Wikipedia

Oxaliplatin

Also found in: Medical, Acronyms.
Oxaliplatin
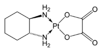
Oxaliplatin-2D-skeletal.png
Oxaliplatin-from-xtal-Mercury-3D-balls.png
Clinical data
Trade namesEloxatin
AHFS/Drugs.comMonograph
MedlinePlusa607035
Routes of
administration
Intravenous
ATC code
Legal status
Legal status
Pharmacokinetic data
BioavailabilityComplete
Elimination half-life~10 – 25 minutes[1]
ExcretionKidney
Identifiers
CAS Number
PubChem CID
DrugBank
ChemSpider
UNII
KEGG
ChEMBL
PDB ligand
CompTox Dashboard (EPA)
ECHA InfoCard100.150.118 Edit this at Wikidata
Chemical and physical data
FormulaC8H14N2O4Pt
Molar mass397.294 g·mol−1
3D model (JSmol)
(verify)

Oxaliplatin, sold under the brand name Eloxatin, is a cancer medication used to treat colorectal cancer.[2] Often it is used together with fluorouracil and folinic acid (leucovorin) in advanced cancer.[2] It is given by injection into a vein.[2]

Common side effects include numbness, feeling tired, nausea, diarrhea, and low blood cell counts.[2][3] Other serious side effects include allergic reactions.[3][2] Use in pregnancy is known to harm the baby.[2] Oxaliplatin is in the platinum-based antineoplastic family of medications.[4] It is believed to work by blocking the duplication of DNA.[2]

Oxaliplatin was patented in 1976 and approved for medical use in 1996.[5] It is on the World Health Organization's List of Essential Medicines.[6]

Medical uses

Oxaliplatin is used for treatment of colorectal cancer, typically along with folinic acid and 5-fluorouracil in a combination known as FOLFOX. Oxaliplatin has been compared with other platinum compounds used for advanced cancers, such as cisplatin and carboplatin.

Advanced colorectal cancer

Oxaliplatin by itself has modest activity against advanced colorectal cancer.[7] When compared with just 5-fluorouracil and folinic acid administered according to the de Gramont regimen, a FOLFOX4 regime produced no significant increase in overall survival, but did produce an improvement in progression-free survival, the primary end-point of the phase III randomized trial.[8]

Adjuvant treatment of colorectal cancer

After and/or before[9] the curative resection of colorectal cancer, chemotherapy based on 5-fluorouracil and folinic acid reduces the risk of relapse. The benefit is clinically relevant when cancer has spread to locoregional lymph nodes or penetrated through the wall of the rectum or colon (stage III, Dukes C). The addition of oxaliplatin improves relapse-free survival, but data on overall survival have not yet been published in extenso.

Adverse effects

Side-effects of oxaliplatin treatment can potentially include:

  • Neurotoxicity leading to chemotherapy-induced peripheral neuropathy, a progressive, enduring and often irreversible tingling numbness, intense pain and hypersensitivity to cold, beginning in the hands and feet and sometimes involving the arms and legs, often with deficits in proprioception.[10] This chronic neuropathy may also be preceded by a transient acute neuropathy occurring at the time of infusion and associated with excitation of voltage-gated Na+ channels.[11][12]
  • Fatigue
  • Nausea, vomiting, or diarrhea
  • Neutropenia (low number of a type of white blood cells)
  • Ototoxicity (hearing loss)
  • Extravasation if oxaliplatin leaks from the infusion vein it may cause severe damage to the connective tissues.
  • Hypokalemia (low blood potassium), which is more common in women than men[13]
  • Persistent hiccups[14]
  • Rhabdomyolysis[15]

In addition, some patients may experience an allergic reaction to platinum-containing drugs. This is more common in women.[13]

Oxaliplatin has less ototoxicity and nephrotoxicity than cisplatin and carboplatin.[10]

Structure and mechanism

The compound features a square planar platinum(II) center. In contrast to cisplatin and carboplatin, oxaliplatin features the bidentate ligand 1,2-diaminocyclohexane in place of the two monodentate ammine ligands. It also features a bidentate oxalate group.[4] The three-dimensional structure of the molecule has been elucidated by X-ray crystallography, although the presence of pseudosymmetry in the crystal structure has caused confusion in its interpretation.[16]

According to in vivo studies, oxaliplatin fights carcinoma of the colon through non-targeted cytotoxic effects. Like other platinum compounds, its cytotoxicity is thought to result from inhibition of DNA synthesis in cells. In particular, oxaliplatin forms both inter- and intra-strand cross links in DNA,[17] which prevent DNA replication and transcription, causing cell death.

History

Oxaliplatin was discovered in 1976 at Nagoya City University by Professor Yoshinori Kidani, who was granted U.S. Patent 4,169,846 in 1979. Oxaliplatin was subsequently in-licensed by Debiopharm and developed as an advanced colorectal cancer treatment. Debiopharm licensed the drug to Sanofi-Aventis in 1994. It gained European approval in 1996 (initially in France) and approval by the U.S. Food and Drug Administration in 2002. Generic oxaliplatin was first approved in the United States in August 2009.[18] Patent disputes caused generic production to stop in 2010, but it restarted in 2012.[19][20]

Patent information

Eloxatin is covered by patent numbers 5338874 (Expiry Apr 07,2013), 5420319 (Expiry Aug 08,2016), 5716988 (Expiry Aug 07,2015) and 5290961 (Expiry Jan 12, 2013) (see Electronic Orange Book patent info for Eloxatin).[21] Exclusivity code I-441, which expired on Nov 04, 2007, is for use combination with infusional 5-FU/LV for adjuvant treatment stage III colon cancer patients who have undergone complete resection primary tumor-based on improvement in disease free survival with no demonstrated benefit overall survival after 4 years. Exclusivity code NCE, New Chemical Entity, expired on Aug 09, 2007.[21]

References

  1. ^ Ehrsson H, Wallin I, Yachnin J (2002). "Pharmacokinetics of oxaliplatin in humans". Medical Oncology. 19 (4): 261–5. doi:10.1385/MO:19:4:261. PMID 12512920. S2CID 1068099.
  2. ^ a b c d e f g "Oxaliplatin". The American Society of Health-System Pharmacists. Archived from the original on 21 December 2016. Retrieved 8 December 2016.
  3. ^ a b Oun R, Moussa YE, Wheate NJ (May 2018). "The side effects of platinum-based chemotherapy drugs: a review for chemists". Dalton Transactions. 47 (19): 6645–6653. doi:10.1039/c8dt00838h. PMID 29632935.
  4. ^ a b Apps MG, Choi EH, Wheate NJ (August 2015). "The state-of-play and future of platinum drugs". Endocrine-Related Cancer. 22 (4): R219-33. doi:10.1530/ERC-15-0237. PMID 26113607.
  5. ^ Fischer J, Ganellin CR (2006). Analogue-based Drug Discovery. John Wiley & Sons. p. 513. ISBN 9783527607495. Archived from the original on 2016-12-20.
  6. ^ World Health Organization (2019). World Health Organization model list of essential medicines: 21st list 2019. Geneva: World Health Organization. hdl:10665/325771. WHO/MVP/EMP/IAU/2019.06. License: CC BY-NC-SA 3.0 IGO.
  7. ^ Bécouarn Y, Ychou M, Ducreux M, Borel C, Bertheault-Cvitkovic F, Seitz JF, et al. (August 1998). "Phase II trial of oxaliplatin as first-line chemotherapy in metastatic colorectal cancer patients. Digestive Group of French Federation of Cancer Centers". Journal of Clinical Oncology. 16 (8): 2739–44. doi:10.1200/JCO.1998.16.8.2739. PMID 9704726.
  8. ^ de Gramont A, Figer A, Seymour M, Homerin M, Hmissi A, Cassidy J, et al. (August 2000). "Leucovorin and fluorouracil with or without oxaliplatin as first-line treatment in advanced colorectal cancer". Journal of Clinical Oncology. 18 (16): 2938–47. doi:10.1200/JCO.2000.18.16.2938. PMID 10944126.
  9. ^ National Cancer Institute, Rectal Cancer Treatment (PDQ®) Archived 2014-08-08 at the Wayback Machine
  10. ^ a b Pasetto LM, D'Andrea MR, Rossi E, Monfardini S (August 2006). "Oxaliplatin-related neurotoxicity: how and why?". Critical Reviews in Oncology/Hematology. 59 (2): 159–68. doi:10.1016/j.critrevonc.2006.01.001. PMID 16806962.
  11. ^ Webster RG, Brain KL, Wilson RH, Grem JL, Vincent A (December 2005). "Oxaliplatin induces hyperexcitability at motor and autonomic neuromuscular junctions through effects on voltage-gated sodium channels". British Journal of Pharmacology. 146 (7): 1027–39. doi:10.1038/sj.bjp.0706407. PMC 1751225. PMID 16231011.
  12. ^ Gebremedhn EG, Shortland PJ, Mahns DA (April 2018). "The incidence of acute oxaliplatin-induced neuropathy and its impact on treatment in the first cycle: a systematic review". BMC Cancer. 18 (1): 410. doi:10.1186/s12885-018-4185-0. PMC 5897924. PMID 29649985.
  13. ^ a b Chay WY, Chew L, Yeoh TT, Tan MH (May 2010). "An association between transient hypokalemia and severe acute oxaliplatin-related toxicity predominantly in women". Acta Oncologica. 49 (4): 515–7. doi:10.3109/02841860903464015. PMID 20092386. S2CID 33026126.
  14. ^ "Oxaliplatin Side Effects". Archived from the original on 2014-09-05. Retrieved 2014-09-05.
  15. ^ "Eloxatin information" (in German). Archived from the original on 2016-08-27. Retrieved 2016-06-15.
  16. ^ Johnstone TC (January 2014). "The Crystal Structure of Oxaliplatin: A Case of Overlooked Pseudo Symmetry". Polyhedron. 67: 429–435. doi:10.1016/j.poly.2013.10.003. PMC 3885251. PMID 24415827.
  17. ^ Graham J, Mushin M, Kirkpatrick P (January 2004). "Oxaliplatin". Nature Reviews. Drug Discovery. 3 (1): 11–2. doi:10.1038/nrd1287. PMID 14756144.
  18. ^ "Generic Eloxatin availability". Drugs.com. Archived from the original on 7 June 2013. Retrieved 19 April 2014.
  19. ^ "Hospira Announces U.S. Re-Launch Of Generic Oxaliplatin Injection". Archived from the original on 2015-09-24. Retrieved 2015-08-25.
  20. ^ "Top 10 best-selling cancer drugs: Eloxatin–$1.2 billion". FiercePharma. 15 May 2012. Archived from the original on 21 April 2014. Retrieved 20 April 2014.
  21. ^ a b Orange Book. accessdata.fda.gov. URL: http://www.accessdata.fda.gov/scripts/cder/ob/docs/patexclnew.cfm?Appl_No=021759&Product_No=001&table1=OB_Rx Archived 2007-09-26 at the Wayback Machine. Accessed on: July 22, 2007.

External links


This article is copied from an article on Wikipedia® - the free encyclopedia created and edited by its online user community. The text was not checked or edited by anyone on our staff. Although the vast majority of Wikipedia® encyclopedia articles provide accurate and timely information, please do not assume the accuracy of any particular article. This article is distributed under the terms of GNU Free Documentation License.

Copyright © 2003-2025 Farlex, Inc Disclaimer
All content on this website, including dictionary, thesaurus, literature, geography, and other reference data is for informational purposes only. This information should not be considered complete, up to date, and is not intended to be used in place of a visit, consultation, or advice of a legal, medical, or any other professional.