Wikipedia

Ethyl acetoacetate

Also found in: Encyclopedia.
Ethyl acetoacetate
Skeletal formula of ethyl acetoacetate
Space-filling model of the ethyl acetoacetate molecule
Names
IUPAC name
Ethyl 3-oxobutanoate
Other names
  • Acetoacetic acid ethyl ester
  • Ethyl acetylacetate
  • 3-Oxobutanoic acid ethyl ester
Identifiers
3D model (JSmol)
ChEBI
ChEMBL
ChemSpider
ECHA InfoCard 100.005.015 Edit this at Wikidata
EC Number
  • 205-516-1
KEGG
RTECS number
  • AK5250000
UNII
UN number 1993
CompTox Dashboard (EPA)
Properties
Chemical formula
C6H10O3
Molar mass 130.14 g/mol
Appearance Colourless liquid
Odor Fruit or rum
Density 1.021 g/cm3, liquid
Melting point −45 °C (−49 °F; 228 K)
Boiling point 180.8 °C (357.4 °F; 453.9 K)
2.86 g/100 ml (20 °C)
Acidity (pKa)
  • 10.68 (in H2O)
  • 14.2 (in DMSO)
−71.67×10−6 cm3/mol
Hazards
EU classification (DSD) (outdated)
Not listed
NFPA 704 (fire diamond)
NFPA 704 four-colored diamond
2
2
Flash point 70 °C (158 °F; 343 K)
Related compounds
Related esters
Related compounds
Except where otherwise noted, data are given for materials in their standard state (at 25 °C [77 °F], 100 kPa).

The organic compound ethyl acetoacetate (EAA) is the ethyl ester of acetoacetic acid. It is widely used as a chemical intermediate in the production of a wide variety of compounds. It is used as a flavoring for food. It is a colorless liquid

Preparation

Ethyl acetoacetate is produced industrially by treatment of diketene with ethanol.[1]

The preparation of ethyl acetoacetate is a classic laboratory procedure.[2] It is prepared via the Claisen condensation of ethyl acetate. Two moles of ethyl acetate condense to form one mole each of ethyl acetoacetate and ethanol.

Preparation of ethyl acetoacetate.

Reactivity

Acidity

Ethyl acetoacetate is diprotic:[3]

CH3C(O)CH2CO2Et + NaH → CH3C(O)CH(Na)CO2Et + H2
CH3C(O)CH(Na)CO2Et + BuLi → LiCH2C(O)CH(Na)CO2Et + BuH
Keto-enol tautomerism

Ethyl acetoacetate is subject to keto-enol tautomerism. In the neat liquid at 33 °C, the enol consists of 15% of the total.[4]

Multicarbon building block

Ethyl acetoacetic acid is a building block in organic synthesis since the protons alpha to carbonyl groups are acidic, and the resulting carbanion undergoes nucleophilic substitution. Ethyl acetoacetate is often used in the acetoacetic ester synthesis similar to diethyl malonate in the malonic ester synthesis or the Knoevenagel condensation. A subsequent thermal decarboxylation is also possible.[5]

The dianion of ethylacetoacetate is also a useful building block, except that the electrophile adds to the terminal carbon. The strategy can be depicted in the following simplified form:[3]

LiCH2C(O)CH(Na)CO2Et + RX → RCH2C(O)CH(Na)CO2Et + LiX
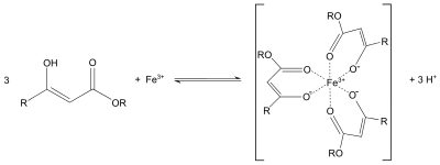
Ligand

Similar to the behavior of acetylacetone, the enolate of ethyl acetoacetate can also serve as a bidentate ligand. For example, it forms purple coordination complexes with iron(III) salts:

Beta-keto acid iron complex.svg
Reduction

Reduction of ethyl acetoacetate gives ethyl 3-hydroxybutyrate.

Transesterification

Ethyl acetoacetate transesterifies to give benzyl acetoacetate via a mechanism involving acetylketene. Ethyl (and other) acetoacetates nitrosate readily with equimolar sodium nitrite in acetic acid, to afford the corresponding oximinoacetoacetate esters. A dissolving-zinc reduction of these in acetic acid in the presence of ketoesters or beta-diketones constitute the Knorr pyrrole synthesis, useful for the preparation of porphyrins.

See also

  • Fructone, the ethylene glycol ketal of ethyl acetoacetate, an aroma compound

References

  1. ^ Template:Ullmannn
  2. ^ J. K. H. Inglis and K. C. Roberts (1926). "Ethyl Acetoacetate". Organic Syntheses. 6: 36. doi:10.15227/orgsyn.006.0036.
  3. ^ a b Jin, Yinghua; Roberts, Frank G.; Coates, Robert M. (2007). "Stereoselective Isoprenoid Chain Extension with Acetoacetate Dianion: [(E, E, E)-Geranylgeraniol from (E, E)-Farnesol". Organic Syntheses. 84: 43. doi:10.15227/orgsyn.084.0043.
  4. ^ Jane L. Burdett; Max T. Rogers (1964). "Keto-Enol Tautomerism in β-Dicarbonyls Studied by Nuclear Magnetic Resonance Spectroscopy. I. Proton Chemical Shifts and Equilibrium Constants of Pure Compounds". J. Am. Chem. Soc. 86: 2105–2109. doi:10.1021/ja01065a003.
  5. ^ Carey, Francis A. (2006). Organic Chemistry (Sixth ed.). New York, NY: McGraw-Hill. ISBN 0-07-111562-5.

External links

This article is copied from an article on Wikipedia® - the free encyclopedia created and edited by its online user community. The text was not checked or edited by anyone on our staff. Although the vast majority of Wikipedia® encyclopedia articles provide accurate and timely information, please do not assume the accuracy of any particular article. This article is distributed under the terms of GNU Free Documentation License.

Copyright © 2003-2025 Farlex, Inc Disclaimer
All content on this website, including dictionary, thesaurus, literature, geography, and other reference data is for informational purposes only. This information should not be considered complete, up to date, and is not intended to be used in place of a visit, consultation, or advice of a legal, medical, or any other professional.