Wikipedia

Benzylideneacetone

Also found in: Encyclopedia.
Benzylideneacetone
Benzylideneacetone-2D-skeletal.png
Benzylideneacetone-3D-balls.png
Names
IUPAC name
(E)-4-Phenylbut-3-ene-2-one
Other names
Benzalacetone
Benzylideneacetone
Methyl styryl ketone
Benzylidene acetone
Identifiers
3D model (JSmol)
ChEBI
ChEMBL
ChemSpider
ECHA InfoCard 100.015.989 Edit this at Wikidata
EC Number
  • 204-555-1 (trans)
RTECS number
  • EN0330000
UNII
CompTox Dashboard (EPA)
Properties
C10H10O
Molar mass 146.19 g/mol
Appearance pale yellow solid
Density 1.008 g/cm3
Melting point 39 to 42 °C (102 to 108 °F; 312 to 315 K)
Boiling point 260 to 262 °C (500 to 504 °F; 533 to 535 K)
1.3 g/L
Solubility in other solvents nonpolar solvents
Hazards
Main hazards irritant
GHS pictograms GHS07: Harmful
GHS Signal word Warning
GHS hazard statements
H315, H317, H319, H335
GHS precautionary statements
P261, P264, P271, P272, P280, P302+352, P304+340, P305+351+338, P312, P321, P332+313, P333+313, P337+313, P362, P363, P403+233, P405, P501
Flash point 116 °C (241 °F; 389 K)
Related compounds
Related compounds
Dibenzylideneacetone
cinnamaldehyde
Except where otherwise noted, data are given for materials in their standard state (at 25 °C [77 °F], 100 kPa).

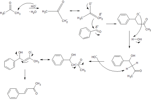
Benzylideneacetone is the organic compound described by the formula C6H5CH=CHC(O)CH3. Although both cis- and trans-isomers are possible for the α,β-unsaturated ketone, only the trans isomer is observed. Its original preparation demonstrated the scope of condensation reactions to construct new, complex organic compounds.[1] Benzylideneacetone is used as a flavouring ingredient in food and perfumes.[2]

Preparation

Benzylideneacetone can be efficiently prepared by the NaOH-induced condensation of the readily available reagents acetone and benzaldehyde:[3]

CH3C(O)CH3 + C6H5CHO → C6H5CH=CHC(O)CH3 + H2O
Reaction schematics

However, the benzylideneacetone formed via this reaction can undergo another Claisen-Schmidt condensation with another molecule of benzaldehyde to form dibenzylideneacetone. Because relatively weak bases such as NaOH make very little of the enolate ion at equilibrium, there is still a lot of unreacted base left in the reaction mixture, which can go on and remove protons from the alpha carbon of benzylideneacetone, allowing it to undergo another Claisen-Schmidt condensation and make dibenzylideneacetone.[4]

If, on the other hand, lithium diisopropylamide (LDA) is used as the base, all of the acetone will deprotonated, making enolate ion quantitatively. Therefore, the most efficient way to make benzylideneacetone is to use equimolar amounts of LDA (in THF), acetone, and benzaldehyde. The reaction must be done with anhydrous chemicals as LDA breaks down in water.[5]

BenzalacetonePreparationUsingLDA.png

Reactions

As with most methyl ketones, benzylideneacetone is moderately acidic at the alpha position, and it can be readily deprotonated to form the corresponding enolate[6]

LiHMDS EnolateFormation.png

The compound undergoes the reactions expected for its collection of functional groups: e.g., the double bond adds bromine, the heterodiene adds electron-rich alkenes in Diels-Alder reactions to give dihydropyrans, the methyl group undergoes further condensation with benzaldehyde to give dibenzylideneacetone, and the carbonyl forms hydrazones. It reacts with Fe2(CO)9 to give (benzylideneacetone)Fe(CO)3, a reagent for transferring the Fe(CO)3 unit to other organic substrates.[7]

  • Hydrogenation of benzylideneacetone results in a preparation of benzylacetone.
  • The reaction of 4-Hydroxycoumarin with this compound yields Warfarin.

References

  1. ^ Claisen, L. "Über die Einwirkung von Aceton auf Furfural und auf Benzaldehyd bei Gegenwart von Alkalilauge" Berichte der deutschen chemischen Gesellschaft 1881, volume 14, p 2468-2471.
  2. ^ Opdyke, D. L. J. (2013). Monographs on Fragrance Raw Materials: A Collection of Monographs Originally Appearing in Food and Cosmetics Toxicology. Elsevier. p. 135. ISBN 9781483147970.
  3. ^ Drake, N. L.; Allen, Jr. P. "Benzalacetone". Organic Syntheses.; Collective Volume, 1, p. 77
  4. ^ Moya-Barrios, R. CHEM 2402 Lab Manual, Winter 2016. Dalhousie University, Department of Chemistry
  5. ^ Bruice, Paula Yurkanis. Organic Chemistry, 7th Edition. Pearson Education, 2014. ISBN 0-321-80322-1
  6. ^ Danheiser, R. L.; Miller, R. F.; Brisbois, R. G. (1990). "Detrifluoroacetylative Diazo Group Transfer: (E)-1-Diazo-4-phenyl-3-buten-2-one". Organic Syntheses. 73: 134.; Collective Volume, 9, p. 197
  7. ^ Knölker, H.-J. "(η4-Benzylideneacetone)tricarbonyliron" in Encyclopedia of Reagents for Organic Synthesis (Ed: L. Paquette) 2004, J. Wiley & Sons, New York. Onlinedoi:10.1002/047084289X.rb058.
This article is copied from an article on Wikipedia® - the free encyclopedia created and edited by its online user community. The text was not checked or edited by anyone on our staff. Although the vast majority of Wikipedia® encyclopedia articles provide accurate and timely information, please do not assume the accuracy of any particular article. This article is distributed under the terms of GNU Free Documentation License.

Copyright © 2003-2025 Farlex, Inc Disclaimer
All content on this website, including dictionary, thesaurus, literature, geography, and other reference data is for informational purposes only. This information should not be considered complete, up to date, and is not intended to be used in place of a visit, consultation, or advice of a legal, medical, or any other professional.