Wikipedia

Hofmann elimination

Hofmann elimination
Named after August Wilhelm von Hofmann
Reaction type Elimination reaction
Identifiers
Organic Chemistry Portal hofmann-elimination
RSC ontology ID RXNO:0000166

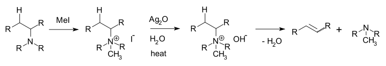
Hofmann elimination is an elimination reaction of an amine where the least stable (least substituted) alkene, the Hofmann product, is formed. This tendency, known as the Hofmann alkene synthesis rule, is in contrast to usual elimination reactions, where Zaitsev's rule predicts the formation of the most stable alkene. It is named after its discoverer, August Wilhelm von Hofmann.[1][2]

The reaction involves the formation of a quaternary ammonium iodide salt by treatment of the amine with excess methyl iodide (exhaustive methylation), followed by treatment with silver oxide and water to form a quaternary ammonium hydroxide. When this salt is decomposed by heat, the Hofmann product is preferentially formed due to the steric bulk of the leaving group causing the hydroxide to abstract the more easily accessible hydrogen.

Hofmann elimination

An example is the synthesis of trans-cyclooctene:[3]

Synthesis of trans-cyclooctene

In a related chemical test, known as the Herzig–Meyer alkimide group determination, a tertiary amine with at least one methyl group and lacking a beta-proton is allowed to react with hydrogen iodide to the quaternary ammonium salt which when heated degrades to iodomethane and the secondary amine.[4]

See also

References

  1. ^ Hofmann, A. W. (1851). "Researches into the molecular constitution of the organic bases". Philosophical Transactions of the Royal Society of London. 141: 357–398. doi:10.1098/rstl.1851.0017. S2CID 108453887.
  2. ^ Aug. Wilh. von Hofmann (1851). "Beiträge zur Kenntniss der flüchtigen organischen Basen" [Contribution to [our] knowledge of volatile organic bases]. Annalen der Chemie und Pharmacie (in German). 78 (3): 253–286. doi:10.1002/jlac.18510780302.
  3. ^ Arthur C. Cope; Robert D. Bach (1973). "trans-Cyclooctene". Organic Syntheses.; Collective Volume, 5, p. 315
  4. ^ J. Herzig; H. Meyer (1894). "Ueber den Nachweis und die Bestimmung des am Stickstoff gebundenen Alkyls". Berichte der deutschen chemischen Gesellschaft. 27 (1): 319–320. doi:10.1002/cber.18940270163.

External links

  • An animation of the mechanism of the Hofmann elimination
This article is copied from an article on Wikipedia® - the free encyclopedia created and edited by its online user community. The text was not checked or edited by anyone on our staff. Although the vast majority of Wikipedia® encyclopedia articles provide accurate and timely information, please do not assume the accuracy of any particular article. This article is distributed under the terms of GNU Free Documentation License.

Copyright © 2003-2025 Farlex, Inc Disclaimer
All content on this website, including dictionary, thesaurus, literature, geography, and other reference data is for informational purposes only. This information should not be considered complete, up to date, and is not intended to be used in place of a visit, consultation, or advice of a legal, medical, or any other professional.