Wikipedia

Stachyose

Also found in: Dictionary, Medical, Encyclopedia.
Stachyose
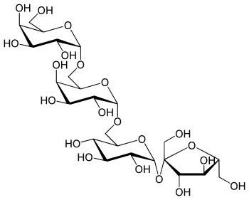
Stachyose.svg
Names
IUPAC name
(2R,3R,4S,5R,6R)-2-[(2S,3S,4S,5R)- 3,4-Dihydroxy-2,5-bis(hydroxymethyl) oxolan-2-yl]oxy-6-[ [(2S,3R,4S,5R,6R)-3,4,5-trihydroxy-6-[ [(2S,3R,4S,5S,6R)-3,4,5-trihydroxy-6- (hydroxymethyl)oxan-2-yl]oxymethyl] oxan-2-yl]oxymethyl]oxane-3,4,5-triol
Other names
β-D-Fructofuranosyl-O-α-D
-galactopyranosyl-(1→6)-O-α-D
-galactopyranosyl-(1→6)-α- D-glucopyranoside
Identifiers
3D model (JSmol)
ChEBI
ChemSpider
ECHA InfoCard 100.006.754 Edit this at Wikidata
EC Number
  • 207-427-3
UNII
CompTox Dashboard (EPA)
Properties
Chemical formula
C24H42O21
Molar mass 666.578 g/mol
Except where otherwise noted, data are given for materials in their standard state (at 25 °C [77 °F], 100 kPa).

Stachyose is a tetrasaccharide consisting of two α-D-galactose units, one α-D-glucose unit, and one β-D-fructose unit sequentially linked as gal(α1→6)gal(α1→6)glc(α1↔2β)fru. Together with related oligosaccharides such as raffinose, Stachyose occurs naturally in numerous vegetables (e.g. green beans, soybeans and other beans) and other plants.

Stachyose is less sweet than sucrose, at about 28% on a weight basis. It is mainly used as a bulk sweetener or for its functional oligosaccharide properties.[1] Stachyose is not completely digestible by humans and delivers 1.5 to 2.4 kcal/g (6 to 10 kJ/g).

References

  1. ^ Nakakuki, T. (2002). "Present status and future of functional oligosaccharide development in Japan" (PDF). Pure and Applied Chemistry. 74 (7): 1245–1251. doi:10.1351/pac200274071245. S2CID 35500606.

External links

This article is copied from an article on Wikipedia® - the free encyclopedia created and edited by its online user community. The text was not checked or edited by anyone on our staff. Although the vast majority of Wikipedia® encyclopedia articles provide accurate and timely information, please do not assume the accuracy of any particular article. This article is distributed under the terms of GNU Free Documentation License.

Copyright © 2003-2025 Farlex, Inc Disclaimer
All content on this website, including dictionary, thesaurus, literature, geography, and other reference data is for informational purposes only. This information should not be considered complete, up to date, and is not intended to be used in place of a visit, consultation, or advice of a legal, medical, or any other professional.