Wikipedia

Cyclohexene

Also found in: Encyclopedia.
Cyclohexene
Olefine am Beispiel von Cycloalken-v2.svg
Cyclohexene for highscool.svg
Cyclohexene-conformation-2D-skeletal.png
Cyclohexen.png
Names
Preferred IUPAC name
Cyclohexene
Other names
Tetrahydrobenzene, 1,2,3,4-Tetrahydrobenzene, Benzenetetrahydride, Cyclohex-1-ene, Hexanaphthylene, UN 2256
Identifiers
3D model (JSmol)
906737
ChEBI
ChEMBL
ChemSpider
ECHA InfoCard 100.003.462 Edit this at Wikidata
EC Number
  • 203-807-8
Gmelin Reference
1659
RTECS number
  • GW2500000
UNII
CompTox Dashboard (EPA)
Properties
C6H10
Molar mass 82.143 g/mol
Appearance colorless liquid
Odor sweet
Density 0.8110 g/cm3
Melting point −103.5 °C (−154.3 °F; 169.7 K)
Boiling point 82.98 °C (181.36 °F; 356.13 K)
insoluble in water
Solubility miscible with organic solvents
Vapor pressure 8.93 kPa (20 °C)

11.9 kPa (25 °C)

0.022 mol·kg−1·bar−1
-57.5·10−6 cm3/mol
1.4465
Hazards
Safety data sheet External MSDS
GHS pictograms GHS02: FlammableGHS06: ToxicGHS07: HarmfulGHS08: Health hazardGHS09: Environmental hazard
GHS Signal word Danger
GHS hazard statements
H225, H302, H304, H311, H411
GHS precautionary statements
P210, P233, P240, P241, P242, P243, P264, P270, P273, P280, P301+310, P301+312, P302+352, P303+361+353, P312, P322, P330, P331, P361, P363, P370+378, P391, P403+235, P405, P501
NFPA 704 (fire diamond)
NFPA 704 four-colored diamond
3
1
0
Flash point −12 °C (10 °F; 261 K)
244 °C (471 °F; 517 K)
Explosive limits 0.8–5 %
Lethal dose or concentration (LD, LC):
1946 mg/kg (oral, rat)
13,196 ppm (mouse, 2 hr)[2]
NIOSH (US health exposure limits):
PEL (Permissible)
TWA 300 ppm (1015 mg/m3)[1]
REL (Recommended)
TWA 300 ppm (1015 mg/m3)[1]
IDLH (Immediate danger)
2000 ppm[1]
Except where otherwise noted, data are given for materials in their standard state (at 25 °C [77 °F], 100 kPa).

Cyclohexene is a hydrocarbon with the formula C6H10. This cycloalkene is a colorless liquid with a sharp smell. It is an intermediate in various industrial processes. Cyclohexene is not very stable upon long term storage with exposure to light and air because it forms peroxides.

Production and uses

Cyclohexene is produced by the partial hydrogenation of benzene, a process developed by the Asahi Chemical company.[3]

Reactions and uses

Benzene is converted to cyclohexylbenzene by acid-catalyzed alkylation with cyclohexene. Cyclohexylbenzene is a precursor to both phenol and cyclohexanone.[4]

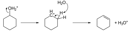
Hydration of cyclohexene gives cyclohexanol, which can be dehydrogenated to give cyclohexanone, a precursor to caprolactam.[5]

The oxidative cleavage of cyclohexene gives adipic acid. Hydrogen peroxide is used as the oxidant, in the presence of a tungsten catalyst.[6]

Cyclohexene is also a precursor to maleic acid, dicyclohexyladipate, and cyclohexene oxide. Furthermore, it is used as a solvent.

Cyclohexensynthese1.svg
Cyclohexensynthese2.svg

Structure

Cyclohexene is most stable in a half-chair conformation,[7] unlike the preference for a chair form of cyclohexane. One basis for the cyclohexane conformational preference for a chair is that it allows each bond of the ring to adopt a staggered conformation. For cyclohexene, however, the alkene is planar, equivalent to an eclipsed conformation at that bond.

See also

External links

  • International Chemical Safety Card 1054
  • NIOSH Pocket Guide to Chemical Hazards. "#0167". National Institute for Occupational Safety and Health (NIOSH).
  • Material Safety Data Sheet for cyclohexene
  • Safety MSDS data
  • Reaction of Cyclohexene with Bromine and Potassium Permanganate
  • Cyclohexene synthesis
  • Data sheet at inchem.org

References

  1. ^ a b c NIOSH Pocket Guide to Chemical Hazards. "#0167". National Institute for Occupational Safety and Health (NIOSH).
  2. ^ "Cyclohexene". Immediately Dangerous to Life and Health Concentrations (IDLH). National Institute for Occupational Safety and Health (NIOSH).
  3. ^ [1], Narisawa, Naoki & Katsutoshi Tanaka, "Cyclohexanol, method for producing cyclohexanol, and method for producing adipic acid"
  4. ^ Plotkin, Jeffrey S. (2016-03-21). "What's New in Phenol Production?". American Chemical Society. Archived from the original on 2019-10-27. Retrieved 2018-01-02.
  5. ^ Musser, Michael T. (2005). "Cyclohexanol and Cyclohexanone". Ullmann's Encyclopedia of Industrial Chemistry. Weinheim: Wiley-VCH. doi:10.1002/14356007.a08_217.
  6. ^ Reed, Scott M.; Hutchison, James E. (2000). "Green Chemistry in the Organic Teaching Laboratory: An Environmentally Benign Synthesis of Adipic Acid". J. Chem. Educ. 77 (12): 1627–1629. doi:10.1021/ed077p1627.
  7. ^ Jensen, Frederick R.; Bushweller, C. Hackett (1969). "Conformational preferences and interconversion barriers in cyclohexene and derivatives". J. Am. Chem. Soc. 91 (21): 5774–5782. doi:10.1021/ja01049a013.
This article is copied from an article on Wikipedia® - the free encyclopedia created and edited by its online user community. The text was not checked or edited by anyone on our staff. Although the vast majority of Wikipedia® encyclopedia articles provide accurate and timely information, please do not assume the accuracy of any particular article. This article is distributed under the terms of GNU Free Documentation License.

Copyright © 2003-2025 Farlex, Inc Disclaimer
All content on this website, including dictionary, thesaurus, literature, geography, and other reference data is for informational purposes only. This information should not be considered complete, up to date, and is not intended to be used in place of a visit, consultation, or advice of a legal, medical, or any other professional.