Wikipedia

Thionyl chloride

Also found in: Encyclopedia.
Thionyl chloride
Thionyl-chloride-2D-dimensions.png
Ball-and-stick model of thionyl chloride
Thionyl chloride 25ml.jpg
Names
IUPAC name
Sulfurous dichloride
Other names
  • Thionyl dichloride
  • Sulfurous oxychloride
  • Sulfinyl chloride
  • Sulfinyl dichloride
  • Dichlorosulfoxide
  • Sulfur oxide dichloride
  • Sulfur monoxide dichloride
  • Sulfuryl(IV) chloride
Identifiers
3D model (JSmol)
ChEBI
ChemSpider
ECHA InfoCard 100.028.863 Edit this at Wikidata
EC Number
  • 231-748-8
RTECS number
  • XM5150000
UNII
UN number 1836
CompTox Dashboard (EPA)
Properties
Chemical formula
SOCl2
Molar mass 118.97 g/mol
Appearance Colourless liquid (yellows on ageing)
Odor Pungent and unpleasant
Density 1.638 g/cm3, liquid
Melting point −104.5 °C (−156.1 °F; 168.7 K)
Boiling point 74.6 °C (166.3 °F; 347.8 K)
Reacts
Solubility Soluble in most aprotic solvents: toluene, chloroform, diethyl ether. Reacts with protic solvents such as alcohols
Vapor pressure
  • 384 Pa (−40 °C)
  • 4.7 kPa (0 °C)
  • 15.7 kPa (25 °C)[1]
1.517 (20 °C)[2]
Viscosity 0.6 cP
Structure
pyramidal
Dipole moment
1.44 D
Thermochemistry
121.0 J/mol (liquid)[3]
309.8 kJ/mol (gas)[3]
−245.6 kJ/mol (liquid)[3]
Hazards
Main hazards
  • Very toxic
  • Reacts with water to release HCl
GHS pictograms GHS05: CorrosiveGHS07: HarmfulGHS06: Toxic
GHS Signal word Danger
GHS hazard statements
H302, H314, H331
GHS precautionary statements
P261, P280, P305+351+338, P310
NFPA 704 (fire diamond)
NFPA 704 four-colored diamond
0
4
2
Flash point Non-flammable
NIOSH (US health exposure limits):
PEL (Permissible)
None[4]
REL (Recommended)
C 1 ppm (5 mg/m3)[4]
IDLH (Immediate danger)
N.D.[4]
Related compounds
Related Thionyl halides
Related compounds
Except where otherwise noted, data are given for materials in their standard state (at 25 °C [77 °F], 100 kPa).

Thionyl chloride is an inorganic compound with the chemical formula SOCl
2
. It is a moderately volatile colourless liquid with an unpleasant acrid odour. Thionyl chloride is primarily used as a chlorinating reagent, with approximately 45,000 tonnes (50,000 short tons) per year being produced during the early 1990s.[5] It is toxic, reacts with water, and is also listed under the Chemical Weapons Convention as it may be used for the production of chemical weapons.

Thionyl chloride is sometimes confused with sulfuryl chloride, SO2Cl2, but the properties of these compounds differ significantly. Sulfuryl chloride is a source of chlorine whereas thionyl chloride is a source of chloride ions.

Production

The major industrial synthesis involves the reaction of sulfur trioxide and sulfur dichloride:[6]

SO3 + SCl2 → SOCl2 + SO2

Other methods include syntheses from phosphorus pentachloride, chlorine and sulfur dichloride, or phosgene:

SO2 + PCl5 → SOCl2 + POCl3
SO2 + Cl2 + SCl2 → 2 SOCl2
SO3 + Cl2 + 2 SCl2 → 3 SOCl2
SO2 + COCl2 → SOCl2 + CO2

The first of the above four reactions also affords phosphorus oxychloride (phosphoryl chloride), which resembles thionyl chloride in many of its reactions.

Properties and structure

Crystal structure of SOCl2

SOCl2 adopts a trigonal pyramidal molecular geometry with Cs molecular symmetry. This geometry is attributed to the effects of the lone pair on the central sulfur(IV) center.

In the solid state SOCl2 forms monoclinic crystals with the space group P21/c.[7]

Stability

Thionyl chloride has a long shelf life, however "aged" samples develop a yellow hue, possibly due to the formation of disulfur dichloride. It slowly decomposes to S2Cl2, SO2 and Cl2 at just above the boiling point.[6][8] Thionyl chloride is susceptible to photolysis, which primarily proceeds via a radical mechanism.[9] Samples showing signs of ageing can be purified by distillation under reduced pressure, to give a colourless liquid.[10]

Reactions

Thionyl chloride is mainly used in the industrial production of organochlorine compounds, which are often intermediates in pharmaceuticals and agrichemicals. It usually is preferred over other reagents, such as phosphorus pentachloride, as its by-products (HCl and SO2) are gaseous, which simplifies purification of the product.

Many of the products of thionyl chloride are themselves highly reactive and as such it is involved in a wide range of reactions.

With water and alcohols

Thionyl chloride reacts endothermically with water to form sulfur dioxide and hydrochloric acid:

SOCl2 + H2O → 2 HCl + SO2

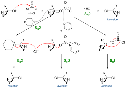
By a similar process it also reacts with alcohols to form alkyl chlorides. If the alcohol is chiral the reaction generally proceeds via an SNi mechanism with retention of stereochemistry;[11] however, depending on the exact conditions employed, stereo-inversion can also be achieved. Historically the use of SOCl2 in combination with a tertiary amine such as pyridine was called the Darzens halogenation, but this name is rarely used by modern chemists.

Conversion of a secondary alcohol to a chloroalkane by thionyl chloride.

Reactions with an excess of alcohol produce sulfite esters, which can be powerful methylation, alkylation and hydroxyalkylation reagents.[12]

SOCl2 + 2 ROH → (RO)2SO + 2 HCl

For example, the addition of SOCl2 to amino acids in methanol selectively yields the corresponding methyl esters.[13]

With carboxylic acids

Classically, it converts carboxylic acids to acyl chlorides:[14][15][16]

SOCl2 + RCO2H → RCOCl + SO2 + HCl

The reaction mechanism has been investigated:[17]

Action of thionyl chloride on carboxylic acid.png

With nitrogen species

With primary amines, thionyl chloride gives sulfinylamine derivatives (RNSO), one example being N-sulfinylaniline. Thionyl chloride reacts with primary formamides to form isocyanides[18] and with secondary formamides to give chloroiminium ions; as such a reaction with dimethylformamide will form the Vilsmeier reagent.[19] By an analogous process primary amides will react with thionyl chloride to form imidoyl chlorides, with secondary amides also giving chloroiminium ions. These species are highly reactive and can be used to catalyse the conversion of carboxylic acids to acyl chlorides, they are also exploited in the Bischler–Napieralski reaction as a means of forming isoquinolines.

Acyl chloride via amide catalysis.png

Primary amides will continue on to form nitriles if heated (Von Braun amide degradation).[20] Thionyl chloride has also been used to promote the Beckmann rearrangement of oximes.

With sulfur species

Pummerer Ex ThionylChloride.png

With phosphorus species

Thionyl chloride converts phosphonic acids and phosphonates into phosphoryl chlorides. It is for this type of reaction that thionyl chloride is listed as a Schedule 3 compound, as it can be used in the "di-di" method of producing G-series nerve agents. For example, thionyl chloride converts dimethyl methylphosphonate into methylphosphonic acid dichloride, which can be used in the production of sarin and soman.

With metals

As SOCl2 reacts with water it can be used to dehydrate various metal chloride hydrates, such MgCl2·6H2O, AlCl3·6H2O, and FeCl3·6H2O.[6] This conversion involves treatment with refluxing thionyl chloride and follows the following general equation:[26]

MCln·xH2O + x SOCl2 → MCln + x SO2 + 2x HCl

Other reactions

  • Thionyl chloride can engage in a range of different electrophilic addition reactions. It adds to alkenes in the presence of AlCl3 to form an aluminium complex which can be hydrolysed to form a sulfinic acid. Both aryl sulfinyl chlorides and diaryl sulfoxides can be prepared from arenes through reaction with thionyl chloride in triflic acid[27] or the presence of catalysts such as BiCl3, Bi(OTf)3, LiClO4 or NaClO4.[28][29]
  • In the laboratory, a reaction between thionyl chloride and an excess of anhydrous alcohol can be used to produce anhydrous alcoholic solutions of HCl.
  • Thionyl chloride undergoes halogen exchange reactions to give compounds such as thionyl bromide and thionyl fluoride
    3 SOCl2 + 2 SbF3 → 3 SOF2 + 2 SbCl3
    SOCl2 + 2 HBr → SOBr2 + 2 HCl

Batteries

A selection of lithium–thionyl chloride batteries

Thionyl chloride is a component of lithium–thionyl chloride batteries, where it acts as the positive electrode (cathode) with lithium forming the negative electrode (anode); the electrolyte is typically lithium tetrachloroaluminate. The overall discharge reaction is as follows:

4 Li + 2 SOCl2 → 4 LiCl + S + SO2

These non-rechargeable batteries have many advantages over other forms of lithium battery such as a high energy density, a wide operational temperature range and long storage and operational lifespans. However, their high cost and safety concerns have limited their use. The contents of the batteries are highly toxic and require special disposal procedures; additionally, they may explode if shorted.

Safety

SOCl2 is a reactive compound that can violently release dangerous gases upon contact with water and other reagents. It is also controlled under the Chemical Weapons Convention and listed as a Schedule 3 substance since it is used in the "di-di" method of producing G-series nerve agents.

History

In 1849, the French chemists Jean-François Persoz and Bloch, and the German chemist Peter Kremers (1827-?), independently first synthesized thionyl chloride by reacting phosphorus pentachloride with sulfur dioxide.[30][31] However, their products were impure: both Persoz and Kremers claimed that thionyl chloride contained phosphorus,[32] and Kremers recorded its boiling point as 100°C (instead of 74.6°C). In 1857, the German-Italian chemist Hugo Schiff subjected crude thionyl chloride to repeated fractional distillations and obtained a liquid which boiled at 82°C and which he called Thionylchlorid.[33] In 1859, the German chemist Georg Ludwig Carius noted that thionyl chloride could be used to make acid anhydrides and acyl chlorides from carboxylic acids and to make alkyl chlorides from alcohols.[34]

See also

References

  1. ^ Thionyl chloride in Linstrom, Peter J.; Mallard, William G. (eds.); NIST Chemistry WebBook, NIST Standard Reference Database Number 69, National Institute of Standards and Technology, Gaithersburg (MD), http://webbook.nist.gov (retrieved 2014-05-11)
  2. ^ Patnaik, Pradyot (2003). Handbook of Inorganic Chemicals. New York, NY: McGraw-Hill. ISBN 0-07-049439-8.
  3. ^ a b c Lide, David R.; et al., eds. (1996). CRC Handbook of Chemistry and Physics (76th ed.). Boca Raton, FL: CRC Press. pp. 5–10. ISBN 0-8493-0476-8.
  4. ^ a b c NIOSH Pocket Guide to Chemical Hazards. "#0611". National Institute for Occupational Safety and Health (NIOSH).
  5. ^ Lauss, H.-D.; Steffens, W. "Sulfur Halides". Ullmann's Encyclopedia of Industrial Chemistry. Weinheim: Wiley-VCH. doi:10.1002/14356007.a25_623.
  6. ^ a b c Greenwood, Norman N.; Earnshaw, Alan (1997). Chemistry of the Elements (2nd ed.). Butterworth-Heinemann. p. 694. ISBN 978-0-08-037941-8.
  7. ^ Mootz, D.; Merschenz-Quack, A. (15 May 1988). "Structures of thionyl halides: SOCl2 and SOBr2" (PDF). Acta Crystallographica Section C. 44 (5): 926–927. doi:10.1107/S010827018800085X.
  8. ^ Brauer, Georg, ed. (1963). Handbook of Preparative Inorganic Chemistry. 1. Translated by Scripta Technica; Reed, F. (2nd ed.). New York, NY: Academic Press. p. 383. ISBN 978-0121266011.
  9. ^ Donovan, R. J.; Husain, D.; Jackson, P. T. (1969). "Spectroscopic and kinetic studies of the SO radical and the photolysis of thionyl chloride". Transactions of the Faraday Society. 65: 2930. doi:10.1039/TF9696502930.
  10. ^ Friedman, L.; Wetter, W. P. (1967). "Purification of thionyl chloride". Journal of the Chemical Society A: Inorganic, Physical, Theoretical: 36. doi:10.1039/J19670000036.
  11. ^ Smith, Michael B.; March, Jerry (2007), Advanced Organic Chemistry: Reactions, Mechanisms, and Structure (6th ed.), New York: Wiley-Interscience, p. 469, ISBN 978-0-471-72091-1
  12. ^ Van Woerden, H. F. (1963). "Organic Sulfites". Chemical Reviews. 63 (6): 557–571. doi:10.1021/cr60226a001.
  13. ^ Brenner, M.; Huber, W. (1953). "Herstellung von α-Aminosäureestern durch Alkoholyse der Methylester" [Manufacture of α-amino acid esters by alcoholysis of methyl esters]. Helvetica Chimica Acta (in German). 36 (5): 1109–1115. doi:10.1002/hlca.19530360522.
  14. ^ Clayden, Jonathan; Greeves, Nick; Warren, Stuart; Wothers, Peter (2001). Organic Chemistry (1st ed.). Oxford University Press. p. 295. ISBN 978-0-19-850346-0.
  15. ^ Allen, C. F. H.; Byers, J. R., Jr; Humphlett, W. J. (1963). "Oleoyl chloride". Organic Syntheses.; Collective Volume, 4, p. 739
  16. ^ Rutenberg, M. W.; Horning, E. C. (1963). "1-Methyl-3-ethyloxindole". Organic Syntheses.; Collective Volume, 4, p. 620
  17. ^ Clayden, Jonathan; Greeves, Nick; Warren, Stuart; Wothers, Peter (2001). Organic Chemistry (1st ed.). Oxford University Press. ISBN 978-0-19-850346-0.
  18. ^ Niznik, G. E.; Morrison, W. H., III; Walborsky, H. M. (1988). "1-d-Aldehydes from organometallic reagents: 2-methylbutanal-1-d". Organic Syntheses.; Collective Volume, 6, p. 751
  19. ^ Arrieta, A.; Aizpurua, J. M.; Palomo, C. (1984). "N,N-Dimethylchlorosulfitemethaniminium chloride (SOCl2-DMF) a versatile dehydrating reagent". Tetrahedron Letters. 25 (31): 3365–3368. doi:10.1016/S0040-4039(01)81386-1.
  20. ^ Krynitsky, J. A.; Carhart, H. W. (1963). "2-Ethylhexanonitrile". Organic Syntheses.; Collective Volume, 4, p. 436
  21. ^ Hulce, M.; Mallomo, J. P.; Frye, L. L.; Kogan, T. P.; Posner, G. H. (1990). "(S)-(+)-2-(p-toluenesulfinyl)-2-cyclopentenone: Precursor for enantioselective synthesis of 3-substituted cyclopentanones". Organic Syntheses.; Collective Volume, 7, p. 495
  22. ^ Kurzer, F. (1963). "p-Toluenesulfinyl chloride". Organic Syntheses.; Collective Volume, 4, p. 937
  23. ^ Weinreb, S. M.; Chase, C. E.; Wipf, P.; Venkatraman, S. (2004). "2-Trimethylsilylethanesulfonyl chloride (SES-Cl)". Organic Syntheses.; Collective Volume, 10, p. 707
  24. ^ Hazen, G. G.; Bollinger, F. W.; Roberts, F. E.; Russ, W. K.; Seman, J. J.; Staskiewicz, S. (1998). "4-Dodecylbenzenesulfonyl azides". Organic Syntheses.; Collective Volume, 9, p. 400
  25. ^ Hogan, P. J.; Cox, B. G. (2009). "Aqueous Process Chemistry: The Preparation of Aryl Sulfonyl Chlorides". Organic Process Research & Development. 13 (5): 875–879. doi:10.1021/op9000862.
  26. ^ Pray, A. R.; Heitmiller, R. F.; Strycker, S.; Aftandilian, V. D.; Muniyappan, T.; Choudhury, D.; Tamres, M. (1990). Anhydrous Metal Chlorides. Inorganic Syntheses. 28. pp. 321–323. doi:10.1002/9780470132593.ch80. ISBN 978-0-470-13259-3.
  27. ^ Smith, Michael B.; March, Jerry (2007), Advanced Organic Chemistry: Reactions, Mechanisms, and Structure (6th ed.), New York: Wiley-Interscience, p. 697, ISBN 978-0-471-72091-1
  28. ^ Peyronneau, M.; Roques, N.; Mazières, S.; Le Roux, C. (2003). "Catalytic Lewis Acid Activation of Thionyl Chloride: Application to the Synthesis of Aryl Sulfinyl Chlorides Catalyzed by Bismuth(III) Salts". Synlett (5): 0631–0634. doi:10.1055/s-2003-38358.
  29. ^ Bandgar, B. P.; Makone, S. S. (2004). "Lithium/Sodium Perchlorate Catalyzed Synthesis of Symmetrical Diaryl Sulfoxides". Synthetic Communications. 34 (4): 743–750. doi:10.1081/SCC-120027723. S2CID 96348273.
  30. ^ See:
  31. ^ Kremers, P. (1849). "Ueber schwefligsaures Phosphorchlorid" [On sulfurous phosphorus pentachloride]. Annalen der Chemie und Pharmacie (in German). 70 (3): 297–300. doi:10.1002/jlac.18490700311.
  32. ^ The German chemist Georg Ludwig Carius noted that, when the reaction mixture that produced thionyl chloride was distilled, the crude mixture initially released substantial quantities of gas, so that phosphoryl chloride (POCl3) was carried into the receiver. Carius, L. (1859). "Ueber die Chloride des Schwefels und deren Derivate" [On sulfur chloride and its derivatives]. Annalen der Chemie und Pharmacie (in German). 111: 93–113. doi:10.1002/jlac.18591110111. From p. 94: " … dabei ist jedoch die Vorsicht zu gebrauchen, … und nie reines Chlorthionyl erhalten wird." ( … however, during that [i.e., the fractional distillation], caution must be used, [so] that one carefully avoids a concentration of hydrogen chloride or excess sulfurous acid in the liquid that is to be distilled, as otherwise, by the evolution of gas that occurs at the start of the distillation, much phosphoryl chloride is transferred and pure thionyl chloride is never obtained.)
  33. ^ Schiff, Hugo (1857). "Ueber die Einwirkung des Phosphorsuperchlorids auf einige anorganische Säuren" [On the reaction of phosphorus pentachloride with some inorganic acids]. Annalen der Chemie und Pharmacie (in German). 102: 111–118. doi:10.1002/jlac.18571020116. The boiling point of thionyl chloride which Schiff observed, appears on p. 112. The name Thionylchlorid is coined on p. 113.
  34. ^ Carius, L. (1859). "Ueber die Chloride des Schwefels und deren Derivate" [On sulfur chloride and its derivatives]. Annalen der Chemie und Pharmacie (in German). 111: 93–113. doi:10.1002/jlac.18591110111. On p. 94, Carius notes that thionyl chloride can be " … mit Vortheil zur Darstellung wasserfreier Säuren verwenden." ( … used advantageously for the preparation of acid anhydrides.) Also on p. 94, Carius shows chemical equations in which thionyl chloride is used to transform benzoic acid (OC7H5OH) into benzoyl chloride (ClC7H5O) and to transform sodium benzoate into benzoic anhydride. On p. 96, he mentions that thionyl chloride will transform methanol into methyl chloride (Chlormethyl). Thionyl chloride behaves like phosphoryl chloride: from pp. 94-95: "Die Einwirkung des Chlorthionyls … die Reaction des Chlorthionyls weit heftiger statt." (The reaction of thionyl chloride with [organic] substances containing oxygen proceeds in general parallel to that of phosphoryl chloride; where the latter exerts an effect, thionyl chloride usually does so also, only in nearly all cases the reaction occurs far more vigorously.)
This article is copied from an article on Wikipedia® - the free encyclopedia created and edited by its online user community. The text was not checked or edited by anyone on our staff. Although the vast majority of Wikipedia® encyclopedia articles provide accurate and timely information, please do not assume the accuracy of any particular article. This article is distributed under the terms of GNU Free Documentation License.

Copyright © 2003-2025 Farlex, Inc Disclaimer
All content on this website, including dictionary, thesaurus, literature, geography, and other reference data is for informational purposes only. This information should not be considered complete, up to date, and is not intended to be used in place of a visit, consultation, or advice of a legal, medical, or any other professional.