Wikipedia

Synthetic rubber

Also found in: Dictionary, Medical, Acronyms, Encyclopedia.

A synthetic rubber is any artificial elastomer. They are polymers synthesized from petroleum byproducts. About 32-million metric tons of rubbers are produced annually in the United States, and of that amount two thirds are synthetic. Global revenues generated with synthetic rubbers are likely to rise to approximately US$56 billion in 2020.[1] Synthetic rubber, just like natural rubber, has many uses in the automotive industry for tires, door and window profiles, seals such as O-rings and gaskets, hoses, belts, matting, and flooring. They offer a different range of physical and chemical properties, so can improve the reliability of a given product or application. Synthetic rubbers are superior to natural rubbers in two major respects, thermal stability and resistance to oils and related compounds.[2] They are more resistant to oxidizing agents for example, such as oxygen and ozone which can reduce the life of products like tyres.

History of synthetic rubber

John Boyd Dunlop on a bicycle c. 1915

The expanded use of bicycles, and particularly their pneumatic tires, starting in the 1890s, created increased demand for rubber. In 1909, a team headed by Fritz Hofmann, working at the Bayer laboratory in Elberfeld, Germany, succeeded in polymerizing isoprene, the first synthetic rubber.[3][4]

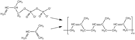
The first rubber polymer synthesized from butadiene was created in 1910 by the Russian scientist Sergei Vasiljevich Lebedev. This form of synthetic rubber, polybutadiene, provided the basis for the first large-scale commercial production by the tsarist empire, which occurred during World War I as a result of shortages of natural rubber. This early form of synthetic rubber was again replaced with natural rubber after the war ended, but investigations of synthetic rubber continued. Russian American Ivan Ostromislensky who moved to New York in 1922 did significant early research on synthetic rubber and a couple of monomers in the early 20th century. Political problems that resulted from great fluctuations in the cost of natural rubber led to the enactment of the Stevenson Act in 1921. This act essentially created a cartel which supported rubber prices by regulating production, but insufficient supply, especially due to wartime shortages, also led to a search for alternative forms of synthetic rubber.

By 1925 the price of natural rubber had increased to the point that many companies were exploring methods of producing synthetic rubber to compete with natural rubber. In the United States, the investigation focused on different materials from those used in Europe, building on the early laboratory work of Fr Julius Nieuwland, a professor of chemistry at the University of Notre Dame, who developed the synthesis of neoprene.

Studies published in 1930 written independently by Lebedev, the American Wallace Carothers and the German scientist Hermann Staudinger led in 1931 to one of the first successful synthetic rubbers, known as neoprene, which was developed at DuPont under the direction of E. K. Bolton. Neoprene is highly resistant to heat and chemicals such as oil and gasoline, and is used in fuel hoses and as an insulating material in machinery. The company Thiokol applied their name to a competing type of rubber based on ethylene dichloride,[5] which was commercially available in 1930.

The first rubber plant in Europe SK-1 (from Russian "Synthetic Kauchuk", Russian: СК-1) was established (Soviet Union) by Sergei Lebedev in Yaroslavl under Joseph Stalin's first five-year plan on July 7, 1932.

In 1935, German chemists synthesized the first of a series of synthetic rubbers known as Buna rubbers. These were copolymers, meaning the polymers were made up from two monomers in alternating sequence. Other brands included Koroseal, which Waldo Semon developed in 1935, and Sovprene, which Russian researchers created in 1940.[6]

World War II

Sheet of synthetic rubber coming off the rolling mill at the plant of Goodrich (1941)
World War II poster about synthetic rubber tires

B. F. Goodrich Company scientist Waldo Semon developed a new and cheaper version of synthetic rubber known as Ameripol in 1940. Ameripol made synthetic rubber production much more cost effective, helping to meet the United States' needs during World War II.

Production of synthetic rubber in the United States expanded greatly during World War II since the Axis powers controlled nearly all the world's limited supplies of natural rubber by mid-1942, following the Japanese conquest of most of Asia (from where much of the global supply of natural rubber was sourced).[7] Military trucks needed rubber for tires and rubber was used in almost every other war machine. The U.S. government launched a major (and largely secret) effort to improve synthetic rubber production. A large team of chemists from many institutions were involved, including Calvin Souther Fuller of Bell Labs. The rubber designated GRS (Government Rubber Styrene), a copolymer of butadiene and styrene, was the basis for U.S. synthetic rubber production during World War II. By 1944, a total of 50 factories were manufacturing it, pouring out a volume of the material twice that of the world's natural rubber production before the beginning of the war. It still represents about half of total world production.

Operation Pointblank bombing targets of Nazi Germany included the Schkopau (50,000 tons/yr) plant and the Hüls synthetic rubber plant near Recklinghausen (30,000, 17%),[8] and the Kölnische Gummifäden Fabrik tire and tube plant at Deutz on the east bank of the Rhine.[9] The Ferrara, Italy, synthetic rubber factory (near a river bridge) was bombed August 23, 1944.[1] Three other synthetic rubber facilities were at Ludwigshafen/Oppau (15,000), Hanover/Limmer (reclamation, 20,000), and Leverkusen (5,000). A synthetic rubber plant at Oświęcim, in Nazi-occupied Poland, was under construction on March 5, 1944[10] operated by IG Farben and supplied with slave labor, by the SS, from the associated camp Auschwitz III (Monowitz).[11][12]

Post-war

Solid-fuel rockets during World War II used nitrocellulose for propellants, but it was impractical and dangerous to make such rockets very large. During the war, California Institute of Technology (Caltech) researchers came up with a new solid fuel based on asphalt mixed with an oxidizer (such as potassium or ammonium perchlorate), and aluminium powder. This new solid fuel burned more slowly and evenly than nitrocellulose, and was much less dangerous to store and use, but it tended to slowly flow out of the rocket in storage and the rockets using it had to be stockpiled nose down.

After the war, Caltech researchers began to investigate the use of synthetic rubbers to replace asphalt in their solid fuel rocket motors. By the mid-1950s, large missiles were being built using solid fuels based on synthetic rubber, mixed with ammonium perchlorate and high proportions of aluminium powder. Such solid fuels could be cast into large, uniform blocks that had no cracks or other defects that would cause non-uniform burning. Ultimately, all large solid-fuel military rockets and missiles would use synthetic-rubber-based solid fuels, and they would also play a significant part in the civilian space effort.

Additional refinements to the process of creating synthetic rubber continued after the war. The chemical synthesis of isoprene accelerated the reduced need for natural rubber, and the peacetime quantity of synthetic rubber exceeded the production of natural rubber by the early 1960s.

Synthetic rubber is used a great deal in printing on textiles, in which case it is called rubber paste. In most cases titanium dioxide is used with copolymerization and volatile matter in producing such synthetic rubber for textile use. Moreover, this kind of preparation can be considered to be the pigment preparation based on titanium dioxide.

By the 1960s, most chewing gum companies had switched from using chicle to butadiene-based synthetic rubber which was cheaper to manufacture.

Natural vs. synthetic rubber

Chemical structure of cis-polyisoprene, the main constituent of natural rubber. Synthetic cis-polyisoprene and natural cis-polyisoprene are derived from different precursors by different chemical pathways.

Natural rubber, coming from latex of Hevea brasiliensis, is mainly poly-cis-isoprene.

Synthetic rubber, like other polymers, is made from various petroleum-based monomers. The most prevalent synthetic rubber is styrene-butadiene rubbers (SBR) derived from the copolymerization of styrene and 1,3-butadiene. Other synthetic rubbers include:

Many variations of these can be prepared with mixtures of monomers and with various catalysts that allow for control of stereochemistry.[13]

Some synthetic rubbers are less sensitive to ozone cracking than NR. Natural rubber is sensitive owing to the double bonds in its chain structure, but some synthetic rubbers do not possess these bonds so are more resistant to ozone cracking. Examples include Viton rubber, EPDM and butyl rubber. Polyisobutylene or butyl rubber is commonly used in tyre inner tubes or linings owing to its resistance to diffusion of air through the lining. It is however, a much less resilient material than cis-polybutadiene which is frequently used in tyre sidewalls to minimize energy losses and hence heat build-up. Indeed, it is so resilient that it is used in super balls. An elastomer widely used for external sheet such as roof coverings is Hypalon or chlorosulphonated polyethylene. A new class of synthetic rubber is the thermoplastic elastomers which can be moulded easily unlike conventional NR vulcanized rubber. Their structure is stabilized by cross-linking by crystallites in the case of polyurethanes or by amorphous domains in the case of SBS block copolymers. Silicone rubber is an inorganic polymer which is resistant to both very low and high temperatures, and is widely used for catheters and other medical equipment or devices. Its tensile strength is low however compared with other synthetic rubbers.

References

  1. ^ Market Study Synthetic Rubber, Ceresana, June 2013
  2. ^ Threadingham, Desmond; Obrecht, Werner; Wieder, Wolfgang (2011). Ullmann's Encyclopedia of Industrial Chemistry. Weinheim: Wiley-VCH. doi:10.1002/14356007.a23_239.pub5.
  3. ^ The Moving Powers of Rubber, Leverkusen, Germany: LANXESS AG: 20
  4. ^ Michalovic, Mark (2000). "Destination Germany: A Poor Substitute". The Story of Rubber.
  5. ^ Edwards, Douglas C. (2001). "Chap. 5 – Liquid Rubber". In Bhowmick, Anil K.; Stephens, Howard (eds.). Handbook of Elastomers, Second Edition (First ed.). Marcel Dekker Inc. p. 135. ISBN 0-8247-0383-9. Retrieved 8 February 2015.
  6. ^ Current Biography 1940, "SEMON, WALDO LONSBURY" pp. 723–724
  7. ^ Gropman, Alan L. (1996). Mobilizing U. S. Industry in World War II. Institute for National Strategic Studies. p. 115. ISBN 0788136461.
  8. ^ Stormont, John W. (March 1946) [summer of 1945], AAFRH-19: The Combined Bomber Offensive; April through December 1943, Dwight D. Eisenhower Presidential Library: Collection of 20th Century Military Records, 1918–1950 Series I: Historical Studies Box 35: AAF Historical Office; Headquarters, Army Air Force, pp. 74–5, 81, SECRET ... Classification Cancelled ... JUN 10 1959
  9. ^ Gurney, Gene (Major, USAF) (1962), The War in the Air: a pictorial history of World War II Air Forces in combat, New York: Bonanza Books, p. 215
  10. ^ Williamson, Charles C. (5 March 1944), Plan for Completion of Combined Bomber Offensive (Appendices C & F), Hughes, R. D.; Cabell, C. P.;Nazarro, J. J.; Bender, F. P.; & Crigglesworth, W. J., Dwight D. Eisenhower Presidential Library: SMITH, WALTER BEDELL: Collection of World War II Documents, 1941–1945; Box No.: 48: HQ, U.S.S.T.A.F, DECLASSIFIED ... 4/24/74
  11. ^ Steinbacher, Sybille (2005). Auschwitz: a history. Translated by Whiteside, Shaun (1st Ecco ed.). New York: Ecco. pp. 45ff. ISBN 978-0060825812.
  12. ^ Herbert, Vernon; Bisio, Attilio (December 11, 1985). Synthetic Rubber: A Project That Had to Succeed. Contributions in Economics and Economic History. Greenwood Press. p. 32ff. ISBN 978-0313246340.
  13. ^ Greve, Heinz-Hermann; Threadingham, Desmond (2000). "Rubber, 1. Survey". Ullmann's Encyclopedia of Industrial Chemistry. Weinheim: Wiley-VCH. doi:10.1002/14356007.a23_221.
This article is copied from an article on Wikipedia® - the free encyclopedia created and edited by its online user community. The text was not checked or edited by anyone on our staff. Although the vast majority of Wikipedia® encyclopedia articles provide accurate and timely information, please do not assume the accuracy of any particular article. This article is distributed under the terms of GNU Free Documentation License.

Copyright © 2003-2025 Farlex, Inc Disclaimer
All content on this website, including dictionary, thesaurus, literature, geography, and other reference data is for informational purposes only. This information should not be considered complete, up to date, and is not intended to be used in place of a visit, consultation, or advice of a legal, medical, or any other professional.