Wikipedia

Caffeic acid

Also found in: Dictionary, Encyclopedia.
Caffeic acid
2D diagram of caffeic acid
3D ball-and-stick model of caffeic acid
3D space filling model of caffeic acid
Names
IUPAC names
3-(3,4-Dihydroxyphenyl)-2-propenoic acid
3,4-Dihydroxycinnamic acid
trans-Caffeate
3,4-Dihydroxy-trans-cinnamate
(E)-3-(3,4-dihydroxyphenyl)-2-propenoic acid
3,4-Dihydroxybenzeneacrylicacid
3-(3,4-Dihydroxyphenyl)-2-propenoic acid
Preferred IUPAC name
(2E)-3-(3,4-Dihydroxyphenyl)prop-2-enoic acid
Identifiers
3D model (JSmol)
1954563
ChEBI
ChEMBL
ChemSpider
DrugBank
ECHA InfoCard 100.005.784 Edit this at Wikidata
EC Number
  • 206-361-2
IUPHAR/BPS
KEGG
UNII
CompTox Dashboard (EPA)
Properties
C9H8O4
Molar mass 180.16 g/mol
Density 1.478 g/cm3
Melting point 223 to 225 °C (433 to 437 °F; 496 to 498 K)
UV-vis (λmax) 327 nm and a shoulder at c. 295 nm in acidified methanol[1]
Hazards
GHS pictograms GHS07: HarmfulGHS08: Health hazard
GHS Signal word Warning
GHS hazard statements
H315, H319, H335, H351, H361
GHS precautionary statements
P201, P202, P261, P264, P271, P280, P281, P302+352, P304+340, P305+351+338, P308+313, P312, P321, P332+313, P337+313, P362, P403+233, P405, P501
NFPA 704 (fire diamond)
NFPA 704 four-colored diamond
1
1
0
Related compounds
Related compounds
Chlorogenic acid
Cichoric acid
Coumaric acid
Quinic acid
Except where otherwise noted, data are given for materials in their standard state (at 25 °C [77 °F], 100 kPa).

Caffeic acid is an organic compound that is classified as a hydroxycinnamic acid. This yellow solid consists of both phenolic and acrylic functional groups. It is found in all plants because it is a key intermediate in the biosynthesis of lignin, one of the principal components of woody plant biomass and its residues.[2]

Natural occurrences

Caffeic acid can be found in the bark of Eucalyptus globulus[3] the barley grain Hordeum vulgare and the herb Dipsacus asperoides.[4] It can also be found in the freshwater fern Salvinia molesta[5] and in the mushroom Phellinus linteus.[6]

Occurrences in food

Caffeic acid is found at a very modest level in coffee, at 0.03 mg per 100 ml.[7] It is one of the main natural phenols in argan oil.

It is found at a high level in some herbs, especially thyme, sage and spearmint (at about 20 mg per 100 g), at high levels in spices, especially Ceylon cinnamon and star anise (at about 22 mg per 100 g), found at fairly high level in sunflower seeds (8 mg per 100 g), and at modest levels in red wine (1.88 mg per 100 ml) and in apple sauce, apricots and prunes (at about 1 mg per 100 g). It occurs at high levels in black chokeberry (141 mg per 100 g) and in fairly high level in lingonberry (6 mg per 100 g).[7] It is also quite high in the South American herb yerba mate (150 mg per 100 g based on thin layer chromatography densiometry [8] and HPLC [9]).

It is also found in barley grain,[10] and in rye grain.[7]

Metabolism

Biosynthesis

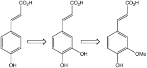
Caffeic acid, which is unrelated to caffeine, is biosynthesized by hydroxylation of coumaroyl ester of quinic acid (esterified through a side chain alcohol). This hydroxylation produces the caffeic acid ester of shikimic acid, which converts to chlorogenic acid. It is the precursor to ferulic acid, coniferyl alcohol, and sinapyl alcohol, all of which are significant building blocks in lignin.[2] The transformation to ferulic acid is catalyzed by the enzyme caffeate O-methyltransferase.

Caffeic acid and its derivative caffeic acid phenethyl ester (CAPE) are produced in many kinds of plants.[11][12][13]

In plants, caffeic acid (middle) is formed from 4-hydroxycinnamic acid (left) and is transformed to ferulic acid.

Dihydroxyphenylalanine ammonia-lyase was presumed to use 3,4-dihydroxy-L-phenylalanine (L-DOPA) to produce trans-caffeate and NH3. However, the EC number for this purported enzyme was deleted in 2007, as no evidence has emerged for its existence.[14]

Biotransformation

Caffeate O-methyltransferase is an enzyme responsible for the transformation of caffeic acid into ferulic acid.

Caffeic acid and related o-diphenols are rapidly oxidized by o-diphenol oxidases in tissue extracts.[15]

Biodegradation

Caffeate 3,4-dioxygenase is an enzyme that uses caffeic acid and oxygen to produce 3-(2-carboxyethenyl)-cis,cis-muconate.

Glycosides

3-O-caffeoylshikimic acid (dactylifric acid) and its isomers, are enzymic browning substrates found in dates (Phoenix dactylifera fruits).[16]

Pharmacology

Caffeic acid has a variety of potential pharmacological effects in in vitro studies and in animal models, and the inhibitory effect of caffeic acid on cancer cell proliferation by an oxidative mechanism in the human HT-1080 fibrosarcoma cell line has recently been established.[17]

Caffeic acid is an antioxidant in vitro and also in vivo.[13] Caffeic acid also shows immunomodulatory and anti-inflammatory activity. Caffeic acid outperformed the other antioxidants, reducing aflatoxin production by more than 95 percent. The studies are the first to show that oxidative stress that would otherwise trigger or enhance Aspergillus flavus aflatoxin production can be stymied by caffeic acid. This opens the door to use as a natural fungicide by supplementing trees with antioxidants.[18]

Studies of the carcinogenicity of caffeic acid have mixed results. Some studies have shown that it inhibits carcinogenesis, and other experiments show carcinogenic effects.[19] Oral administration of high doses of caffeic acid in rats has caused stomach papillomas.[19] In the same study, high doses of combined antioxidants, including caffeic acid, showed a significant decrease in growth of colon tumors in those same rats. No significant effect was noted otherwise. Caffeic acid is listed under some Hazard Data sheets as a potential carcinogen,[20] as has been listed by the International Agency for Research on Cancer as a Group 2B carcinogen ("possibly carcinogenic to humans").[21] More recent data show that bacteria in the rats' guts may alter the formation of metabolites of caffeic acid.[22][23] Other than caffeic acid being a thiamine antagonist (antithiamine factor), there have been no known ill effects of caffeic acid in humans. Also, caffeic acid treatment attenuated lipopolysaccharide (LPS)-induced sickness behaviour in experimental animals by decreasing both peripheral and central cytokine levels along with oxidative stress inflicted by LPS.[24]

Chemistry

Caffeic acid is susceptible to autoxidation.With transition metals,it forms transition metal-carboxylate complexes,but not salts. Glutathione and thiol compounds (cysteine, thioglycolic acid or thiocresol) or ascorbic acid have a protective effect on browning and disappearance of caffeic acid.[25] This browning is due to the conversion of o-diphenols into reactive o-quinones. Chemical oxidation of caffeic acid in acidic conditions using sodium periodate leads to the formation of dimers with a furan structure (isomers of 2,5-(3′,4′-dihydroxyphenyl)tetrahydrofuran 3,4-dicarboxylic acid).[26] Caffeic acid can also be polymerized using the horseradish peroxidase/H2O2 oxidizing system.[27]

Other uses

Caffeic acid may be the active ingredient in caffenol, a do-it-yourself black-and-white photographic developer made from instant coffee.[28] The developing chemistry is similar to that of catechol or pyrogallol.[29]

It is also used as a matrix in MALDI mass spectrometry analyses.[30]

Isomers

Isomers with the same molecular formula and in the hydroxycinammic acids family are:

  • Umbellic acid (2,4-dihydroxycinnamic acid)
  • 2,3-Dihydroxycinnamic acid
  • 2,5-Dihydroxycinnamic acid

References

  1. ^ Gould, Kevin S.; Markham, Kenneth R.; Smith, Richard H.; Goris, Jessica J. (2000). "Functional role of anthocyanins in the leaves of Quintinia serrata A. Cunn". Journal of Experimental Botany. 51 (347): 1107–1115. doi:10.1093/jexbot/51.347.1107. PMID 10948238.
  2. ^ a b Boerjan, Wout; Ralph, John; Baucher, Marie (2003). "Lignin biosynthesis". Annual Review of Plant Biology. 54: 519–546. doi:10.1146/annurev.arplant.54.031902.134938. PMID 14503002.
  3. ^ Santos, Sónia A. O.; Freire, Carmen S. R.; Domingues, M. Rosário M.; Silvestre, Armando J. D.; Pascoal Neto, Carlos (2011). "Characterization of Phenolic Components in Polar Extracts of Eucalyptus globulus Labill. Bark by High-Performance Liquid Chromatography–Mass Spectrometry". Journal of Agricultural and Food Chemistry. 59 (17): 9386–9393. doi:10.1021/jf201801q. PMID 21761864.
  4. ^ Khoo, Cheang S.; Sullivan, Shaun; Kazzem, Magdy; Lamin, Franklin; Singh, Swastika; Nang, Marnilar; Low, Mitchell; Suresh, Harsha; Lee, Samiuela (2014). "The Liquid Chromatographic Determination of Chlorogenic and Caffeic Acids in Xu Duan (Dipsacus asperoides) Raw Herb". International Scholarly Research Notices. Retrieved 2019-01-22.
  5. ^ Choudhary, M. Iqbal; Naheed, Nadra; Abbaskhan, Ahmed; Musharraf, Syed Ghulam; Siddiqui, Hina; Atta-Ur-Rahman (2008). "Phenolic and other constituents of fresh water fern Salvinia molesta". Phytochemistry. 69 (4): 1018–1023. doi:10.1016/j.phytochem.2007.10.028. PMID 18177906.
  6. ^ Lee, Y.-S.; Kang, Y.-H.; Jung, J.-Y.; Lee, Sanghyun; Ohuchi, Kazuo; Shin, Kuk Hyun; Kang, Il-Jun; Park, Jung Han Yoon; Shin, Hyun-Kyung; Soon, Sung (October 2008). "Protein glycation inhibitors from the fruiting body of Phellinus linteus". Biological & Pharmaceutical Bulletin. 31 (10): 1968–1972. doi:10.1248/bpb.31.1968. PMID 18827365.
  7. ^ a b c "Showing all foods in which the polyphenol Caffeic acid is found - Phenol-Explorer". phenol-explorer.eu. Retrieved 4 April 2018.
  8. ^ Bojić, Mirza; Haas, Vicente Simon; Šarić, Darija; Maleš, Željan (4 April 2018). "Determination of Flavonoids, Phenolic Acids, and Xanthines in Mate Tea (Ilex paraguariensis St.-Hil.)". Journal of Analytical Methods in Chemistry. 2013: 658596. doi:10.1155/2013/658596. PMC 3690244. PMID 23841023.
  9. ^ Berté, Kleber A. S. (2011). "Chemical Composition and Antioxidant Activity of Yerba-Mate (Ilex paraguariensis A. St.-Hil., Aquifoliaceae) Extract as Obtained by Spray Drying". Journal of Agricultural and Food Chemistry. 59 (10): 5523–5527. doi:10.1021/jf2008343. PMID 21510640.
  10. ^ Quinde-Axtell, Zory; Baik, Byung-Kee (2006). "Phenolic Compounds of Barley Grain and Their Implication in Food Product Discoloration". J. Agric. Food Chem. 54 (26): 9978–9984. doi:10.1021/jf060974w. PMID 17177530.
  11. ^ "Red Clover Benefits & Information". indigo-herbs.co.uk. Retrieved 4 April 2018.
  12. ^ "Dr. Duke's Phytochemical and Ethnobotanical Databases". Archived from the original on 2000-12-05.
  13. ^ a b Olthof, M. R.; Hollman, P. C.; Katan, M. B. (January 2001). "Chlorogenic acid and caffeic acid are absorbed in humans". J. Nutr. 131 (1): 66–71. doi:10.1093/jn/131.1.66. PMID 11208940.
  14. ^ "EC 4.3.1.11". www.chem.qmul.ac.uk. Archived from the original on 3 March 2016. Retrieved 4 April 2018.
  15. ^ Pierpoint, W. S. (1969). "o-Quinones formed in plant extracts. Their reactions with amino acids and peptides". Biochem. J. 112 (5): 609–616. doi:10.1042/bj1120609. PMC 1187763. PMID 4980678.
  16. ^ Maier, V. P.; Metzler, D. M.; Huber, A. F. (1964). "3-O-Caffeoylshikimic acid (dactylifric acid) and its isomers, a new class of enzymic browning substrates". Biochemical and Biophysical Research Communications. 14 (2): 124–128. doi:10.1016/0006-291x(64)90241-4. PMID 5836492.
  17. ^ Rajendra Prasad, N.; Karthikeyan, A.; Karthikeyan, S.; Reddy, B. V. (Mar 2011). "Inhibitory effect of caffeic acid on cancer cell proliferation by oxidative mechanism in human HT-1080 fibrosarcoma cell line". Mol Cell Biochem. 349 (1–2): 11–19. doi:10.1007/s11010-010-0655-7. PMID 21116690.
  18. ^ "Nuts' New Aflatoxin Fighter: Caffeic Acid?".
  19. ^ a b Hirose, M.; Takesada, Y.; Tanaka, H.; Tamano, S.; Kato, T.; Shirai, T. (1998). "Carcinogenicity of antioxidants BHA, caffeic acid, sesamol, 4-methoxyphenol and catechol at low doses, either alone or in combination, and modulation of their effects in a rat medium-term multi-organ carcinogenesis model" (PDF). Carcinogenesis. 19 (1): 207–212. doi:10.1093/carcin/19.1.207. PMID 9472713.
  20. ^ "Caffeic Acid". IARC Summary & Evaluation. 1993.
  21. ^ "Agents Classified by the IARC Monographs" (PDF). iarc.fr. International Agency for Research on Cancer. Archived from the original (PDF) on 25 October 2011. Retrieved 4 April 2018.
  22. ^ Peppercorn, M. A.; Goldman, P. (1972). "Caffeic acid metabolism by gnotobiotic rats and their intestinal bacteria". Proceedings of the National Academy of Sciences. 69 (6): 1413–1415. doi:10.1073/pnas.69.6.1413. PMC 426714. PMID 4504351.
  23. ^ Gonthier, M.-P.; Verny, M.-A.; Besson, C.; Rémésy, C.; Scalbert, A. (1 June 2003). "Chlorogenic acid bioavailability largely depends on its metabolism by the gut microflora in rats". Journal of Nutrition. 133 (6): 1853–1859. doi:10.1093/jn/133.6.1853. PMID 12771329.
  24. ^ Basu, Mallik S; et al. (3 Sep 2016). "Caffeic acid attenuates lipopolysaccharide-induced sickness behaviour and neuroinflammation in mice". Neuroscience Letters. 632: 218–223. doi:10.1016/j.neulet.2016.08.044. PMID 27597761.
  25. ^ Cilliers, Johannes J. L.; Singleton, Vernon L. (1990). "Caffeic acid autoxidation and the effects of thiols". J. Agric. Food Chem. 38 (9): 1789–1796. doi:10.1021/jf00099a002.
  26. ^ Fulcrand, Hélène; Cheminat, Annie; Brouillard, Raymond; Cheynier, Véronique (1994). "Characterization of compounds obtained by chemical oxidation of caffeic acid in acidic conditions". Phytochemistry. 35 (2): 499–505. doi:10.1016/S0031-9422(00)94790-3.
  27. ^ Xu, Peng; Uyama, Hiroshi; Whitten, James E.; Kobayashi, Shiro; Kaplan, David L. (2005). "Peroxidase-Catalyzed in Situ Polymerization of Surface Orientated Caffeic Acid". J. Am. Chem. Soc. 127 (33): 11745–11753. doi:10.1021/ja051637r. PMID 16104752.
  28. ^ "Caffenol-C-M, recipe". Caffenol blog.
  29. ^ Williams, Scott. "A Use for that Last Cup of Coffee: Film and Paper Development". Technical Photographic Chemistry 1995 Class. Imaging and Photographic Technology Department, School of Photographic Arts and Sciences, Rochester Institute of Technology.
  30. ^ Beavis, R. C.; Chait, B. T. (Dec 1989). "Cinnamic acid derivatives as matrices for ultraviolet laser desorption mass spectrometry of proteins". Rapid Commun. Mass Spectrom. 3 (12): 432–435. doi:10.1002/rcm.1290031207. PMID 2520223.

External links

This article is copied from an article on Wikipedia® - the free encyclopedia created and edited by its online user community. The text was not checked or edited by anyone on our staff. Although the vast majority of Wikipedia® encyclopedia articles provide accurate and timely information, please do not assume the accuracy of any particular article. This article is distributed under the terms of GNU Free Documentation License.

Copyright © 2003-2025 Farlex, Inc Disclaimer
All content on this website, including dictionary, thesaurus, literature, geography, and other reference data is for informational purposes only. This information should not be considered complete, up to date, and is not intended to be used in place of a visit, consultation, or advice of a legal, medical, or any other professional.