Wikipedia

Nitro compound

Also found in: Dictionary, Encyclopedia.
(redirected from nitroparaffin)
The structure of the nitro group

Nitro compounds are organic compounds that contain one or more nitro functional groups (−NO2). The nitro group is one of the most common explosophores (functional group that makes a compound explosive) used globally. The nitro group is also strongly electron-withdrawing. Because of this property, C−H bonds alpha (adjacent) to the nitro group can be acidic. For similar reasons, the presence of nitro groups in aromatic compounds retards electrophilic aromatic substitution but facilitates nucleophilic aromatic substitution. Nitro groups are rarely found in nature, being almost invariably produced by nitration reactions starting with nitric acid.

Synthesis

Preparation of aromatic nitro compounds

Aromatic nitro compounds are typically synthesized by nitration. Nitration is achieved using a mixture of nitric acid and sulfuric acid, which produce the nitronium ion (NO+
2
), which the electrophile:

Benzene + Nitronium ion
H+
Rightward reaction arrow with minor product(s) to top right
Nitrobenzene

The nitration product produced on the largest scale, by far, is nitrobenzene. Many explosives are produced by nitration including trinitrophenol (picric acid), trinitrotoluene (TNT), and trinitroresorcinol (styphnic acid).[1] Another but more specialized method for making aryl–NO2 group starts from halogenated phenols, is the Zinke nitration.

Preparation of aliphatic nitro compounds

Aliphatic nitro compounds can be synthesized by various methods; notable examples include:

Structural details of nitrobenzene, distances in picometers.[5]

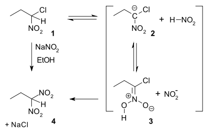
Ter Meer Reaction

In nucleophilic aliphatic substitution, sodium nitrite (NaNO2) replaces an alkyl halide. In the so-called Ter Meer reaction (1876) named after Edmund ter Meer,[13] the reactant is a 1,1-halonitroalkane:

The ter Meer reaction

The reaction mechanism is proposed in which in the first slow step a proton is abstracted from nitroalkane 1 to a carbanion 2 followed by protonation to an aci-nitro 3 and finally nucleophilic displacement of chlorine based on an experimentally observed hydrogen kinetic isotope effect of 3.3.[14] When the same reactant is reacted with potassium hydroxide the reaction product is the 1,2-dinitro dimer.[15]

Occurrence

In nature

Chloramphenicol is a rare example of a naturally occurring nitro compound. At least some naturally occurring nitro groups arose by the oxidation of amino groups.[16] 2-Nitrophenol is an aggregation pheromone of ticks.

Examples of nitro compounds are rare in nature. 3-Nitropropionic acid found in fungi and plants (Indigofera). Nitropentadecene is a defense compound found in termites. Nitrophenylethane is found in Aniba canelilla.[17] Nitrophenylethane is also found in members of the Annonaceae, Lauraceae and Papaveraceae.[18]

In pharmaceuticals

Despite the occasional use in pharmaceuticals, the nitro group is associated with mutagenicity and genotoxicity and therefore is often regarded as a liability in the drug discovery process.[19]

Reactions of aliphatic nitro compounds

Reduction

Nitro compounds participate in several organic reactions, the most important being their reduction to the corresponding amines:

RNO2 + 3 H2 → RNH2 + 2 H2O

Acid-base reactions

The α-carbon of nitroalkanes is somewhat acidic. The pKa values of nitromethane and 2-nitropropane are respectively 17.2 and 16.9 in dimethyl sulfoxide (DMSO) solution. These values suggest an aqueous pKa of around 11.[20] In other words, these carbon acids can be deprotonated in aqueous solution. The conjugate base is called a nitronate, they are formed as intermediates in the nitroaldol reaction and Nef reactions.

Condensation reactions

Nitromethane undergoes base-catalyzed additions to aldehydes in 1,2-addition in the nitroaldol reaction. Similarly, it adds to alpha-beta unsaturated carbonyl compounds as a 1,4-addition in the Michael reaction as a Michael donor. Nitroalkenes are Michael acceptors in the Michael reaction with enolate compounds.[21][22]

Biochemical reactions

Many flavin-dependent enzymes are capable of oxidizing aliphatic nitro compounds to less-toxic aldehydes and ketones. Nitroalkane oxidase and 3-nitropropionate oxidase oxidize aliphatic nitro compounds exclusively, whereas other enzymes such as glucose oxidase have other physiological substrates.[23]

Reactions of aromatic nitro compounds

Reduction of aromatic nitro compounds with hydrogen over metal catalysts gives anilines. Virtually all aromatic amines (anilines) are derived from nitroaromatics. A variation is formation of a dimethylaminoarene with palladium on carbon and formaldehyde:[24]

Nitro compound hydrogenation

The Leimgruber–Batcho, Bartoli and Baeyer–Emmerling indole syntheses begin with aromatic nitro compounds. Indigo can be synthesized in a condensation reaction from ortho-nitrobenzaldehyde and acetone in strongly basic conditions in a reaction known as the Baeyer–Drewson indigo synthesis.

Explosions

Explosive decomposition of organo nitro compounds are redox reactions, wherein both the oxidant (nitro group) and the fuel (hydrocarbon substituent) are bound within the same molecule. The explosion process generates heat by forming highly stable products including molecular nitrogen (N2), carbon dioxide, and water. The explosive power of this redox reaction is enhanced because these stable products are gases at mild temperatures. Many contact explosives contain the nitro group.

See also

References

  1. ^ Gerald, Booth. "Nitro Compounds, Aromatic". Ullmann's Encyclopedia of Industrial Chemistry. Weinheim: Wiley-VCH. doi:10.1002/14356007.a17_411.
  2. ^ Markofsky, Sheldon; Grace, W.G. (2000). Nitro Compounds, Aliphatic. Ullmann's Encyclopedia of Industrial Chemistry. doi:10.1002/14356007.a17_401. ISBN 978-3527306732.
  3. ^ Kornblum, N.; Ungnade, H. E. (1963). "1-Nitroöctane". Organic Syntheses. 4: 724. doi:10.15227/orgsyn.038.0075.
  4. ^ Walden, P. (1907). "Zur Darstellung aliphatischer Sulfocyanide, Cyanide und Nitrokörper". Berichte der Deutschen Chemischen Gesellschaft. 40 (3): 3214–3217. doi:10.1002/cber.19070400383.
  5. ^ Olga V. Dorofeeva, Yuriy V. Vishnevskiy, Natalja Vogt, Jürgen Vogt, Lyudmila V. Khristenko, Sergey V. Krasnoshchekov, Igor F. Shishkov, István Hargittai, Lev V. Vilkov (2007). "Molecular Structure and Conformation of Nitrobenzene Reinvestigated by Combined Analysis of Gas-Phase Electron Diffraction, Rotational Constants, and Theoretical Calculations". Structural Chemistry. 18 (6): 739–753. doi:10.1007/s11224-007-9186-6. S2CID 98746905.
  6. ^ Whitmore, F. C.; Whitmore, Marion G. (1923). "Nitromethane". Organic Syntheses. 1: 401. doi:10.15227/orgsyn.003.0083.
  7. ^ Olah, George A.; Ramaiah, Pichika; Chang-Soo, Lee; Prakash, Surya (1992). "Convenient Oxidation of Oximes to Nitro Compounds with Sodium Perborate in Glacial Acetic Acid". Synlett. 1992 (4): 337–339. doi:10.1055/s-1992-22006.
  8. ^ Ehud, Keinan; Yehuda, Mazur (1977). "Dry ozonation of amines. Conversion of primary amines to nitro compounds". The Journal of Organic Chemistry. 42 (5): 844–847. doi:10.1021/jo00425a017.
  9. ^ Chandrasekhar, S.; Shrinidhi, A. (2014). "Useful Extensions of the Henry Reaction: Expeditious Routes to Nitroalkanes and Nitroalkenes in Aqueous Media". Synthetic Communications. 44 (20): 3008–3018. doi:10.1080/00397911.2014.926373. S2CID 98439096.
  10. ^ Shrinidhi, A. (2015). "Microwave-assisted chemoselective reduction of conjugated nitroalkenes to nitroalkanes with aqueous tri-n-butyltin hydride". Cogent Chemistry. 1 (1): 1061412. doi:10.1080/23312009.2015.1061412.
  11. ^ Wislicenus, Wilhelm; Endres, Anton (1902). "Ueber Nitrirung mittels Aethylnitrat [Nitrification by means of ethyl nitrate]". Berichte der Deutschen Chemischen Gesellschaft. 35 (2): 1755–1762. doi:10.1002/cber.190203502106.
  12. ^ Weygand, Conrad (1972). Hilgetag, G.; Martini, A. (eds.). Weygand/Hilgetag Preparative Organic Chemistry (4th ed.). New York: John Wiley & Sons, Inc. p. 1007. ISBN 978-0471937494.
  13. ^ Edmund ter Meer (1876). "Ueber Dinitroverbindungen der Fettreihe". Justus Liebigs Annalen der Chemie. 181 (1): 1–22. doi:10.1002/jlac.18761810102.
  14. ^ Hawthorne, M. Frederick (1956). "Aci-Nitroalkanes. I. The Mechanism of the ter Meer Reaction1". Journal of the American Chemical Society. 78 (19): 4980–4984. doi:10.1021/ja01600a048.
  15. ^ 3-Hexene, 3,4-dinitro- D. E. Bisgrove, J. F. Brown, Jr., and L. B. Clapp. Organic Syntheses, Coll. Vol. 4, p.372 (1963); Vol. 37, p.23 (1957). (Article)
  16. ^ Zocher, Georg; Winkler, Robert; Hertweck, Christian; Schulz, Georg E (2007). "Structure and Action of the N-oxygenase AurF from Streptomyces thioluteus". Journal of Molecular Biology. 373 (1): 65–74. doi:10.1016/j.jmb.2007.06.014. PMID 17765264.
  17. ^ José Guilherme S. Maia, Eloísa Helena A. Andrade "Database of the Amazon aromatic plants and their essential oils" Quim. Nova, (2009) 32(3), 595–622, 2009 [1]
  18. ^ Klaus Kubitzki, Jens G. Rohwer, Volker Bittrich "Flowering Plants · Dicotyledons: Magnoliid, Hamamelid and Caryophyllid Families" 1993, Springer-Verlag, Berlin
  19. ^ Nepali K, Lee HY, Liou JP (March 2019). "Nitro-Group-Containing Drugs". J. Med. Chem. 62 (6): 2851–2893. doi:10.1021/acs.jmedchem.8b00147. PMID 30295477.
  20. ^ Bordwell, Frederick G; Satish, A. V (1994). "Is Resonance Important in Determining the Acidities of Weak Acids or the Homolytic Bond Dissociation Enthalpies (BDEs) of Their Acidic H-A Bonds?". Journal of the American Chemical Society. 116 (20): 8885. doi:10.1021/ja00099a004.
  21. ^ Ranganathan, Darshan; Rao, Bhushan; Ranganathan, Subramania; Mehrotra, Ashok & Iyengar, Radha (1980). "Nitroethylene: a stable, clean, and reactive agent for organic synthesis". The Journal of Organic Chemistry. 45 (7): 1185–1189. doi:10.1021/jo01295a003.
  22. ^ Jubert, Carole & Knochel, Paul (1992). "Preparation of polyfunctional nitro olefins and nitroalkanes using the copper-zinc reagents RCu(CN)ZnI". The Journal of Organic Chemistry. 57 (20): 5431–5438. doi:10.1021/jo00046a027.
  23. ^ Nagpal, Akanksha; Valley, Michael P.; Fitzpatrick, Paul F.; Orville, Allen M. (2006). "Crystal Structures of Nitroalkane Oxidase: Insights into the Reaction Mechanism from a Covalent Complex of the Flavoenzyme Trapped during Turnover". Biochemistry. 45 (4): 1138–50. doi:10.1021/bi051966w. PMC 1855086. PMID 16430210.
  24. ^ Organic Syntheses, Coll. Vol. 5, p.552 (1973); Vol. 47, p.69 (1967). http://orgsynth.org/orgsyn/pdfs/CV5P0552.pdf
This article is copied from an article on Wikipedia® - the free encyclopedia created and edited by its online user community. The text was not checked or edited by anyone on our staff. Although the vast majority of Wikipedia® encyclopedia articles provide accurate and timely information, please do not assume the accuracy of any particular article. This article is distributed under the terms of GNU Free Documentation License.

Copyright © 2003-2025 Farlex, Inc Disclaimer
All content on this website, including dictionary, thesaurus, literature, geography, and other reference data is for informational purposes only. This information should not be considered complete, up to date, and is not intended to be used in place of a visit, consultation, or advice of a legal, medical, or any other professional.