropic acid and amino-acids by homogeneous catalytic hydrogenation". Journal of the Chemical Society D: Chemical Communications (10): 481. doi:10.1039/C29710000481.
  6. ^ Burk, M. J.; Feaster, J. E.; Nugent, W. A.; Harlow, R. L. (1993). "Preparation and Use of C2-Symmetric Bis(Phospholanes): Production of a-Amino Acid Derivatives Via Highly Enantioselective Hydrogenation Reactions". J. Am. Chem. Soc. 115: 10125–10138. doi:10.1021/ja00075a031.
  7. ^ Hayashi, T.; Ueyama, K.; Tokunaga, N.; Yoshida, K. (2003). "A Chiral Chelating Diene as a New Type of Chiral Ligand for Transition Metal Catalysts: Its Preparation and Use for the Rhodium-Catalyzed Asymmetric 1,4-Addition". J. Am. Chem. Soc. 125: 11508–11509. doi:10.1021/ja037367z.
  8. ^ Rasappan, Ramesh; Laventine, Dominic; Reiser, Oliver (2008). "Metal-bis(oxazoline) complexes: From coordination chemistry to asymmetric catalysis". Coordination Chemistry Reviews. 252 (5–7): 702–714. doi:10.1016/j.ccr.2007.11.007.
  9. ^ Hisao, Nishiyama (1989). "Chiral and C2-symmetrical bis(oxazolinylpyridine)rhodium(III) complexes: effective catalysts for asymmetric hydrosilylation of ketones". Organometallics. 8: 846–848. doi:10.1021/om00105a047.
  10. ^ Atwood, J. L.; Hunter, W. E.; Hrncir, D. C.; Samuel, E.; Alt, H.; Rausch, M. D. (1975). "Molecular Structures of the Bis(η5-Indenyl)Dimethyl Derivatives of Titanium, Zirconium, and Hafnium". Inorganic Chemistry. 14: 1757–1762. doi:10.1021/ic50150a003.
This article is copied from an article on Wikipedia® - the free encyclopedia created and edited by its online user community. The text was not checked or edited by anyone on our staff. Although the vast majority of Wikipedia® encyclopedia articles provide accurate and timely information, please do not assume the accuracy of any particular article. This article is distributed under the terms of GNU Free Documentation License.

Copyright © 2003-2025 Farlex, Inc Disclaimer
All content on this website, including dictionary, thesaurus, literature, geography, and other reference data is for informational purposes only. This information should not be considered complete, up to date, and is not intended to be used in place of a visit, consultation, or advice of a legal, medical, or any other professional.