Wikipedia

Rhizomelic chondrodysplasia punctata

Also found in: Medical, Acronyms.
Rhizomelic chondrodysplasia punctata
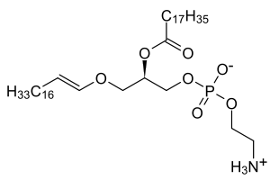
Plasmologen.svg
Low levels of plasmalogens is a characteristic of rhizomelic chondrodysplasia punctata.
SpecialtyMedical genetics Edit this on Wikidata
SymptomsAlopecia, flat face[1]
CausesPEX7 gene, GNPAT gene and AGPS gene mutations[2]
Diagnostic methodClinical and radiologic finding[3]
TreatmentPhysical therapy[4]

Rhizomelic chondrodysplasia punctata is a rare developmental brain disorder characterized by systemic shortening of the proximal bones (i.e. rhizomelia), seizures, recurrent respiratory tract infections and congenital cataracts. The affected individuals have low levels of plasmalogens.[2]

Signs and symptoms

Rhizomelic chondrodysplasia punctata has the following symptoms:[4][1]

Genetics

This condition is a consequence of mutations in the PEX7 gene, the GNPAT gene (which is located on chromosome 1) or the AGPS gene. The condition is acquired in an autosomal recessive manner.[2]

Pathophysiology

ACAA1

The mechanism of rhizomelic chondrodysplasia punctata in the case of type 1 of this condition one finds that peroxisome objective is PEX7, in peroxisome assembly. There are 3 pathways that count on PEX7 and are:[4][5]

  • AGPS (catalyzes plasmalogen biosynthesis)
  • PhYH (catalyzes catabolism of phytanic acid)
  • ACAA1 (catalyzes beta-oxidation of VLCFA - straight)

Diagnosis

Peroxisome (this condition affects the peroxisome, causing peroxisome biogenesis disorders.)

The diagnosis of rhizomelic chondrodysplasia punctata can be based on genetic testing[6] as well as radiography results, plus a physical examination of the individual.[3]

Types

  • Type 1 (RCDP1) is associated with PEX7 mutations; these are peroxisome biogenesis disorders where proper assembly of peroxisomes is impaired.[4]
  • Type 2 (RCDP2) is associated with DHAPAT mutations [7]
  • Type 3 (RCDP3) is associated with AGPS mutations [8]

Treatment

Management of rhizomelic chondrodysplasia punctata can include physical therapy; additionally orthopedic procedures improved function sometimes in affected people.[4] However, the prognosis is poor in this condition.[3]

See also

References

  1. ^ a b "Rhizomelic chondrodysplasia punctata type 1 | Genetic and Rare Diseases Information Center (GARD) – an NCATS Program". rarediseases.info.nih.gov. Retrieved 23 January 2017.
  2. ^ a b c Reference, Genetics Home. "rhizomelic chondrodysplasia punctata". Genetics Home Reference. Retrieved 2017-01-16.
  3. ^ a b c RESERVED, INSERM US14 -- ALL RIGHTS. "Orphanet: Rhizomelic chondrodysplasia punctata". www.orpha.net. Retrieved 23 January 2017.
  4. ^ a b c d e Braverman, Nancy E.; Moser, Ann B.; Steinberg, Steven J. (1 January 1993). "Rhizomelic Chondrodysplasia Punctata Type 1". GeneReviews. PMID 20301447. Retrieved 16 January 2017.update 2012
  5. ^ Brodsky, Michael C. (2016-06-28). Pediatric Neuro-Ophthalmology. Springer. p. 620. ISBN 9781493933846.
  6. ^ "Rhizomelic chondrodysplasia punctata type 1 - Conditions - GTR - NCBI". www.ncbi.nlm.nih.gov. Retrieved 23 January 2017.
  7. ^ "OMIM Entry - # 222765 - RHIZOMELIC CHONDRODYSPLASIA PUNCTATA, TYPE 2; RCDP2". omim.org. Retrieved 16 January 2017.
  8. ^ "OMIM Entry - # 600121 - RHIZOMELIC CHONDRODYSPLASIA PUNCTATA, TYPE 3; RCDP3". omim.org. Retrieved 2017-01-16.

Further reading

  • Benacerraf, Beryl (2007). Ultrasound of fetal syndromes (2nd ed.). Philadelphia: Churchill Livingstone / Elsevier. ISBN 978-0443066412. Retrieved 23 January 2017.
  • al.], [edited by] Kenneth F. Swaiman ... [et; Ashwal, Stephen; Ferriero, Donna M.; Schor, Nina F. (2012). Swaiman's pediatric neurology principles and practice (5th ed.). [Edinburgh]: Elsevier Saunders. ISBN 978-0323089111. Retrieved 23 January 2017.

External links

Classification
External resources
This article is copied from an article on Wikipedia® - the free encyclopedia created and edited by its online user community. The text was not checked or edited by anyone on our staff. Although the vast majority of Wikipedia® encyclopedia articles provide accurate and timely information, please do not assume the accuracy of any particular article. This article is distributed under the terms of GNU Free Documentation License.

Copyright © 2003-2025 Farlex, Inc Disclaimer
All content on this website, including dictionary, thesaurus, literature, geography, and other reference data is for informational purposes only. This information should not be considered complete, up to date, and is not intended to be used in place of a visit, consultation, or advice of a legal, medical, or any other professional.