Wikipedia

Absolute configuration

Also found in: Dictionary, Medical, Encyclopedia.
Absolute configuration

An absolute configuration refers to the spatial arrangement of the atoms of a chiral molecular entity (or group) and its stereochemical description e.g. R or S,[1] referring to Rectus, or Sinister, respectively.

Absolute configurations for a chiral molecule (in pure form) are most often obtained by X-ray crystallography. All enantiomerically pure chiral molecules crystallise in one of the 65 Sohncke groups (chiral space groups).

Alternative techniques are optical rotatory dispersion, vibrational circular dichroism, ultraviolet-visible spectroscopy, use of chiral shift reagents in proton NMR and Coulomb explosion imaging.[2][3]

When the absolute configuration is obtained the assignment of R or S is based on the Cahn–Ingold–Prelog priority rules.

Absolute configurations are also relevant to characterization of crystals.

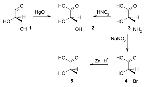
Until 1951 it was not possible to obtain the absolute configuration of chiral compounds.[4] It was at some time decided that (+)-glyceraldehyde was the D-enantiomer. The configuration of other chiral compounds was then related to that of (+)-glyceraldehyde by sequences of chemical reactions. For example, oxidation of (+)-glyceraldehyde (1) with mercury oxide gives (−)-glyceric acid (2), a reaction that does not alter the stereocenter. Thus the absolute configuration of (−)-glyceric acid must be the same as that of (+)-glyceraldehyde. Nitric acid oxidation of (+)-isoserine (3) gives (–)-glyceric acid, establishing that (+)-isoserine also has the same absolute configuration. (+)-Isoserine can be converted by a two-stage process of bromination and zinc reduction to give (–)-lactic acid, therefore (–)-lactic acid also has the same absolute configuration. If a reaction gave the enantiomer of a known configuration, as indicated by the opposite sign of optical rotation, it would indicate that the absolute configuration is inverted.

determination of relationships in absolute configuration

In 1951 Johannes Martin Bijvoet for the first time used in X-ray crystallography the effect of anomalous dispersion, which is now referred to as resonant scattering, to determine absolute configuration.[5] The compound investigated was (+)-sodium rubidium tartrate and from its configuration (R,R) it was deduced that the original guess for (+)-glyceraldehyde was correct.

Conventions

By absolute configuration: R- and S-

Examples of absolute configuration of some carbohydrates and amino acids according to Fischer projection (D/L system) and Cahn–Ingold–Prelog priority rules (R / S system)

The R / S system is an important nomenclature system for denoting enantiomers. This approach labels each chiral center R or S according to a system by which its substituents are each assigned a priority, according to the Cahn–Ingold–Prelog priority rules (CIP), based on atomic number. If the center is oriented so that the lowest-priority of the four is pointed away from a viewer, the viewer will then see two possibilities: If the priority of the remaining three substituents decreases in clockwise direction, it is labeled R (for Rectus, Latin for right), if it decreases in counterclockwise direction, it is S (for Sinister, Latin for left).[6]

(R) (S) is written in italics and parentheses. If there are multiple chiral carbons, e.g. (1R,4S), a number specifies the location of the carbon preceding each configuration.[7]

The R / S system also has no fixed relation to the D/L system. For example, the side-chain one of serine contains a hydroxyl group, -OH. If a thiol group, -SH, were swapped in for it, the D/L labeling would, by its definition, not be affected by the substitution. But this substitution would invert the molecule's R / S labeling, because the CIP priority of CH2OH is lower than that for CO2H but the CIP priority of CH2SH is higher than that for CO2H. For this reason, the D/L system remains in common use in certain areas of biochemistry, such as amino acid and carbohydrate chemistry, because it is convenient to have the same chiral label for the commonly occurring structures of a given type of structure in higher organisms. In the D/L system, they are nearly all consistent—naturally occurring amino acids are all L, while naturally occurring carbohydrates are nearly all D. In the R / S system, they are mostly S, but there are some common exceptions.

By optical rotation: (+)- and (−)- or d- and l-

An enantiomer can be named by the direction in which it rotates the plane of polarized light. Clockwise rotation of the light traveling toward the viewer is labeled (+) enantiomer. Its mirror-image is labeled (−). The (+) and (−) isomers have been also termed d- and l- (for dextrorotatory and levorotatory); But, naming with d- and l- is easy to confuse with D- and L- labeling and is therefore discouraged by IUPAC.[8]

By relative configuration: D- and L-

An optical isomer can be named by the spatial configuration of its atoms. The D/L system (named after Latin dexter and laevus, right and left), not to be confused with the d- and l-system, see above, does this by relating the molecule to glyceraldehyde. Glyceraldehyde is chiral itself, and its two isomers are labeled D and L (typically typeset in small caps in published work). Certain chemical manipulations can be performed on glyceraldehyde without affecting its configuration, and its historical use for this purpose (possibly combined with its convenience as one of the smallest commonly used chiral molecules) has resulted in its use for nomenclature. In this system, compounds are named by analogy to glyceraldehyde, which, in general, produces unambiguous designations, but is easiest to see in the small biomolecules similar to glyceraldehyde. One example is the chiral amino acid alanine, which has two optical isomers, and they are labeled according to which isomer of glyceraldehyde they come from. On the other hand, glycine, the amino acid derived from glyceraldehyde, has no optical activity, as it is not chiral (achiral).

The D/L labeling is unrelated to (+)/(−); it does not indicate which enantiomer is dextrorotatory and which is levorotatory. Rather, it indicates the compound's stereochemistry relative to that of the dextrorotatory or levorotatory enantiomer of glyceraldehyde. The dextrorotatory isomer of glyceraldehyde is, in fact, the D- isomer. Nine of the nineteen L-amino acids commonly found in proteins are dextrorotatory (at a wavelength of 589 nm), and D-fructose is also referred to as levulose because it is levorotatory. A rule of thumb for determining the D/L isomeric form of an amino acid is the "CORN" rule. The groups:

COOH, R, NH2 and H (where R is the side-chain)

are arranged around the chiral center carbon atom. With the hydrogen atom away from the viewer, if the arrangement of the CORN groups around the carbon atom as center is counter-clockwise, then it is the L form.[9] If the arrangement is clockwise, it is the D form. As usual, if the molecule itself is oriented differently, for example, with H towards the viewer, the pattern may be reversed. The L form is the usual one found in natural proteins. For most amino acids, the L form corresponds to an S absolute stereochemistry, but is R instead for certain side-chains.

See also

References

  1. ^ IUPAC, Compendium of Chemical Terminology, 2nd ed. (the "Gold Book") (1997). Online corrected version:  (2006–) "absolute configuration". doi:10.1351/goldbook.A00020
  2. ^ http://www.mpg.de/7634710/coulomb-explosion-method
  3. ^ http://atom.uni-frankfurt.de/research/laser/2_molecules/Stereochemistry/
  4. ^ Organic Chemistry (4th Edition) Paula Y. Bruice
  5. ^ Determination of the Absolute Configuration of Optically Active Compounds by Means of X-Rays Nature 168, 271-272 J. M. BIJVOET, A. F. PEERDEMAN & A. J. van BOMMEL doi:10.1038/168271a0
  6. ^ Andrew Streitwieser & Clayton H. Heathcock (1985). Introduction to Organic Chemistry (3rd ed.). Macmillan Publishing Company.
  7. ^ Klein, David R. (2013-12-31). Organic Chemistry (2nd ed.). Wiley. p. 208. ISBN 978-1118454312.
  8. ^ G.P. Moss: Basic terminology of stereochemistry ( Recommendations 1996); Pure Appl. Chem., 1996, Vol. 68, No. 12, p. 2205; doi:10.1351/pac199668122193
  9. ^ "Nomenclature and Symbolism for Amino Acids and Peptides". Pure Appl Chem. 56 (5): 595–624. 1984. doi:10.1351/pac198456050595.
This article is copied from an article on Wikipedia® - the free encyclopedia created and edited by its online user community. The text was not checked or edited by anyone on our staff. Although the vast majority of Wikipedia® encyclopedia articles provide accurate and timely information, please do not assume the accuracy of any particular article. This article is distributed under the terms of GNU Free Documentation License.

Copyright © 2003-2025 Farlex, Inc Disclaimer
All content on this website, including dictionary, thesaurus, literature, geography, and other reference data is for informational purposes only. This information should not be considered complete, up to date, and is not intended to be used in place of a visit, consultation, or advice of a legal, medical, or any other professional.