Wikipedia

Cyclophane

Also found in: Encyclopedia.
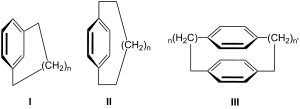
Scheme 1. Cyclophanes

A cyclophane is a hydrocarbon consisting of an aromatic unit (typically a benzene ring) and an aliphatic chain that forms a bridge between two non-adjacent positions of the aromatic ring. More complex derivatives with multiple aromatic units and bridges forming cagelike structures are also known. Cyclophanes are well-studied in organic chemistry because they adopt unusual chemical conformations due to build-up of strain.

Scheme 2. [6]paracyclophanes

Basic cyclophane types are [n]metacyclophanes (I) in scheme 1, [n]paracyclophanes (II) and [n.n']cyclophanes (III). The prefixes meta and para correspond to the usual arene substitution patterns and n refers to the number of carbon atoms making up the bridge.

Structure

Paracyclophanes adopt the boat conformation normally observed in cyclohexanes but are still able to retain aromaticity. The smaller the value of n the larger the deviation from aromatic planarity. In [6]paracyclophane which is one of the smallest, yet stable, cyclophanes X-ray crystallography shows that the aromatic bridgehead carbon atom makes an angle of 20.5° with the plane. The benzyl carbons deviate by another 20.2°. The carbon-to-carbon bond length alternation has increased from 0 for benzene to 39 pm.[1][2]

In organic reactions [6]cyclophane tends to react as a diene derivative and not as an arene. With bromine it gives 1,4-addition and with chlorine the 1,2-addition product forms.

Yet the proton NMR spectrum displays the aromatic protons and their usual deshielded positions around 7.2 ppm and the central methylene protons in the aliphatic bridge are even severely shielded to a position of around - 0.5 ppm, that is, even shielded compared to the internal reference tetramethylsilane. With respect to the diamagnetic ring current criterion for aromaticity this cyclophane is still aromatic.

In-cyclophanes, pyridinophanes and superphanes.

One particular research field in cyclophanes involves probing just how close atoms can get above the center of an aromatic nucleus.[3] In so-called in-cyclophanes with part of the molecule forced to point inwards one of the closest hydrogen to arene distances experimentally determined is just 168 picometers (pm).

A non-bonding nitrogen to arene distance of 244 pm is recorded for a pyridinophane and in the unusual superphane the two benzene rings are separated by a mere 262 pm. Other representative of this group are in-methylcyclophanes,[4] in-ketocyclophanes[5] and in,in-Bis(hydrosilane).[6]

Synthetic methods

[6]paracyclophane can be synthesized[7][8] in the laboratory by a Bamford-Stevens reaction with spiro ketone 1 in scheme 3 rearranging in a pyrolysis reaction through the carbene intermediate 4. The cyclophane can be photochemically converted to the Dewar benzene 6 and back again by application of heat. A separate route to the Dewar form is by a cationic silver perchlorate induced rearrangement reaction of the bicyclopropenyl compound 7.

Scheme 3. [6]paracyclophane synthesis

Metaparacyclophanes constitute another class of cyclophans like the [14][14]metaparacyclophane[9] in scheme 4[10] featuring a in-situ Ramberg-Bäcklund Reaction converting the sulfone 3 to the alkene 4.

Scheme 4. [14][14]metaparacyclophane

Naturally occurring cyclophanes

Despite carrying strain, the cyclophane motif does exist in nature. One example of a metacyclophane is cavicularin.

Haouamine A is a paracyclophane found in a certain species of tunicate. Because of its potential application as an anticancer drug it is also available from total synthesis via an alkyne - pyrone Diels-Alder reaction in the crucial step with expulsion of carbon dioxide (scheme 5).[11]

Scheme 5. Haouamine A

In this compound the deviation from planarity is 13° for the benzene ring and 17° for the bridgehead carbons.[12] An alternative cyclophane formation strategy in scheme 6[13] was developed based on aromatization of the ring well after the formation of the bridge.

Scheme 6. Haouamine cyclophane substructure synthesis

Two additional types of cyclophanes were discovered in nature when they were isolated from two species of cyanobacteria from the family Nostocacae.[14] These two classes of cyclophanes are both [7,7] paracyclophanes and were named after the species from which they were extracted: cylindrocyclophanes from Cylindrospermum lichenforme and nostocyclophanes from Nostoc linckia.

[n.n]Paracyclophanes

A well exploited member of the [n.n]paracyclophane family is [2.2]paracyclophane.[15][16] One method for its preparation is by a 1,6-Hofmann elimination:[17]

Scheme 7. 2.2-paracyclophane synthesis

The [2.2]paracyclophane-1,9-diene has been applied in ROMP to a poly(p-phenylene vinylene) with alternating cis-alkene and trans-alkene bonds using Grubbs' second generation catalyst:[18]

Scheme 8. 2.2-paracyclophane-1,9-diene polymerization

The driving force for ring-opening and polymerization is strain relief. The reaction is believed to be a living polymerization due to the lack of competing reactions.

Because the two benzene rings are in close proximity this cyclophane type also serves as guinea pig for photochemical dimerization reactions as illustrated by this example:[19]

Formation of Octahedrane by Photochemical Dimerization of Benzene

The product formed has an octahedrane skeleton. When the amine group is replaced by a methylene group no reaction takes place: the dimerization requires through-bond overlap between the aromatic pi electrons and the sigma electrons in the C-N bond in the reactants LUMO.

Cycloparaphenylenes

[n]Cycloparaphenylenes ([n]CPPs) consist of cyclic all-para-linked phenyl groups.[20] This compound class is of some interest as potential building block for nanotubes. Members have been reported with 18, 12, 10, 9, 8, 7, 6 and 5 phenylenes. These molecules are unique in that they contain no aliphatic linker group that places strain on the aromatic unit. Instead the entire molecule is a strained aromatic unit.

Phanes

Generalization of cyclophanes led to the concept of phanes in the IUPAC nomenclature.

The systematic phane nomenclature name for e.g. [14]metacyclophane is 1(1,3)-benzenacyclopentadecaphane;
and [2.2']paracyclophane (or [2.2]paracyclophane) is 1,4(1,4)-dibenzenacyclohexaphane.

References

  1. ^ Tobe, Yoshito; Ueda, Kenichi; Kaneda, Teruhisa; Kakiuchi, Kiyomi; Odaira, Yoshinobu; Kai, Yasushi; Kasai, Nobutami (1987). "Synthesis and molecular structure of (Z)-[6]Paracycloph-3-enes". Journal of the American Chemical Society. 109 (4): 1136–1144. doi:10.1021/ja00238a024.
  2. ^ Hunger, Jürgen; Wolff, Christian; Tochtermann, Werner; Peters, Eva-Maria; Peters, Karl; von Schnering, Hans Georg (1986). "Synthese mittlerer und großer Ringe, XVI. Bootförmige Arene — Synthese, Struktur und Eigenschaften von [7]Paracyclophanen und [7](1,4)Naphthalinophanen". Chemische Berichte. 119 (9): 2698–2722. doi:10.1002/cber.19861190904.
  3. ^ Pascal, Robert A. (2004). ""Molecular Iron Maidens": Ultrashort Nonbonded Contacts in Cyclophanes and Other Crowded Molecules". European Journal of Organic Chemistry. 2004 (18): 3763–3771. doi:10.1002/ejoc.200400183.
  4. ^ Song, Qiuling; Ho, Douglas M.; Pascal, Robert A. (2005). "Sterically Congestedin-Methylcyclophanes". Journal of the American Chemical Society. 127 (32): 11246–11247. doi:10.1021/ja0529384. PMID 16089445.
  5. ^ Qin, Qian; Mague, Joel T.; Pascal, Robert A. (2010). "Anin-Ketocyclophane". Organic Letters. 12 (5): 928–930. doi:10.1021/ol9028572. PMID 20112943.
  6. ^ Zong, Jie; Mague, Joel T.; Pascal, Robert A. (2013). "Exceptional Steric Congestion in an in,in-Bis(hydrosilane)". Journal of the American Chemical Society. 135 (36): 13235–13237. doi:10.1021/ja407398w. PMID 23971948.
  7. ^ Kane, Vinayak V.; Wolf, Anthony D.; Jones, Maitland (1974). "[6]Paracyclophane". Journal of the American Chemical Society. 96 (8): 2643–2644. doi:10.1021/ja00815a070.
  8. ^ Kammula, Seetha L.; Iroff, Linda D.; Jones, Maitland; Van Straten, J. W.; De Wolf, W. H.; Bickelhaupt, F. (1977). "Interconversion of [6]paracyclophane and 1,4-hexamethylene(Dewar benzene)". Journal of the American Chemical Society. 99 (17): 5815. doi:10.1021/ja00459a055.
  9. ^ Wei, Chunmei; Mo, Kai-For; Chan, Tze-Lock (2003). "[14][14]Metaparacyclophane: First Example of an [m][n]Metaparacyclophane". The Journal of Organic Chemistry. 68 (7): 2948–2951. doi:10.1021/jo0267044. PMID 12662074.
  10. ^ Scheme 4. Reaction scheme: with para-ring in place ring closure of meta part by nucleophilic displacement of dibromide by disulfide. Then oxidation of sulfide to sulfone by hydrogen peroxide followed by in-situ Ramberg-Bäcklund Reaction with halide donor dibromodifluoromethane and base potassium hydroxide. Final step hydrogenation pf alkene by hydrogen and palladium on carbon
  11. ^ Baran, Phil S.; Burns, Noah Z. (2006). "Total Synthesis of (±)-Haouamine A". Journal of the American Chemical Society. 128 (12): 3908–3909. doi:10.1021/ja0602997. PMID 16551088. The authors mark the biosynthetic origin as mysterious
  12. ^ Wipf, Peter; Furegati, Markus (2006). "Synthesis of the 3-Aza-[7]-paracyclophane Core of Haouamine A and B". Organic Letters. 8 (9): 1901–1904. doi:10.1021/ol060455e. PMID 16623580.
  13. ^ Scheme 6. Reaction scheme: step I elimination reaction of methanol with trifluoroethanol and diisopropylamine, step II methylation with dimethyl sulfate. Ns = Nosylate
  14. ^ Moore, Bradley S.; Chen, Jian Lu; Patterson, Gregory M. L.; Moore, Richard E.; Brinen, Linda S.; Kato, Yoko; Clardy, Jon (1990). "[7.7] Paracyclophanes from blue-green algae". J. Am. Chem. Soc. 112 (10): 4061–4063. doi:10.1021/ja00166a066.
  15. ^ Hassan, Zahid; Spuling, Eduard; Knoll, Daniel M.; Lahann, Joerg; Bräse, Stefan (2018). "Planar chiral [2.2]paracyclophanes: from synthetic curiosity to applications in asymmetric synthesis and materials". Chemical Society Reviews. 47 (18): 6947–6963. doi:10.1039/C7CS00803A. PMID 30065985.
  16. ^ Hassan, Zahid; Spuling, Eduard; Knoll, Daniel M.; Bräse, Stefan (2019). "Regioselective Functionalization of [2.2]Paracyclophanes: Recent Synthetic Progress and Perspectives". Angewandte Chemie International Edition. 0 (ja). doi:10.1002/anie.201904863. ISSN 1521-3773. PMID 31283092.
  17. ^ Organic Syntheses, Coll. Vol. 5, p.883 (1973); Vol. 42, p.83 (1962) Link Archived 2012-10-23 at the Wayback Machine.
  18. ^ Yu, Chin-Yang; Turner, Michael L. (2006). "Soluble Poly(p-phenylenevinylene)s through Ring-Opening Metathesis Polymerization". Angewandte Chemie International Edition. 45 (46): 7797–7800. doi:10.1002/anie.200602863. PMID 17061303.
  19. ^ Okamoto, Hideki; Satake, Kyosuke; Ishida, Hiroyuki; Kimura, Masaru (2006). "Photoreaction of a 2,11-Diaza[3.3]paracyclophane Derivative: Formation of Octahedrane by Photochemical Dimerization of Benzene". Journal of the American Chemical Society. 128 (51): 16508–16509. doi:10.1021/ja067350r. PMID 17177393.
  20. ^ Hirst, Elizabeth S.; Jasti, Ramesh (2012). "Bending Benzene: Syntheses of [n]Cycloparaphenylenes". The Journal of Organic Chemistry. 77 (23): 10473–10478. doi:10.1021/jo302186h. PMID 23126565.
This article is copied from an article on Wikipedia® - the free encyclopedia created and edited by its online user community. The text was not checked or edited by anyone on our staff. Although the vast majority of Wikipedia® encyclopedia articles provide accurate and timely information, please do not assume the accuracy of any particular article. This article is distributed under the terms of GNU Free Documentation License.

Copyright © 2003-2025 Farlex, Inc Disclaimer
All content on this website, including dictionary, thesaurus, literature, geography, and other reference data is for informational purposes only. This information should not be considered complete, up to date, and is not intended to be used in place of a visit, consultation, or advice of a legal, medical, or any other professional.