
"the most significant event of the 19th century will be judged as Maxwell's discovery of the laws of electrodynamics"
Scottish inventions and discoveries are objects, processes or techniques either partially or entirely invented, innovated, or discovered by a person born in or descended from Scotland. In some cases, an invention's Scottishness is determined by the fact that it came into existence in Scotland (e.g., animal cloning), by non-Scots working in the country. Often, things that are discovered for the first time are also called "inventions" and in many cases there is no clear line between the two.
The Scots take enormous pride in the history of Scottish invention and discovery. There are many books devoted solely to the subject, as well as scores of websites listing Scottish inventions and discoveries with varying degrees of science.
Even before the Industrial Revolution, Scots have been at the forefront of innovation and discovery across a wide range of spheres. Some of the most significant products of Scottish ingenuity include James Watt's steam engine, improving on that of Thomas Newcomen,[1] the bicycle,[2] macadamisation (not to be confused with tarmac or tarmacadam[3]), Alexander Graham Bell's invention of the first practical telephone,[4] John Logie Baird's invention of television,[5][6] Alexander Fleming's discovery of penicillin[7] and insulin.[8]
The following is a list of inventions, innovations, or discoveries that are known or generally recognised as being Scottish.
Road transport innovations
- Macadamised roads (the basis for, but not specifically, tarmac): John Loudon McAdam (1756–1836)[3]
- The pedal bicycle: Attributed to both Kirkpatrick Macmillan (1813–1878)[2] and Thomas McCall (1834–1904)
- The pneumatic tyre: Robert William Thomson and John Boyd Dunlop (1822–1873)[9]
- The overhead valve engine: David Dunbar Buick (1854–1929)[10]
Civil engineering innovations
- Tubular steel: Sir William Fairbairn (1789–1874)[11]
- The Falkirk wheel: Initial designs by Nicoll Russell Studios, Architects, RMJM and engineers Binnie, Black, and Veatch (Opened 2002)[12][13]
- The patent slip for docking vessels: Thomas Morton (1781–1832)[14][15]
- The Drummond Light: Thomas Drummond (1797–1840)[16]
- Canal design: Thomas Telford (1757–1834)[17]
- Dock design improvements: John Rennie (1761–1821)[18]
- Crane design improvements: James Bremner (1784–1856)[19]
- "Trac Rail Transposer", a machine to lay rail track patented in 2005, used by Network Rail in the United Kingdom and the New York City Subway in the United States.[20][21][22]
Aviation innovations
- Aircraft design: Frank Barnwell (1910) Establishing the fundamentals of aircraft design at the University of Glasgow.[23]
Power innovations
- Condensing steam engine improvements: James Watt (1736–1819)[1]
- Thermodynamic cycle: William John Macquorn Rankine (1820–1872)[24]
- Coal-gas lighting: William Murdoch (1754–1839)[25]
- The Stirling heat engine: Rev. Robert Stirling (1790–1878)[26]
- Carbon brushes for dynamos: George Forbes (1849–1936)[27]
- The Clerk cycle gas engine: Sir Dugald Clerk (1854–1932)[28]
- The wave-powered electricity generator: by South African Engineer Stephen Salter in 1977[29]
- The Pelamis Wave Energy Converter ("red sea snake" wave energy device): Richard Yemm, 1998[30]
Shipbuilding innovations
- Europe's first passenger steamboat: Henry Bell (1767–1830)[31]
- The first iron–hulled steamship: Sir William Fairbairn (1789–1874)[32]
- The first practical screw propeller: Robert Wilson (1803–1882)
- Marine engine innovations: James Howden (1832–1913)[33]
- John Elder and Charles Randolph (Marine Compound expansion engine)[33]
Military innovations
- Lieutenant-General Sir David Henderson two areas:
- Field intelligence. Argued for the establishment of the Intelligence Corps. Wrote Field Intelligence: Its Principles and Practice (1904) and The Art of Reconnaissance (1907) on the tactical intelligence of modern warfare.[34]
- Intelligence: Allan Pinkerton developed the still relevant intelligence techniques of "shadowing" (surveillance) and "assuming a role" (undercover work) in his time as head of the Union Intelligence Service.
Heavy industry innovations
- Coal mining extraction in the sea on an artificial island by Sir George Bruce of Carnock (1575). Regarded as one of the industrial wonders of the late medieval period.[35]
- Making cast steel from wrought iron: David Mushet (1772–1847)[36]
- Wrought iron sash bars for glass houses: John C. Loudon (1783–1865)[37]
- The hot blast oven: James Beaumont Neilson (1792–1865)[38]
- The steam hammer: James Nasmyth (1808–1890)[39]
- Wire rope: Robert Stirling Newall (1812–1889)[40]
- Steam engine improvements: William Mcnaught (1831–1881)[41]
- The Fairlie, a narrow gauge, double-bogie railway engine: Robert Francis Fairlie (1831–1885)[42]
- Cordite - Sir James Dewar, Sir Frederick Abel (1889)[43]
Agricultural innovations
- Threshing machine improvements: James Meikle (c.1690-c.1780) & Andrew Meikle (1719–1811)[44]
- Hollow pipe drainage: Sir Hew Dalrymple, Lord Drummore (1700–1753)[45]
- The Scotch plough: James Anderson of Hermiston (1739–1808)[46]
- Deanstonisation soil-drainage system: James Smith (1789–1850)[47]
- The mechanical reaping machine: Rev. Patrick Bell (1799–1869)[48]
- The Fresno scraper: James Porteous (1848–1922)[49]
- The Tuley tree shelter: Graham Tuley in 1979[50]
Communication innovations
- Telephone: Alexander Graham Bell (1847-1922)
- Print stereotyping: William Ged (1690–1749)[51]
- Roller printing: Thomas Bell (patented 1783)[52]
- The adhesive postage stamp and the postmark: claimed by James Chalmers (1782–1853)[53]
- The Waverley pen nib innovations thereof: Duncan Cameron (1825–1901) The popular "Waverley" was unique in design with a narrow waist and an upturned tip designed to make the ink flow more smoothly on the paper.[54]
- Universal Standard Time: Sir Sandford Fleming (1827–1915)[55]
- Light signalling between ships: Admiral Philip H. Colomb (1831–1899)[56]
- The underlying principles of radio: James Clerk Maxwell (1831–1879)[57]
- The Kinetoscope, a motion picture camera: devised in 1889 by William Kennedy Dickson (1860-1935)[58]
- The teleprinter: Frederick G. Creed (1871–1957)[59]
- The British Broadcasting Corporation (BBC): John Reith, 1st Baron Reith (1922) its founder, first general manager and director-general of the British Broadcasting Corporation[60]
- RADAR: A significant contribution made by Robert Watson-Watt (1892–1973) alongside Englishman Henry Tizard (1885-1959) and others[61]
- The automated teller machine and Personal Identification Number system: James Goodfellow (born 1937)[62]
Publishing firsts
- The first edition of the Encyclopedia Britannica (1768–81)[63]
- The first English textbook on surgery (1597)[64]
- The first modern pharmacopaedia, William Cullen (1776). The book became 'Europe's principal text on the classification and treatment of disease'. His ideas survive in the terms nervous energy and neuroses (a word that Cullen coined).[65]
- The first postcards and picture postcards in the UK[66]
- The educational foundation of Ophthalmology: Stewart Duke-Elder in his ground breaking work including ‘Textbook of Ophthalmology and fifteen volumes of System of Ophthalmology’[67]
Culture and the arts
- Scottish National Portrait Gallery, designed by Sir Robert Rowand Anderson (1889): the world's first purpose-built portrait gallery.[68]
Scientific innovations
- Logarithms: John Napier (1550–1617)[69]
- Modern Economics founded by Adam Smith (1776) 'The father of modern economics'[70] with the publication of The Wealth of Nations.[71][72]
- Modern Sociology: Adam Ferguson (1767) ‘The Father of Modern Sociology’ with his work An Essay on the History of Civil Society[73]
- Hypnotism: James Braid (1795–1860) the Father of Hypnotherapy[74]
- Tropical medicine: Sir Patrick Manson known as the father of Tropical Medicine[75]
- Modern Geology: James Hutton ‘The Founder of Modern Geology’[76][77][78]
- The theory of Uniformitarianism: James Hutton (1788): a fundamental principle of Geology the features of the geologic time takes millions of years.[79]
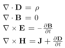
- The theory of electromagnetism: James Clerk Maxwell (1831–1879)[80]
- The discovery of the Composition of Saturn's Rings James Clerk Maxwell (1859): determined the rings of Saturn were composed of numerous small particles, all independently orbiting the planet. At the time it was generally thought the rings were solid. The Maxwell Ringlet and Maxwell Gap were named in his honor.[81]
- The Maxwell–Boltzmann distribution by James Clerk Maxwell (1860): the basis of the kinetic theory of gases, that speeds of molecules in a gas will change at different temperatures. The original theory first hypothesised by Maxwell and confirmed later in conjunction with Ludwig Boltzmann.[82]
- Popularising the decimal point: John Napier (1550–1617)[83]
- The first theory of the Higgs boson by English born [84] Peter Higgs particle-physics theorist at the University of Edinburgh (1964)[85]
- The Gregorian telescope: James Gregory (1638–1675)[86]
- The discovery of Proxima Centauri, the closest known star to the Sun, by Robert Innes (1861–1933)[87]
- One of the earliest measurements of distance to the Alpha Centauri star system, the closest such system outside of the Solar System, by Thomas Henderson (1798–1844)[88]
- The discovery of Centaurus A, a well-known starburst galaxy in the constellation of Centaurus, by James Dunlop (1793–1848)[89]
- The discovery of the Horsehead Nebula in the constellation of Orion, by Williamina Fleming (1857–1911)[90]
- The world's first oil refinery and a process of extracting paraffin from coal laying the foundations for the modern oil industry: James Young (1811–1883)[91]
- The identification of the minerals yttrialite, thorogummite, aguilarite and nivenite: by William Niven (1889)[92]
- The concept of latent heat by French-born Joseph Black (1728–1799)[93]
- Discovering the properties of Carbon dioxide by French-born Joseph Black (1728–1799)
- The concept of Heat capacity by French-born Joseph Black (1728–1799)
- The pyroscope, atmometer and aethrioscope scientific instruments: Sir John Leslie (1766–1832)[94]
- Identifying the nucleus in living cells: Robert Brown (1773–1858)[95]
- An early form of the Incandescent light bulb: James Bowman Lindsay (1799-1862)[96]
- Colloid chemistry: Thomas Graham (1805–1869)[97]
- The kelvin SI unit of temperature by Irishman William Thomson, Lord Kelvin (1824–1907)[98]
- Devising the diagramatic system of representing chemical bonds: Alexander Crum Brown (1838–1922)[99]
- Criminal fingerprinting: Henry Faulds (1843–1930)[100]
- The noble gases: Sir William Ramsay (1852–1916)[101]
- The cloud chamber recording of atoms: Charles Thomson Rees Wilson (1869–1959)[102][103]
- The discovery of the Wave of Translation, leading to the modern general theory of solitons by John Scott Russell (1808-1882)[104]
- Statistical graphics: William Playfair founder of the first statistical line charts, bar charts, and pie charts in (1786) and (1801) known as a scientific ‘milestone’ in statistical graphs and data visualization[105][106]
- The Arithmetic mean density of the Earth: Nevil Maskelyne conducted the Schiehallion experiment conducted at the Scottish mountain of Schiehallion, Perthshire 1774[107]
- The first isolation of methylated sugars, trimethyl and tetramethyl glucose: James Irvine[108][109]
- Discovery of the Japp–Klingemann reaction: to synthesize hydrazones from β-keto-acids (or β-keto-esters) and aryl diazonium salts 1887[110]
- Pioneering work on nutrition and poverty: John Boyd Orr (1880–1971)[111]
- Ferrocene synthetic substances: Peter Ludwig Pauson in 1955[112]
- The first cloned mammal (Dolly the Sheep): Was conducted in The Roslin Institute research centre in 1996 by English scientists Ian Wilmut (born 1944) and Keith Campbell (1954–2012).[113]
- The seismometer innovations thereof: James David Forbes[114]
- Metaflex fabric innovations thereof: University of St. Andrews (2010) application of the first manufacturing fabrics that manipulate light in bending it around a subject. Before this such light manipulating atoms were fixed on flat hard surfaces. The team at St Andrews are the first to develop the concept to fabric.[115]
- Tractor beam innovations thereof: St. Andrews University (2013) the world's first to succeed in creating a functioning Tractor beam that pulls objects on a microscopic level[116][117]
- Macaulayite: Dr. Jeff Wilson of the Macaulay Institute, Aberdeen.[118]
- Discovery of Catacol whitebeam by Scottish Natural Heritage and the Royal Botanic Garden Edinburgh (1990s): a rare tree endemic and unique to the Isle of Arran in south west Scotland. The trees were confirmed as a distinct species by DNA testing.[119]
The first positive displacement liquid flowmeter, the reciprocating piston meter by Thomas Kennedy Snr.[120]
Sports innovations
Scots have been instrumental in the invention and early development of several sports:
- Australian rules football Scots were prominent with many innovations in the early evolution of the game, including the establishment of the Essendon Football Club by the McCracken family from Ayrshire[121][122][123]
- several modern athletics events, i.e. shot put[124] and the hammer throw,[124] derive from Highland Games and earlier 12th century Scotland[124]
- Curling[125]
- Gaelic handball The modern game of handball is first recorded in Scotland in 1427, when King James I, an ardent handball player, had his men block up a cellar window in his palace courtyard that was interfering with his game.[126]
- Cycling, invention of the pedal-cycle[127]
- Golf (see Golf in Scotland)
- 1848: Association football's Glasgow rules (largely the sport's rules as we know them today) established at University of Glasgow.[128]
- Ice Hockey, invented by the Scots regiments in Atlantic Canada by playing Shinty on frozen lakes.
- Shinty The history of Shinty as a non-standardised sport pre-dates Scotland the Nation. The rules were standardised in the 19th century by Archibald Chisholm[129]
- Rugby sevens: Ned Haig and David Sanderson (1883)[130]
- The Dugout was invented by Aberdeen FC Coach Donald Colman in the 1920s
- The world's first Robot Olympics which took place in Glasgow in 1990.
Medical innovations
- Pioneering the use of surgical anaesthesia with Chloroform: Firstly in 1842 by Robert Mortimer Glover then extended for use on humans by Sir James Young Simpson (1811–1870)[131] Initial use of chloroform in dentistry by Francis Brodie Imlach
- The Saline drip by Dr Thomas Latta of Leith in 1831/32
- The hypodermic syringe: Alexander Wood (1817–1884)[132]
- Transplant rejection: Professor Thomas Gibson (1940s) the first medical doctor to understand the relationship between donor graft tissue and host tissue rejection and tissue transplantation by his work on aviation burns victims during World War II.[133]
- First diagnostic applications of an ultrasound scanner: Ian Donald (1910–1987)[134]
- Independent discovery of inoculation for smallpox: Johnnie Notions (c. 1730 – c. 1803)[135]
- Discovery of hypnotism (November 1841): James Braid (1795–1860)[136]
- Identifying the mosquito as the carrier of malaria: Sir Ronald Ross (1857–1932)[137]
- Identifying the cause of brucellosis: Sir David Bruce (1855–1931)[138]
- Discovering the vaccine for typhoid fever: Sir William B. Leishman (1865–1926)[139]
- Discovery of Staphylococcus: Sir Alexander Ogston (1880)[140]
- Discovering the Human papillomavirus vaccine Ian Frazer (2006): the second cancer preventing vaccine, and the world's first vaccine designed to prevent a cancer[141]
- Discovering insulin: John J R Macleod (1876–1935) with others[8] The discovery led him to be awarded the 1923 Nobel prize in Medicine.[142]
- Penicillin: Sir Alexander Fleming (1881–1955)[7]
- General anaesthetic - Pioneered by Scotsman James Young Simpson and Englishman John Snow[143]
- The establishment of standardized Ophthalmology University College London: Stewart Duke-Elder a pioneering Ophthalmologist[67]
- The first hospital Radiation therapy unit John Macintyre (1902): to assist in the diagnosis and treatment of injuries and illness at Glasgow Royal Infirmary[144]
- Pioneering of X-ray cinematography by John Macintyre (1896): the first moving real time X-ray image and the first KUB X-ray diagnostic image of a kidney stone in situ[144][145][146]
- The Haldane effect a property of hemoglobin first described by John Scott Haldane (1907)[147]
- Oxygen Therapy John Scott Haldane (1922): with the publication of ‘The Theraputic Administration of Oxygen Therapy’ beginning the modern era of Oxygen therapy[148]
- Ambulight PDT: light-emitting sticking plaster used in photodynamic therapy (PDT) for treating non-melanoma skin cancer. Developed by Ambicare Dundee's Ninewells Hospital and St Andrews University. (2010)[149]
- Discovering an effective tuberculosis treatment: Sir John Crofton in the 1950s[150]
- Primary creator of the artificial kidney (Professor Kenneth Lowe - Later Queen's physician in Scotland)[151]
- Developing the first beta-blocker drugs: Sir James W. Black in 1964[152] The discovery revolutionized the medical management of angina[153] and is considered to be one of the most important contributions to clinical medicine and pharmacology of the 20th century.[154] In 1988 he was awarded the Nobel Prize in Medicine.
- Developing modern asthma therapy based both on bronchodilation (salbutamol) and anti-inflammatory steroids (beclomethasone dipropionate) : Sir David Jack in 1972
- Glasgow coma scale: Graham Teasdale and Bryan J. Jennett (1974)[155]
- Glasgow Outcome Scale Bryan J. Jennett & Sir Michael Bond (1975): is a scale so that patients with brain injuries, such as cerebral traumas[156]
- Discovering & Developing anesthetic drug Propofol Dr. John B. Glen (1977): a globally-used surgical anesthetic common in general surgery cases. In 2018 Dr. Glen received a Lasker Award.[157]
- Glasgow Anxiety Scale J.Mindham and C.A Espie (2003)[158]
- Glasgow Depression Scale Fiona Cuthill (2003): the first accurate self-report scale to measure the levels of depression in people with learning disabilities[159]
- ECG [Electrocardiography]: Alexander Muirhead. First recording of a human ECG (1869)[160][161]
- The first Decompression tables John Scott Haldane (1908): to calculate the safe return of deep-sea divers to surface atmospheric pressure[162]
- Surface Enhanced Raman Scattering (SERS): Strathclyde University (2014) A laser and nanoparticle test to detect Meningitis or multiple pathogenic agents at the same time.[163]
Household innovations
- The television: John Logie Baird (1923)
- The refrigerator: William Cullen (1748)[164]
- The first electric bread toaster: Alan MacMasters (1893)
- The flush toilet: Alexander Cumming (1775)[165]
- The vacuum flask: Sir James Dewar (1847–1932)[166]
- The first distiller to triple distill Irish whiskey:[167]John Jameson (Whisky distiller)
- The piano footpedal: John Broadwood (1732–1812)[168]
- The first automated can-filling machine John West (1809–1888)[169]
- The waterproof macintosh: Charles Macintosh (1766–1843)[170]
- The kaleidoscope: Sir David Brewster (1781–1868)[171]
- Keiller's marmalade Janet Keiller (1797) - The first recipe of rind suspended marmalade or Dundee marmalade produced in Dundee.
- The modern lawnmower: Alexander Shanks (1801–1845)[172]
- The Lucifer friction match: Sir Isaac Holden (1807–1897)[173]
- The self filling pen: Robert Thomson (1822–1873)[174]
- Cotton-reel thread: J & J Clark of Paisley[175]
- Lime cordial: Lauchlan Rose in 1867
- Bovril beef extract: John Lawson Johnston in 1874[176]
- The electric clock: Alexander Bain (1840)[177]
- Chemical Telegraph (Automatic Telegraphy) Alexander Bain (1846) In England Bain's telegraph was used on the wires of the Electric Telegraph Company to a limited extent, and in 1850 it was used in America.[178]
- Barr's Irn-Bru, soft drink produced by Barr's in Cumbernauld Scotland and exported all around the world. The drink is so widely popular in Scotland that it outsells both American colas Coca-Cola and Pepsi and ranks 3rd most popular drink in the UK with Coca-Cola and Pepsi taking the first two spots.[179]
Weapons innovations
- The carronade cannon: Robert Melville (1723–1809)[180]
- The Ferguson rifle: Patrick Ferguson in 1770 or 1776[181]
- The Lee bolt system as used in the Lee–Metford and Lee–Enfield series rifles: James Paris Lee[182]
- The Ghillie suit[183]
- The percussion cap: invented by Scottish Presbyterian clergyman Alexander Forsyth[184]
Miscellaneous innovations
- Boys' Brigade[185]
- Bank of England devised by William Paterson
- Grand Theft Auto: Developed by Scottish game developers DMA Design (later known as Rockstar North)
- Bank of France devised by John Law
- The industrialisation and modernisation of Japan by Thomas Blake Glover[186]
- Colour photography: the first known permanent colour photograph was taken by James Clerk Maxwell (1831–1879)[187]
- Buick Motor Company by David Dunbar Buick[188]
- New York Herald newspaper by James Gordon Bennett, Sr.[188]
- Pinkerton National Detective Agency by Allan Pinkerton[188]
- Forbes magazine by B. C. Forbes[188]
- The establishment of a standardized botanical institute: Isaac Bayley Balfour major reform, development of botanical science, the concept of garden infrastructure therein improving scientific facilities[189]
- London School of Hygiene & Tropical Medicine: founded by Sir Patrick Manson in 1899[75]
See also
- List of British innovations and discoveries
- List of domesticated Scottish breeds
- Homecoming Scotland 2009
References
- ^ a b "BBC - History - James Watt". Retrieved 2008-12-31.
- ^ a b "BBC - History - Kirkpatrick Macmillan". Retrieved 2008-12-31.
- ^ a b "Encyclopædia Britannica: John Loudon Mcadam (British inventor)". Retrieved 2010-06-13.
- ^ "Scottish Science Hall of Fame - Alexander Graham Bell (1847-1922)". Archived from the original on 2010-10-11. Retrieved 2010-02-20.
- ^ "BBC - History - John Logie Baird". Retrieved 2008-12-31.
- ^ The World's First High Definition Colour Television System. and McLean, p. 196.
- ^ a b "Nobelprize.org: Sir Alexander Fleming - Biography". Retrieved 2008-12-31.
- ^ a b "Nobelprize.org: John Macleod - Biography". Retrieved 2008-12-31.
- ^ "Robert William Thomson, Scotland's forgotten inventor". Retrieved 2010-06-13.
- ^ Pelfrey, William (2006). Billy, Alfred, and General Motors: The Story of Two Unique Men, a Legendary Company, and a Remarkable Time in American History. AMACOM. ISBN 978-0-8144-2961-7.
- ^ "Gazetteer for Scotland: Overview of Sir William Fairbairn". Retrieved 2010-06-14.
- ^ "Falkirk Wheel & Visitor Centre". Retrieved 2015-11-30.
- ^ "SKF Evolution online". Archived from the original on 2010-11-20. Retrieved 2010-06-13.
- ^ "Clydesite Magazine: The Real Inventor of the Patent Slip". Archived from the original on 2006-05-09. Retrieved 2010-06-13.
- ^ The Edinburgh Philosophical Journal, Volume 2 Printed for Archibald Constable, 1820
- ^ "The Gazetteer for Scotland: Overview of Thomas Drummond". Retrieved 2010-06-14.
- ^ The life of Thomas Telford, Civil Engineer: With an introductory history of roads and travelling in Great Britain J. Murray, 1867
- ^ John Rennie 1761–1821 Manchester University Press ND
- ^ The industrial archaeology of Scotland, Volume 2 Macmillan of Canada, 1977 - Social Science
- ^ "Ayrshire brothers' invention to transform America's railways". BBC. 6 June 2016. Retrieved 7 June 2016.
- ^ "Laying lines". Railway Strategies (103). 6 January 2014. Retrieved 7 June 2016.
- ^ "US Patent Application No: 2008/0072,783 - Railway Rail Handling Apparatus and Method". PatentBuddy. Retrieved 7 June 2016.
- ^ "University of Glasgow :: World Changing:: Establishing fundamental principles in aircraft design". www.worldchanging.glasgow.ac.uk. Retrieved 2018-11-14.
- ^ "William John Macquorn Rankine". Retrieved 2014-01-13.
- ^ "William Murdoch - The Scot Who Lit The World". Retrieved 2010-06-14.
- ^ "Electric Scotland: Significant Scots - Robert Stirling". Retrieved 2010-06-14.
- ^ "The Gazetteer for Scotland: Overview of Prof. George Forbes". Retrieved 2010-06-14.
- ^ "Encyclopædia Britannica: Sir Dugald Clerk". Retrieved 2010-06-14.
- ^ "How Stuff Works: Could Salter's Duck have solved the oil crisis?". Retrieved 2010-06-14.
- ^ "Pelamis founder honoured for key role in marine energy". The Scottish Government. 28 March 2012. Retrieved 2012-03-29.
- ^ "Significant Scots: Henry Bell". Retrieved 2010-06-15.
- ^ "The Gazetteer for Scotland: Overview of Sir William Fairbairn". Retrieved 2010-06-16.
- ^ a b The Dynamics of Victorian Business: Problems And Perspectives to the 1870s By Roy Church
- ^ "Establishing the Royal Air Force". World Changing. University of Glasgow.
- ^ The Edinburgh History of Scottish Literature: From Columba to the Union (Until 10707). By Ian Brown
- ^ "Electric Scotland: Significant Scots - David Mushet". Retrieved 2010-06-17.
- ^ Houses of glass: a nineteenth-century building type By Georg Kohlmaier, Barna von Sartory, John C. Harvey
- ^ Dictionary of energy By Cutler J. Cleveland, Chris Morris
- ^ Materials processing defects By Swadhin Kumar Ghosh, M. Predeleanu
- ^ Iron: An illustrated weekly journal for iron and steel .., Volume 63 by Sholto Percy
- ^ Repertory of patent inventions and other discoveries and improvements in arts, manufactures and agriculture MacIntosh 1846
- ^ American narrow gauge railroads By George Woodman Hilton
- ^ Nature: international journal of science 1917 MacMillan
- ^ Annual report of the Indiana State Board of Agriculture, Volume 2 By Indiana. State Board of Agriculture, Indiana. Geological Survey
- ^ Great Scots By Betty Kirkpatrick
- ^ The English cyclopædia: a new dictionary of universal knowledge, Volume 1 edited by Charles Knight
- ^ The new American cyclopaedia: a popular dictionary of general knowledge
- ^ Journal of the Society of Arts, Volume 6 By Society of Arts (Great Britain)
- ^ "The Fresno Scraper - American Society of Mechanical Engineers" (PDF). Archived from the original (PDF) on 2011-02-09. Retrieved 2010-11-12.
- ^ The complete guide to trees of Britain and Northern Europe Alan F. Mitchell, David More
- ^ "William Ged (Scottish goldsmith)". Retrieved 2010-06-13.
- ^ "roller printing (textile industry)". Retrieved 2010-06-13.
- ^ "Arbroath & District Stamp & Postcard Club". Archived from the original on 2010-08-06. Retrieved 2010-06-19.
- ^ "MacNiven and Cameron". www.gracesguide.co.uk. Retrieved 2018-11-14.
- ^ Communication and empire: media, markets, and globalization, 1860–1930 by Dwayne Roy Winseck, Robert M. Pike
- ^ Military communications: from ancient times to the 21st century By Christopher H. Sterling
- ^ Radiolocation in Ubiquitous Wireless Communication by Danko Antolovic
- ^ "it was his Scottish protégé, William Dickson, who... ", The Scotsman, 23 March 2002
- ^ The worldwide history of telecommunications by Anton A. Huurdeman
- ^ "John Reith". History of the BBC. Retrieved 18 July 2019.
- ^ "Radar Personalities: Sir Robert Watson-Watt". Retrieved 2008-12-31.
- ^ "Who Invented the ATM? The James Goodfellow Story". Archived from the original on 2011-07-28. Retrieved 2011-08-26.
- ^ Encyclopaedic visions: scientific dictionaries and enlightenment culture By Natasha J. Yeo
- ^ The Early history of surgery William John Bishop - 1995
- ^ Twenty Medical Classics of the Jefferson Era http://www.hsl.virginia.edu/historical/rare_books/classics/#Cullen
- ^ Picture Postcards By C W Hill
- ^ a b Lyle, T. K.; Miller, S.; Ashton, N. H. (1980). "William Stewart Duke-Elder. 22 April 1898-27 March 1978". Biographical Memoirs of Fellows of the Royal Society. 26: 85. doi:10.1098/rsbm.1980.0003.
- ^ "Scottish National Portrait Gallery | National Galleries of Scotland". www.nationalgalleries.org. Retrieved 2018-11-14.
- ^ Ernest William Hobson. John Napier and the invention of logarithms, 1614. The University Press, 1914.
- ^ Davis, William L; Figgins, Bob; Hedengren, David; Klein, Daniel B. "Economic Professors' Favorite Economic Thinkers, Journals, and Blogs". Econ Journal Watch. 8 (2): 126–146.
- ^ M Skousen (2007). The Big Three in Economics: Adam Smith, Karl Marx, And John Maynard Keynes p3,5,6.
- ^ E. K. Hunt (2002). History of Economic Thought: A Critical Perspective, p.3. ISBN 0-7656-0606-2
- ^ Willcox, William Bradford; Arnstein, Walter L. (1966). The Age of Aristocracy, 1688 to 1830. Volume III of A History of England, edited by Lacey Baldwin Smith (Sixth Edition, 1992 ed.). Lexington, Massachusetts. p. 133. ISBN 0-669-24459-7.
- ^ The Discovery of Hypnosis- The Complete Writings of James Braid, the Father of Hypnotherapy James Braid, Donald Robertson (ed.) 2009
- ^ a b Manson-Bahr, Patrick (1962). Patrick Manson. The Father of Tropical Medicine. Thomas Nelson
- ^ James Hutton ‘The Founder of Modern Geology’ D. B. McIntyre, Alan McKirdy 2001, National Museums of Scotland Pub. Ltd. p45
- ^ American Museum of Natural History (2000). "James Hutton: The Founder of Modern Geology". Earth: Inside and Out. Archived from the original on 2016-03-03.
The result, therefore, of this physical enquiry," Hutton concluded, "is that we find no vestige of a beginning, no prospect of an end.
- ^ Kenneth L. Taylor (September 2006). "Ages in Chaos: James Hutton and the Discovery of Deep Time". The Historian (abstract) (Book review of Stephen Baxter, ISBN 0-7653-1238-7).
- ^ Historical Geology, 7th ed.: Evolution of Earth and Life Through Time. By Reed Wicander, James Stewart Monroe 2012 Cengage Learning, p67
- ^ "James Clerk Maxwell | Biography & Facts". Encyclopedia Britannica. Retrieved 2018-11-14.
- ^ "James Clerk Maxwell on the nature of Saturn's rings". www-history.mcs.st-andrews.ac.uk. Retrieved 2018-11-14.
- ^ Maxwell, J.C. (1860) Illustrations of the dynamical theory of gases. Philosophical Magazine 19, 19-32 and Philosophical Magazine 20, 21-37.
- ^ Memoirs of John Napier of Merchiston: his lineage, life, and times by Mark Napier
- ^ Macdonald, Kenneth (2013-04-10). "Behind the scenes at the Universe". BBC News. Retrieved 2018-11-14.
- ^ Peter Higgs and the Higgs Boson | School of Physics and Astronomy
- ^ Popular Astronomy By Simon Newcomb
- ^ Davidson, M. (1933). "Anzeige des Todes von Robert Thorburn Ayton Innes". Astronomische Nachrichten. 249 (2–3): 51–52. Bibcode:1933AN....249...51D. doi:10.1002/asna.19332490203.
- ^ "Thomas Henderson | Scottish astronomer". Encyclopedia Britannica. Retrieved 2018-11-14.
- ^ "Archived copy". Archived from the original on 2013-01-01. Retrieved 2013-06-08.
- ^ Kass-Simon, Gabriele; Farnes, Patricia; Nash, Deborah (1993). Women of Science: Righting the Record. Indiana University Press. p. 92. ISBN 978-0253208132.
- ^ "Founder of the modern oil industry to be honoured". BBC News. 2011-11-08.
- ^ Wicks, Robert S. and Harrison, Roland H. (1999). Buried Cities, Forgotten Gods: William Niven's Life of Discovery and Revolution in Mexico and the American Southwest, Texas Tech University Press. ISBN 0-89672-414-X
- ^ Logic, language, information and computation: 15th international workshop, WoLLIC 2008, Edinburgh, UK, July 1–4, 2008
- ^ Chambers's encyclopaedia: a dictionary of universal knowledge for the people Appleton 1864
- ^ Biology: Concepts and Applications Without Physiology By Cecie Starr, Christine A. Evers, Lisa Starr
- ^ Challoner, Jack et al. "1001 Inventions That Changed The World" Barrons Educational Series, Hauppauge NY, 2009.
- ^ Colloid chemistry Robert James Hartman, Herman Thompson Briscoe Houghton Mifflin Co., 1947
- ^ Chemistry and chemical reactivity, Volume 2 By John C. Kotz, Paul Treichel, John Raymond Townsend
- ^ Scottish pride: 101 reasons to be proud of your Scottish heritage Heather Duncan
- ^ Criminalistics: Forensic Science and Crime By James Girard
- ^ Noble Gases By Jens Thomas
- ^ "Nobelprize.org: C.T.R. Wilson Biography". Retrieved 2010-06-15.
- ^ The world of the atom Henry Abraham Boorse, Lloyd Motz Basic Books, inc., 1966
- ^ Heriot Watt University
- ^ Spence, Ian (2005). "No Humble Pie: The Origins and Usage of a statistical Chart" (PDF). Journal of Educational and Behavioral Statistics. 30 (4): 353–368. doi:10.3102/10769986030004353.
- ^ Michael Friendly (2008). "Milestones in the history of thematic cartography, statistical graphics, and data visualization". pp 13-14. Retrieved 7 July 2008.
- ^ Maskelyne, N. (1772). "A proposal for measuring the attraction of some hill in this Kingdom". Philosophical Transactions of the Royal Society 65: 495–499. Bibcode:1775RSPT...65..495M
- ^ Hirst, E. L. (1953). "James Colquhoun Irvine, 1877-1952". Advances in Carbohydrate Chemistry. 8: xi–xvii. doi:10.1016/S0096-5332(08)60096-X. ISBN 9780120072088. PMID 13138381.
- ^ Read, J (1952). "Sir James Irvine, K.B.E., F.R.S". Nature. 170 (4314): 13–14. Bibcode:1952Natur.170...13R. doi:10.1038/170013a0. PMID 14957005.
- ^ Robert Japp, Francis; Klingemann, Felix (1887). "Ueber Benzolazo- und Benzolhydrazofettsäuren". Berichte der Deutschen Chemischen Gesellschaft. 20 (2): 2942–2944. doi:10.1002/cber.188702002165.
- ^ Encyclopædia Britannica: Lord Boyd Orr Archived 2011-09-14 at Wikiwix
- ^ Journal of the Chemical Society Chemical Society (Great Britain), Bureau of Chemical Abstracts (Great Britain) The Society, 1920
- ^ From Sea Urchins to Dolly the Sheep: Discovering Cloning Sally Morgan Heinemann/Raintree, 2007
- ^ Transactions of the Royal Scottish Society of Arts Royal Scottish Society of Arts Neill & Co., 1883
- ^ Scientists reveal material for 'invisibility cloak' | Scotland | News | STV Archived 2010-11-10 at the Wayback Machine
- ^ "Star-Trek style tractor beam created by scientists". 25 January 2013.
- ^ Brzobohatý, O.; Karásek, V.; Šiler, M.; Chvátal, L.; Čižmár, T.; Zemánek, P. (2013-01-20). "Experimental demonstration of optical transport, sorting and self-arrangement using a 'tractor beam'". Nature Photonics. 7 (2): 123–127. doi:10.1038/nphoton.2012.332. ISSN 1749-4885.
- ^ A Handbook of determinative methods in clay mineralogy Michael Jeffrey Wilson, Michael John Wilson Blackie, 1987
- ^ "Trees on Arran 'are a whole new species'". Retrieved 2018-11-14.
- ^ "Glenfield Valves Limited". www.glenfield.co.uk. Retrieved 2018-11-14.
- ^ "Australian Rules Football. History And Origins". www.collegesportsscholarships.com. Retrieved 2018-11-14.
- ^ "Blueseum - History of the Carlton Football Club | Theophilis S. Marshall". Blueseum - History of the Carlton Football Club. Retrieved 2018-11-14.
- ^ http://www.geelongcollege.vic.edu.au/the-college/news/item/in-search-of-the-blue-and-white
- ^ a b c Encyclopedia of sports science John Zumerchik Macmillan Library Reference USA, 1997
- ^ Curling: the ancient Scottish game, James Taylor, W. Paterson, 1887 - Sports & Recreation
- ^ Sports and games of the 18th and 19th centuries Greenwood Publishing Group, 2003 p84
- ^ The Wheelmen Wheelmen (Organization) 2000
- ^ Encyclopedia of British Football by Richard Cox et al., Routledge, 2002 page 5
- ^ Sport in the making of Celtic cultures By Grant Jarvie
- ^ "The Origins of Sevens Rugby". Retrieved 2010-11-12.
- ^ Drug discovery: a history By Walter Sneader
- ^ Karch's pathology of drug abuse By Steven B. Karch
- ^ "University of Glasgow :: World Changing:: Developing our understanding of tissue transplantation". www.worldchanging.glasgow.ac.uk. Retrieved 2018-11-20.
- ^ Ian Donald's Practical Obstetric Problem, 6/e By Renu Misra
- ^ Smith, Brian (July 1998). "Camphor, Cabbage Leaves and Vaccination: the Career of Johnie 'Notions' Williamson of Hamnavoe, Eshaness, Shetland" (PDF). Proceedings of the Royal College of Physicians of Edinburgh. Royal College of Physicians of Edinburgh. 28 (3): 395–406. PMID 11620446. Retrieved 14 January 2021.
- ^ "Scottish Inventions & The Inventors Behind Them". Retrieved 2018-11-20.
- ^ Assam Branch, Indian Tea Association, 1889-1989: centenary souvenir
- ^ Madkour's Brucellosis M. Monir Madkour - 2001
- ^ Recruit Medicine edited by Bernard DeKoning
- ^ Newsom, S. W. B. (2008-12-01). "Ogston's coccus". Journal of Hospital Infection. 70 (4): 369–372. doi:10.1016/j.jhin.2008.10.001. ISSN 0195-6701. PMID 18952323.
- ^ Walker; J. (9 October 2005). "UQ Team Defeats Cervical Cancer". The Courier-Mail. "Ian Frazer's break-through vaccine is 100 per cent effective against the most common form of the virus that causes cervical cancer, according to final-stage trial results [...] a delighted Professor Frazer, 52, said last night: 'It is very rare, almost unheard of, to achieve a 100 per cent efficacy rate in any treatment, so these results are truly wonderful.'"
- ^ "The Nobel Prize in Physiology or Medicine 1923". Nobel Foundation. Retrieved 2011-03-11.
- ^ "John Snow (1813 - 1858)". BBC. Retrieved 2010-12-06.
- ^ a b "University of Glasgow :: Story :: Biography of John Macintyre". www.universitystory.gla.ac.uk. Retrieved 2018-11-20.
- ^ H. G. Wells, Modernity and the Movies by Keith Williams p17 introduction Liverpool University Press, 2007
- ^ The Sorcerer's Apprentice : How Medical Imaging Is Changing Health Care by Bruce Hillman ACRIN Chair and Principal Investigator, Inc. Jeff Goldsmith President of Health Futures Oxford University Press, 2010 p25
- ^ Boycott, A. E.; Damant, G. C. C.; Haldane, J. S. (1908). "Prevention of compressed air illness". J. Hygiene. 8 (3): 342–443. doi:10.1017/S0022172400003399. PMC 2167126. PMID 20474365.
- ^ The History of Respiratory Therapy: Discovery and Evolution by Dennis W. Glover p37 ISBN 1-4490-1491-7, ISBN 978-1-4490-1491-9
- ^ "Fife medical firm rolls out 'skin cancer plaster'". BBC News. 2010-12-08.
- ^ Crofton and Douglas's respiratory diseases, Volume 1 By Anthony Seaton, Douglas Seaton, Andrew Gordon Leitch, Sir John Crofton
- ^ Research in British universities, polytechnics and colleges British Library, British Library. RBUPC Office
- ^ Milestones in health and medicine Anne S. Harding Oryx Press, 2000 - Medical
- ^ van der Vring JA (June 1999). "Combination of calcium channel blockers and beta blockers for patients with exercise-induced angina pectoris: a double-blind parallel-group comparison of different classes of calcium channel blockers. The Netherlands Working Group on Cardiovascular Research (WCN)". Angiology. 50 (6): 447–454. doi:10.1177/000331979905000602. PMID 10378820.
- ^ Stapleton MP (1997). "Sir James Black and propranolol. The role of the basic sciences in the history of cardiovascular pharmacology". Texas Heart Institute Journal. 24 (4): 336–42. PMC 325477. PMID 9456487.
- ^ "Glasgow Coma Scale - Coma Science Group" (PDF). Retrieved 2010-11-12.
- ^ http://www.worldchanging.gla.ac.uk/article/?id=10
- ^ "Lasker Awards Given for Work in Genetics, Anesthesia and Promoting Women in Science". Retrieved 2018-11-20.
- ^ Mindham J, Espie CA (2003). "Glasgow Anxiety Scale for people with an Intellectual Disability (GAS-ID): development and psychometric properties of a new measure for use with people with mild intellectual disability". J Intellect Disabil Res. 47 (Pt 1): 22–30. doi:10.1046/j.1365-2788.2003.00457.x. PMID 12558692.
- ^ http://bjp.rcpsych.org/content/182/4/347.full
- ^ Clinical Examination In Cardiology By Rao
- ^ "Alexander Muirhead". www.gracesguide.co.uk. Retrieved 2018-11-20.
- ^ Hellemans, Alexander; Bunch, Bryan (1988). The Timetables of Science. Simon & Schuster. p. 411. ISBN 0-671-62130-0.
- ^ "Lasers used for meningitis test". BBC News. 2014-02-12. Retrieved 2018-11-20.
- ^ "The history of the refrigerator and freezer about.com:inventors". Retrieved 2010-06-13.
- ^ Did Thomas Crapper Really Invent the Toilet?: The Inventions That Changed Our Homes and Our Lives Catherine O'Reilly
- ^ Case Studies in Superconducting Magnets: Design and Operational Issues By Yukikazu Iwasa
- ^ "Jameson Irish Whiskey - Welcome to the Home of the world's number one Irish whiskey". Archived from the original on 2009-03-20. Retrieved 2009-03-18.
- ^ The wonders of the piano: the anatomy of the instrument Catherine C. Bielefeldt, Alfred R. Weil
- ^ Cunningham, Glenn (1953). "Oregon's First Salmon Canner, "Captain" John West". Oregon Historical Quarterly. 54 (3): 240–248. JSTOR 20612107.
- ^ The Picture History of Great Inventors By Gillian Clements
- ^ The kaleidoscope, its history, theory and construction with its application By Sir David Brewster
- ^ Grass tennis courts: how to construct and maintain them By J. Perris
- ^ John Wesley Hanson (1900) Wonders of the nineteenth century: a panoramic review of the inventions and discoveries of the past hundred years, W. B. Conkey Publishers, Chicago
- ^ Pen Portraits: Alexandria Virginia 1739–1900 by T. Michael Miller
- ^ the commercial directory and shipers guide 1875
- ^ Thompson, William Phillips (1920). Handbook of patent law of all countries. London: Stevens. pp. 42
- ^ An account of some remarkable applications of the electric fluid to the useful arts by Alexander Bain
- ^ Alexander Bain of Watten: genius of the North Robert P. Gunn Caithness Field Club, 1976
- ^ "15 things you (probably) didn't know about Irn-Bru - Scotsman Food and Drink". Scotsman Food and Drink. 2018-02-01. Retrieved 2018-11-20.
- ^ "BBC - A History Of The World - Object: A model Carronade". Retrieved 2010-06-16.
- ^ The Ferguson Rifle by Louis L'Amour
- ^ Rifles of the World by John Walter
- ^ Long Rifle: A Sniper's Story in Iraq and Afghanistan by Joe LeBleu
- ^ Blood on the Nash Ambassador: investigations in American culture Eric Mottram Hutchinson Radius, 1989
- ^ Raynor, Tauria (2008-10-30). "Boys' Brigade want alumni to return for a special anniversary". The Royal Gazette. http://www.royalgazette.com/siftology.royalgazette/Article/article.jsp?articleId=7d8af2f30030024§ionId=60. Retrieved 2008-10-30.
- ^ mitsubishi.com - About Mitsubishi - Origin - Stories of Some Prominent Figures "Thomas Glover"
- ^ The Focal encyclopedia of photography By Leslie Stroebel, Richard D. Zakia
- ^ a b c d Scots Who Made America by Rick Wilson
- ^ http://www.nahste.ac.uk/isaar/GB_0237_NAHSTE_P0469.html
Publications
- Great Scottish Discoveries and Inventions, Bill Fletcher, William W. Fletcher, John Harrold, Drew, 1985, University of California, ISBN 0-86267-084-5, ISBN 978-0-86267-084-9
- Great Scottish inventions and discoveries: a concise guide : a selection of Scottish inventions and discoveries made over a period stretching back to the fifteenth century, John Geddes, Northern Books, 1994
- Scottish Inventors, Alistair Fyfe, HarperCollins, 1999, ISBN 0-00-472326-0, ISBN 978-0-00-472326-6
- The Scottish invention of America, democracy and human rights: a history of liberty and freedom from the ancient Celts to the New Millennium, Alexander Leslie Klieforth, Robert John Munro, University Press of America, 2004, ISBN 0-7618-2791-9, ISBN 978-0-7618-2791-7
- Philosophical chemistry in the Scottish enlightenment: the doctrines and discoveries of William Cullen and Joseph Black, Arthur L. Donovan
External links
- Top Twenty Scottish Inventions, 15th International World Wide Web Conference, Edinburgh, 2006
- Scottish Inventors . . . who keep the world in touch, Global Friends of Scotland (a Scottish Executive website)
- Scottish Inventors and their Inventions, Kenmay Academy