Wikipedia

Ethyl bromoacetate

Ethyl bromoacetate
Skeletal formula of ethyl bromoacetate
Ball-and-stick model of ethyl bromoacetate
Names
Preferred IUPAC name
Ethyl bromoacetate
Other names
Ethyl 2-bromoacetate
Bromoacetic acid, ethyl ester
Antol
Ethoxycarbonylmethyl bromide
Identifiers
3D model (JSmol)
ChEMBL
ChemSpider
ECHA InfoCard 100.002.992 Edit this at Wikidata
RTECS number
  • AF6000000
UNII
CompTox Dashboard (EPA)
Properties
Chemical formula
C4H7BrO2
Molar mass 167.002 g·mol−1
Appearance Colorless to yellow liquid[1]
Density 1.51 g/cm3
Melting point −38 °C (−36 °F; 235 K)[1]
Boiling point 158 °C (316 °F; 431 K)[1]
Insoluble
-82.8·10−6 cm3/mol
Hazards
EU classification (DSD) (outdated)
Very toxic (T+), Powerful lachrymator, Extremely harmful,
R-phrases (outdated) R26/27/28
S-phrases (outdated) (S1/2), S7/9, S26, S45
NFPA 704 (fire diamond)
NFPA 704 four-colored diamond
0
4
3
Flash point 47 °C (117 °F; 320 K)[1]
Related compounds
Other anions
Ethyl acetoacetate
Ethyl iodoacetate
Related esters
Methyl bromoacetate
Related compounds
Pepper spray
Chloropicrin
Except where otherwise noted, data are given for materials in their standard state (at 25 °C [77 °F], 100 kPa).

Ethyl bromoacetate is the chemical compound with the formula CH2BrCO2C2H5. It is the ethyl ester of bromoacetic acid and is prepared in two steps from acetic acid.[2] It is a lachrymator and has a fruity, pungent odor.[3] It is also a highly toxic alkylating agent and may be fatal if inhaled.

Applications

Ethyl bromoacetate is listed by the World Health Organization as a riot control agent, and was first employed for that purpose by French police in 1912.[4] The French army used rifle grenades 'grenades lacrymogènes'[5] filled with this gas against the Germans beginning in August 1914, but the weapons were largely ineffective, even though Ethyl bromoacetate is twice as toxic as chlorine.[6] In the early months of the war the British also used the weaponized use of tear gas agents and more toxic gasses including sulfur dioxide.[7] The German army then used these attacks to justify their subsequent employment of it as odorant or warning agent in odorless, toxic gases and chemical weapons in 1915 under the German code Weisskreuz (White Cross).[8]

In organic synthesis, it is a versatile alkylating agent. Its major application involves the Reformatsky reaction, wherein it reacts with zinc to form a zinc enolate. The resulting BrZnCH2CO2Et condenses with carbonyl compounds to give a β-hydroxy-esters.

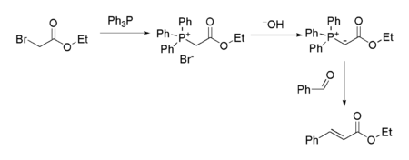
It is also the starting point for the preparation of several other reagents. For example, the related Wittig reagent (prepared by reaction with triphenylphosphine) is commonly used to prepare alpha,beta-unsaturated esters from carbonyl compounds such as benzaldehyde:[9]

Ethyl bromoacetate as the starting point for a Wittig reaction sequence

References

  1. ^ a b c d Chemicalland properties database (dead link 13 September 2018)
  2. ^ Natelson, S.; Gottfried, S. (1955). "Ethyl Bromoacetate". Organic Syntheses.; Collective Volume, 3, p. 381
  3. ^ Criswell, DW; McClure, FL; Schaefer, R; Brower, KR (1980). "War gases as olfactory probes". Science. 210 (4468): 425–6. doi:10.1126/science.6968976. PMID 6968976.
  4. ^ Public health response to biological and chemical weapons, Chapter 3, Biological and Chemical agents, WHO Guidance]
  5. ^ https://www.nouvelobs.com/culture/20050408.OBS3424/plaidoyer-pour-la-guerre-des-gaz.html
  6. ^ https://www.nouvelobs.com/culture/20050408.OBS3424/plaidoyer-pour-la-guerre-des-gaz.html
  7. ^ http://www.historylearningsite.co.uk/world-war-one/the-western-front-in-world-war-one/poison-gas-and-world-war-one/
  8. ^ Heller, Charles E. (September 1984). "Chemical Warfare in World War I: The American Experience, 1917-1918". Combat Studies Institute. Archived from the original on 2007-07-04. Retrieved 2007-08-02.
  9. ^ A student lab procedure for the Wittig sequence shown, only using the related methyl ester.

External links

This article is copied from an article on Wikipedia® - the free encyclopedia created and edited by its online user community. The text was not checked or edited by anyone on our staff. Although the vast majority of Wikipedia® encyclopedia articles provide accurate and timely information, please do not assume the accuracy of any particular article. This article is distributed under the terms of GNU Free Documentation License.

Copyright © 2003-2025 Farlex, Inc Disclaimer
All content on this website, including dictionary, thesaurus, literature, geography, and other reference data is for informational purposes only. This information should not be considered complete, up to date, and is not intended to be used in place of a visit, consultation, or advice of a legal, medical, or any other professional.