Wikipedia

Michael reaction

The Michael reaction or Michael addition is the nucleophilic addition of a carbanion or another nucleophile[1][2] to an α,β-unsaturated carbonyl compound containing an electron withdrawing group. It belongs to the larger class of conjugate additions. This is one of the most useful methods for the mild formation of C–C bonds.[3] Many asymmetric variants exist.[4][5]

Michael reaction: general mechanism

In this scheme, R and R' on the nucleophile (the Michael donor) represent electron-withdrawing substituents such as acyl and cyano groups, which make the adjacent methylene hydrogen acidic enough to form a carbanion when reacted with the base, B:. The R" substituent on the activated alkene, also called a Michael acceptor, is usually a ketone, which makes the compound an enone, but it can also be a nitro group or a sulfonyl fluoride.

Definition

As originally defined by Arthur Michael,[6][7] the reaction is the addition of an enolate of a ketone or aldehyde to an α,β-unsaturated carbonyl compound at the β carbon. A newer definition, proposed by Kohler,[8] is the 1,4-addition of a doubly stabilized carbon nucleophile to an α,β-unsaturated carbonyl compound. Some examples of nucleophiles include beta-ketoesters, malonates, and beta-cyanoesters. The resulting product contains a highly useful 1,5-dioxygenated pattern.

Classical examples of the Michael reaction are the reaction between diethyl malonate (Michael donor) and diethyl fumarate (Michael acceptor),[9] that of mesityl oxide and diethyl malonate,[10] that of diethyl malonate and methyl crotonate,[11] that of 2-nitropropane and methyl acrylate,[12] that of ethyl phenylcyanoacetate and acrylonitrile[13] and that of nitropropane and methyl vinyl ketone.[14]

The Michael addition is an important atom-economical method for diastereoselective and enantioselective C–C bond formation. A classical tandem sequence of Michael and aldol additions is the Robinson annulation.

Some authors have broadened the definition of the Michael addition to essentially refer to any 1,4-addition reaction of α,β-unsaturated carbonyl compounds. Others, however, insist that such a usage is an abuse of terminology, and limit the Michael addition to the formation of carbon–carbon bonds through the addition of carbon nucleophiles. The terms oxa-Michael reaction and aza-Michael reaction have been used to refer to the 1,4-addition of oxygen and nitrogen nucleophiles, respectively.

Mechanism

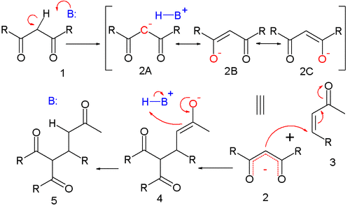
In the reaction mechanism, there is 1 (with R an alkoxy group) as the nucleophile:[3]

Michael reaction mechanism

Deprotonation of 1 by base leads to carbanion 2 stabilized by its electron-withdrawing groups. Structures 2a to 2c are three resonance structures that can be drawn for this species, two of which have enolate ions. This nucleophile reacts with the electrophilic alkene 3 to form 4 in a conjugate addition reaction. Proton abstraction from protonated base (or solvent) by the enolate 4 to 5 is the final step.

The course of the reaction is dominated by orbital, rather than electrostatic, considerations. The HOMO of stabilized enolates has a large coefficient on the central carbon atom while the LUMO of many alpha, beta unsaturated carbonyl compounds has a large coefficient on the beta carbon. Thus, both reactants can be considered soft. These polarized frontier orbitals are of similar energy, and react efficiently to form a new carbon–carbon bond.

Like the aldol addition, the Michael reaction may proceed via an enol, silyl enol ether in the Mukaiyama–Michael addition, or more usually, enolate nucleophile. In the latter case, the stabilized carbonyl compound is deprotonated with a strong base (hard enolization) or with a Lewis acid and a weak base (soft enolization). The resulting enolate attacks the activated olefin with 1,4-regioselectivity, forming a carbon–carbon bond. This also transfers the enolate to the electrophile. Since the electrophile is much less acidic than the nucleophile, rapid proton transfer usually transfers the enolate back to the nucleophile if the product is enolizable; however, one may take advantage of the new locus of nucleophilicity if a suitable electrophile is pendant. Depending on the relative acidities of the nucleophile and product, the reaction may be catalytic in base. In most cases, the reaction is irreversible at low temperature.

Asymmetric Michael reaction

In recent years researchers have endeavoured to expand the scope of asymmetric Michael additions. The most common methods involve chiral phase transfer catalysis, such as asymmetric quaternary ammonium salts derived from the Cinchona alkaloids; or organocatalysis, which uses enamine or iminium activation with chiral secondary amines, usually derived from proline.[15]

In the reaction between cyclohexanone and β-nitrostyrene sketched below, the base proline is derivatized and works in conjunction with a protic acid such as p-toluenesulfonic acid:[16]

Michael reaction asymmetric

Syn addition is favored with 99% ee. In the transition state believed to be responsible for this selectivity, the enamine (formed between the proline nitrogen and the cycloketone) and β-nitrostyrene are co-facial with the nitro group hydrogen bonded to the protonated amine in the proline side group.

Asymmetric Michael transition state

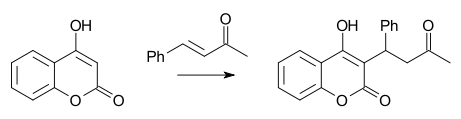
A well-known Michael reaction is the synthesis of warfarin from 4-hydroxycoumarin and benzylideneacetone first reported by Link in 1944:[17]

Warfarin synthesis

Several asymmetric versions of this reaction exist using chiral catalysts.[18][19][20][21][22][23]

Mukaiyama–Michael addition

In the Mukaiyama–Michael addition the nucleophile is a silyl enol ether and the catalyst usually titanium tetrachloride:[24][25]

Mukaiyama–Michael addition

History

The research done by Arthur Michael in 1887 at Tufts University was prompted by an 1884 publication by Conrad & Kuthzeit on the reaction of ethyl 2,3-dibromopropionate with diethyl sodiomalonate forming a cyclopropane derivative[26] (now recognized as involving two successive substitution reactions).

Michael reaction Conrad Guthzeit comparison.svg

Michael was able to obtain the same product by replacing the propionate by 2-bromacrylic acid ethylester and realized that this reaction could only work by assuming an addition reaction to the double bond of the acrylic acid. He then confirmed this assumption by reacting diethyl malonate and the ethyl ester of cinnamic acid forming the very first Michael adduct:[27]

The original 1887 Michael reaction

In the same year Rainer Ludwig Claisen claimed priority for the invention.[28] He and T. Komnenos had observed addition products to double bonds as side-products earlier in 1883 while investigating condensation reactions of malonic acid with aldehydes.[29] However, according to biographer Takashi Tokoroyama, this claim is without merit.[27]

References

  1. ^ Little, R. D.; Masjedizadeh, M. R.; Wallquist, O.; McLoughlin, J. I. (1995). "The Intramolecular Michael Reaction". Org. React. 47. pp. 315–552. doi:10.1002/0471264180.or047.02. ISBN 978-0-471-26418-7.
  2. ^ Mather, B.; Viswanathan, K.; Miller, K.; Long, T. (2006). "Michael addition reactions in macromolecular design for emerging technologies". Progress in Polymer Science. 31 (5): 487–531. doi:10.1016/j.progpolymsci.2006.03.001.
  3. ^ a b Michael Addition | PharmaXChange.info
  4. ^ Hunt, I. "Chapter 18: Enols and Enolates – The Michael Addition reaction". University of Calgary.
  5. ^ Clayden, Jonathan; Greeves, Nick; Warren, Stuart; Wothers, Peter (2001). Organic Chemistry (1st ed.). Oxford University Press. ISBN 978-0-19-850346-0.
  6. ^ Michael, A. (1887). "Ueber die Addition von Natriumacetessig- und Natriummalonsäureäthern zu den Aethern ungesättigter Säuren" [On the addition of sodium acetoacetate- and sodium malonic acid esters to the esters of unsaturated acids]. Journal für Praktische Chemie. 2nd series. 35: 349–356. doi:10.1002/prac.18870350136.
  7. ^ Michael, A. (1894). "Ueber die Addition von Natriumacetessig- und Natriummalonsäureäther zu den Aethern ungesättigter Säuren" [On the addition of sodium acetoacetate- and sodium malonic acid esters to the esters of unsaturated acids]. Journal für Praktische Chemie. 2nd series. 49: 20–25. doi:10.1002/prac.18940490103.
  8. ^ Kohler. J. Am. Chem. Soc., 1907, 37, 385; ibid., 1935, 57, 1316.
  9. ^ Clarke, H. T.; Murray, T. F. (1941). "1,1,2,3-Propanetetracarboxylic acid, tetraethyl ester". Organic Syntheses.; Collective Volume, 1, p. 272
  10. ^ Shriner, R. L.; Todd, H. R. (1943). "1,3-Cyclohexanedione, 5,5-dimethyl-". Organic Syntheses.; Collective Volume, 2, p. 200
  11. ^ James Cason (1963). "β-Methylglutaric anhydride". Organic Syntheses.; Collective Volume, 4, p. 630
  12. ^ Moffett, R. B. (1963). "Methyl γ-Methyl-γ-nitrovalerate". Organic Syntheses.; Collective Volume, 4, p. 652
  13. ^ Horning, E. C.; Finelli, A. F. (1963). "α-Phenyl-α-carbethoxyglutaronitrile". Organic Syntheses.; Collective Volume, 4, p. 776
  14. ^ McMurry, J. E.; Melton, J. (1988). "Conversion of Nitro to Carbonyl by Ozonolysis of Nitronates: 2,5-Heptanedione". Organic Syntheses.; Collective Volume, 6, p. 648
  15. ^ Reyes, E.; Uria, U.; Vicario, J. L.; Carrillo, L. (2016). The Catalytic, Enantioselective Michael Reaction. Organic Reactions. 90. pp. 1–898. doi:10.1002/0471264180.or090.01. ISBN 9780471264187.
  16. ^ Pansare, S. V.; Pandya, K. (2006). "Simple Diamine- and Triamine-Protonic Acid Catalysts for the Enantioselective Michael Addition of Cyclic Ketones to Nitroalkenes". Journal of the American Chemical Society. 128 (30): 9624–9625. doi:10.1021/ja062701n. PMID 16866504.
  17. ^ Ikawa, M.; Stahmann, M. A.; Link, K. P. (1944). "Studies on 4-Hydroxycoumarins. V. The Condensation of α,β-Unsaturated Ketones with 4-Hydroxycoumarin". Journal of the American Chemical Society. 66 (6): 902. doi:10.1021/ja01234a019.
  18. ^ Halland, N.; Hansen, T.; Jørgensen, K. (2003). "Organocatalytic asymmetric Michael reaction of cyclic 1,3-dicarbonyl compounds and α,β-unsaturated ketones--a highly atom-economic catalytic one-step formation of optically active warfarin anticoagulant". Angewandte Chemie. 42 (40): 4955–4957. doi:10.1002/anie.200352136. PMID 14579449.
  19. ^ Kim, H.; Yen, C.; Preston, P.; Chin, J. (2006). "Substrate-directed stereoselectivity in vicinal diamine-catalyzed synthesis of warfarin". Organic Letters. 8 (23): 5239–5242. doi:10.1021/ol062000v. PMID 17078687.
  20. ^ Xie, J.; Yue, L.; Chen, W.; Du, W.; Zhu, J.; Deng, J.; Chen, Y. (2007). "Highly Enantioselective Michael Addition of Cyclic 1,3-Dicarbonyl Compounds to α,β-Unsaturated Ketones". Organic Letters. 9 (3): 413–415. doi:10.1021/ol062718a. PMID 17249775.
  21. ^ Kristensen, T. E.; Vestli, K.; Hansen, F. K.; Hansen, T. (2009). "New Phenylglycine-Derived Primary Amine Organocatalysts for the Preparation of Optically Active Warfarin". European Journal of Organic Chemistry. 2009 (30): 5185. doi:10.1002/ejoc.200900664.
  22. ^ Dong, Z.; Wang, L.; Chen, X.; Liu, X.; Lin, L.; Feng, X. (2009). "Organocatalytic Enantioselective Michael Addition of 4-Hydroxycoumarin to α,β-Unsaturated Ketones: A Simple Synthesis of Warfarin". European Journal of Organic Chemistry. 2009 (30): 5192. doi:10.1002/ejoc.200900831.
  23. ^ Wong, T. C.; Sultana, C. M.; Vosburg, D. A. (2010). "A Green, Enantioselective Synthesis of Warfarin for the Undergraduate Organic Laboratory". Journal of Chemical Education. 87 (2): 194. Bibcode:2010JChEd..87..194W. doi:10.1021/ed800040m.
  24. ^ Mukaiyama, T. (1977). "Titanium Tetrachloride in Organic Synthesis [New synthetic methods (21)]". Angew. Chem. Int. Ed. Engl. 16 (12): 817–826. doi:10.1002/anie.197708171.
  25. ^ Lippert, A. R.; Kaeobamrung, J.; Bode, J. W. (2006). "Synthesis of Oligosubstituted Bullvalones: Shapeshifting Molecules Under Basic Conditions". Journal of the American Chemical Society. 128 (46): 14738–14739. doi:10.1021/ja063900+. PMID 17105247.
  26. ^ Conrad, M.; Guthzeit, M. (1884). "Ueber die Einwirkung von α-β-Dibrompropionsäure auf Malonsäureester" [On the reaction of 2,3-dibrompropionic acid with [diethyl] malonic acid ester]. Berichte der Deutschen Chemischen Gesellschaft. 17 (1): 1185–1188. doi:10.1002/cber.188401701314.
  27. ^ a b Tokoroyama, T. (2010). "Discovery of the Michael Reaction". European Journal of Organic Chemistry. 2010 (10): 2009–2016. doi:10.1002/ejoc.200901130.
  28. ^ Claisen, L. (1887). "Bemerkung über die Addition von Aethylmalonat an Körper mit doppelter Kohlenstoffbindung" [Observation on the addition of [di]ethyl malonate to substances with a double carbon bond]. Journal für Praktische Chemie. 2nd series. 35 (1): 413–415. doi:10.1002/prac.18870350144.
  29. ^ Komnenos, T. (1883). "Ueber die Einwirkung von Fettaldehyden auf Malonsäure und Aethylmalonat" [On the reaction of aliphatic aldehydes with malonic acid and [di]ethylmalonate]. Justus Liebig's Annalen der Chemie. 218 (2): 145–167. doi:10.1002/jlac.18832180204.
This article is copied from an article on Wikipedia® - the free encyclopedia created and edited by its online user community. The text was not checked or edited by anyone on our staff. Although the vast majority of Wikipedia® encyclopedia articles provide accurate and timely information, please do not assume the accuracy of any particular article. This article is distributed under the terms of GNU Free Documentation License.

Copyright © 2003-2025 Farlex, Inc Disclaimer
All content on this website, including dictionary, thesaurus, literature, geography, and other reference data is for informational purposes only. This information should not be considered complete, up to date, and is not intended to be used in place of a visit, consultation, or advice of a legal, medical, or any other professional.