Wikipedia

Walden inversion

Montage, using ball-and-stick models, of the three steps in an SN2 reaction. The nucleophile is green, the leaving group is red and the three substituents are orange.
The SN2 reaction causes inversion of stereochemical configuration, known as Walden inversion.

Walden inversion is the inversion of a chiral center in a molecule in a chemical reaction. Since a molecule can form two enantiomers around a chiral center, the Walden inversion converts the configuration of the molecule from one enantiomeric form to the other. For example, in an SN2 reaction, Walden inversion occurs at a tetrahedral carbon atom. It can be visualized by imagining an umbrella turned inside-out in a gale. In the Walden inversion, the backside attack by the nucleophile in an SN2 reaction gives rise to a product whose configuration is opposite to the reactant. Therefore, during SN2 reaction, 100% inversion of product takes place. This is known as Walden inversion.

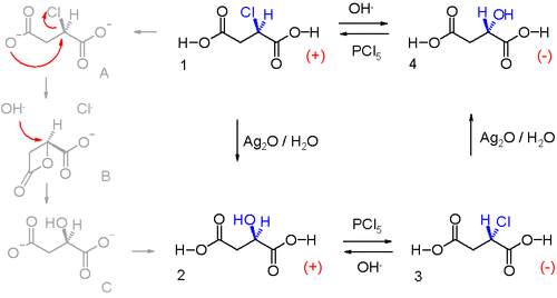
It was first observed by chemist Paul Walden in 1896. He was able to convert one enantiomer of a chemical compound into the other enantiomer and back again in a so-called Walden cycle which went like this: (+) chlorosuccinic acid (1 in scheme 1) was converted to (+) malic acid 2 by action of silver oxide in water with retention of configuration, in the next step the hydroxyl group was replaced by chlorine to the other isomer of chlorosuccinic acid 3 by reaction with phosphorus pentachloride, a second reaction with silver oxide yielded (-) malic acid 4 and finally a second reaction with PCl5 returned the cycle to its starting point.[1]

Walden cycle

In this reaction, the silver oxide in the first step acts as a hydroxide donor while the silver ion plays no role in the reaction. The intermediates are the carboxyl dianion A which gives an intramolecular nucleophilic substitution by the β-carboxylate anion to produce a four-membered β-lactone ring B. The α-carboxyl group is also reactive but in silico data suggests that the transition state for the formation of the three-membered α-lactone is very high. A hydroxyl ion ring-opens the lactone to form the alcohol C and the net effect of two counts of inversion is retention of configuration.[2]

See also

References

  1. ^ P. Walden (1896). "Ueber die gegenseitige Umwandlung optischer Antipoden". Berichte der deutschen chemischen Gesellschaft. 29 (1): 133–138. doi:10.1002/cber.18960290127.
  2. ^ The Walden cycle revisited: a computational study of competitive ring closure to α- and -lactones J. Grant Buchanan, Richard A. Diggle, Giuseppe D. Ruggiero and Ian H. Williams Chemical Communications, 2006, 1106 - 1108 Abstract.
This article is copied from an article on Wikipedia® - the free encyclopedia created and edited by its online user community. The text was not checked or edited by anyone on our staff. Although the vast majority of Wikipedia® encyclopedia articles provide accurate and timely information, please do not assume the accuracy of any particular article. This article is distributed under the terms of GNU Free Documentation License.

Copyright © 2003-2025 Farlex, Inc Disclaimer
All content on this website, including dictionary, thesaurus, literature, geography, and other reference data is for informational purposes only. This information should not be considered complete, up to date, and is not intended to be used in place of a visit, consultation, or advice of a legal, medical, or any other professional.