Wikipedia

Phenazepam

Phenazepam
Phenazepam.svg
Phenazepam ball-and-stick model.png
Clinical data
Trade namessee below
AHFS/Drugs.comInternational Drug Names
Routes of
administration
Oral, IM, IV
ATC code
  • N05BX
Legal status
Legal status
  • CA: Schedule IV
  • DE: Anlage III (Special prescription form required)
  • UK: Class C
  • US: Not FDA approved
  • ℞ (Prescription only) (RU)
Pharmacokinetic data
Bioavailability16,7% (rat)[1]
MetabolismHepaticaromatic oxidation and C3-hydroxylation[2]
Onset of action1.5–4 hours
Elimination half-life6–18 hours (active metabolite unknown)
ExcretionRenal
Identifiers
CAS Number
PubChem CID
ChemSpider
UNII
ChEMBL
CompTox Dashboard (EPA)
ECHA InfoCard100.207.405 Edit this at Wikidata
Chemical and physical data
FormulaC15H10BrClN2O
Molar mass349.61 g·mol−1
3D model (JSmol)

Phenazepam (also known in Russia as bromdihydrochlorphenylbenzodiazepine) is a benzodiazepine drug, which was developed in the Soviet Union in 1975,[3] and now produced in Russia and some CIS countries. Phenazepam is used in the treatment of various mental disorders such as psychiatric schizophrenia and anxiety. It can be used as a premedication before surgery as it augments the effects of anesthetics. Recently, phenazepam has gained popularity as a recreational drug; misuse has been reported in the United Kingdom,[4] Finland,[5] Sweden,[6] and the United States.[7]

Indications

Usually, a course of treatment with phenazepam should not normally exceed 2 weeks (in some cases therapy may be prolonged for up to 2 months) due to the risk of drug abuse and dependence. To prevent withdrawal syndrome, it is necessary to reduce the dose gradually.[8]

Side effects

Side effects include hiccups, dizziness, loss of coordination and drowsiness, along with anterograde amnesia which can be quite pronounced at high doses.[9] As with other benzodiazepines, in case of abrupt discontinuation following prolonged use, severe withdrawal symptoms may occur including restlessness, anxiety, insomnia, seizures, convulsions and death, though because of its intermediate half-life[10][11][12] as well as that of its active metabolites, these withdrawal symptoms may take two or more days to manifest.

Contraindications and special caution

Benzodiazepines require special precaution if used in the elderly, during pregnancy, in children, alcohol or drug-dependent individuals and individuals with comorbid psychiatric disorders.[13]

Phenazepam should not be taken with alcohol or any other CNS depressants. Phenazepam should not be used therapeutically for periods of longer than one month including tapering on and off the drug as recommended for any benzodiazepine in the British national formulary. Some patients may require longer term treatment.

Phenazepam was found to be a component in some herbal incense mixtures in Australia and New Zealand in 2011, namely "Kronic". The particular product variety was withdrawn shortly from the market after and replaced with a new formulation.[14]

Synthesis

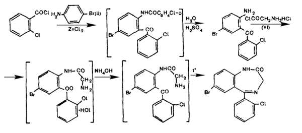
First, 2-(o-chlorobenzoylamino)-5-bromo-2-chlorobenzophenone is prepared by acylation of p-bromoaniline with o-chlorobenzoic acid acyl chloride in the presence of a zinc chloride catalyst. This is hydrolysed with aqueous sulfuric acid to yield 2-amino-5-bromo-2'-chlorobenzophenone, which is then acylated with hydrochloride of aminoacetic acid acyl chloride in chloroform to form 2-(aminomethylkarbonylamino)-5-bromo-2-chlorobenzophenone hydrochloride, which is converted to a base with aqueous ammonia and then thermally cyclized to bromodihydrochlorophenylbenzodiazepine (phenazepam).

Hydrochloride of aminoacetic acid acyl chloride is prepared by chemical treating glycine with phosphorus pentachloride (PCI₅) in chloroform.[15]

Synthesis of Phenazepam

This method of Phenazepam synthesis was developed in the 1970s at the Physico-Chemical Institute of the Academy of Sciences of the Ukrainian SSR.[15]

Detection in biological fluids

Phenazepam may be measured in blood or plasma by chromatographic methods. Blood phenazepam concentrations are typically less than 30 μg/L during therapeutic usage, but have frequently been in the 100–600 μg/L range in automotive vehicle operators arrested for impaired driving ability.[16]

Legal status

China

As of October 2015, phenazepam is a controlled substance in China.[17]

United States

Under federal United States law, phenazepam is not currently classified as a controlled substance, as the Federal Analog Act only provides for automatic assumed classification of chemicals "substantially similar" to existing Schedule I or Schedule II drugs, whereas all controlled benzodiazepines under the Controlled Substances Act are classified as Schedule IV. Although phenazepam is currently not controlled, sale for human use remains illegal in the United States.[18] Suppliers attempt to circumvent this regulation by placing a "Not for human use" disclaimer on the product's label.

Individual states in the United States often ban these analog drugs by name as they appear. Since 2012, Louisiana has classified phenazepam as a controlled dangerous substance.[19] This ban affects several products, some of which were sold at retail stores under the guise of air freshener or similar, containing phenazepam yet claiming not to be for human use. This legislation was introduced after one such product, branded as "Zannie" and marketed as an air freshener rapidly gained publicity as the subject of numerous media reports, attracting the attention of officials.[20] The ensuing investigation effort, led by Senator Fred Mills and Louisiana Poison Center Director Mark Ryan, positively identified the active ingredient of "Zannie" as phenazepam. According to Ryan, chemical analysis identified the active ingredient as "100 percent phenazepam".[19]

Paul Halverson, director and state health officer for the Arkansas Department of Health, approved an emergency rule to ban the sale and distribution of phenazepam shortly after the Louisiana ban.

United Kingdom

Phenazepam is a class C drug in the UK.[21]

The UK home office banned importation of phenazepam on Friday 22 July 2011[22] while it drafted legislation, released in January 2012[23] to become law at the end of March 2012.[24] The bill was quashed following advice from the ACMD as it included two non-abusable steroids.[25] There was a new discussion about its fate on April 23, 2012, where it was decided that the bill would be rewritten and phenazepam would still be banned.[26]

It was eventually banned on June 13, 2012 as a class C, schedule II drug.[27]

Elsewhere

Phenazepam was classified as a narcotic in Finland in July, 2014.[28]

Phenazepam is considered a narcotic in Norway, as per a March 23, 2010 Health Department addition to the Regular Narcotic List.

In Russia, while the drug is considered a prescription medication (but not a controlled one, as all other benzodiazepines except tofisopam), some pharmacies sell it without prescriptions required. Since March 22, 2021 phenazepam must be a controlled substance in Russia.[29]

In Estonia, phenazepam is a Schedule IV substance under the Narcotic Drugs and Psychotropic Substances Act. Schedule IV is the lowest classification of psychoactive substances in Estonia. It includes prescribable drugs, including other benzodiazepines.

UN Single Convention on Narcotic Drugs

On 8 March 2016 at its 59th Session, the Commission on Narcotic Drugs (CND) added Phenazepam to relevant schedules of the Single Convention on Narcotic Drugs of 1961.[30]

Trade names

RU:

  • «Феназепам» (Phenazepam) tablets 0.25, 0.5 and 1 mg, solution for intramuscular and intravenous injection 1 mg/mL (0.1%)
  • «Элзепам» (Elzepam) tablets 0.5 and 1 mg, solution for intramuscular and intravenous injection 1 mg/mL (0.1%)
  • «Фензитат» (Phenzitat) tablets 0.5 and 1 mg
  • «Фенорелаксан» (Phenorelaxan) tablets 0.5 and 1 mg, solution for intramuscular and intravenous injection 1 mg/mL (0.1%)
  • «Транквезипам» (Trankvezipam) tablets 0.5 and 1 mg, solution for intramuscular and intravenous injection 1 mg/mL (0.1%)
  • «Фезипам» (Phezipam) tablets 0.5 and 1 mg (not to be confused with «Фезам» (Phezam) which contains cinnarizine/piracetam)
  • «Фезанеф» (Phezanef) tablets 1 mg[31]

See also

References

  1. ^ "Pharmacokinetics of Transdermal therapeutic Systems of Phenazepam and Cytisine in the Experiment (abstract)". DisserCat — Electronic Library of Dissertations (in Russian).
  2. ^ Golovenko NI, Zin'kovskiĭ VG (1979). "[2-14C-phenazepam metabolism in vitro]". Farmakologiia I Toksikologiia (in Russian). 42 (6): 597–600. PMID 40817.
  3. ^ "World Health Organization". World Health Organization. Retrieved 2017-09-20.
  4. ^ Corkery JM, Schifano F, Ghodse AH (May 2012). "Phenazepam". Human Psychopharmacology. 27 (3): 254–61. doi:10.1002/hup.2222. PMID 22407587. S2CID 20410292.
  5. ^ Kriikku P, Wilhelm L, Rintatalo J, Hurme J, Kramer J, Ojanperä I (July 2012). "Phenazepam abuse in Finland: Findings from apprehended drivers, post-mortem cases and police confiscations". Forensic Science International. 220 (1–3): 111–7. doi:10.1016/j.forsciint.2012.02.006. PMID 22391477.
  6. ^ Mrozkowska J, Vinge E, Borna C (2009). "[Abuse of phenazepam--new phenomenon in Sweden. Benzodiazepine derivative from Russia caused severe intoxication]". Lakartidningen. 106 (8): 516–7. PMID 19350785.
  7. ^ Maskell PD, De Paoli G, Nitin Seetohul L, Pounder DJ (April 2012). "Phenazepam: the drug that came in from the cold". Journal of Forensic and Legal Medicine. 19 (3): 122–5. doi:10.1016/j.jflm.2011.12.014. PMID 22390996.
  8. ^ a b "Phenazepam (bromdihydrochlorphenylbenzodiazepine) Tablets. Full Prescribing Information". Russian State register of Medicines (in Russian). Valenta Pharm, JSC. Retrieved 21 November 2017.
  9. ^ Stephenson JB, Golz DE, Brasher MJ (January 2013). "Phenazepam and its effects on driving". Journal of Analytical Toxicology. 37 (1): 25–9. doi:10.1093/jat/bks080. PMID 23074215.
  10. ^ "ФЕНАЗЕПАМ IC ИнтерХим - инструкция, цена в аптеках, аналоги, состав, показания, отзывы | Справочник Compendium.com.ua" (in Russian). Retrieved 2020-05-21.
  11. ^ "Феназепам: современный взгляд на эффективность и безопасность". medi.ru (in Russian). Retrieved 2020-05-21.
  12. ^ https://www.vidal.ru/drugs/phenazepam__45179
  13. ^ Authier N, Balayssac D, Sautereau M, Zangarelli A, Courty P, Somogyi AA, et al. (November 2009). "Benzodiazepine dependence: focus on withdrawal syndrome". Annales Pharmaceutiques Françaises. 67 (6): 408–13. doi:10.1016/j.pharma.2009.07.001. PMID 19900604.
  14. ^ Couch RA, Madhavaram H (June 2012). "Phenazepam and cannabinomimetics sold as herbal highs in New Zealand". Drug Testing and Analysis. 4 (6): 409–14. doi:10.1002/dta.349. PMID 22924168.
  15. ^ a b Яхонтов, Л. H.; Глушков, P. Г. (1983). Синтетические лекарственные средства [Synthetic pharmaceutical drugs] (in Russian). Moscow: Медицина (Medicine). pp. 215–216.
  16. ^ Baselt R (2011). Disposition of Toxic Drugs and Chemicals in Man (PDF) (9th ed.). Seal Beach, CA: Biomedical Publications. pp. 1320–1321. ISBN 978-0-9626523-8-7. Archived from the original (PDF) on 2 November 2013.
  17. ^ "关于印发《非药用类麻醉药品和精神药品列管办法》的通知" (in Chinese). China Food and Drug Administration. 27 September 2015. Archived from the original on 1 October 2015. Retrieved 1 October 2015.
  18. ^ "New York Nurse Sentenced for Selling Unapproved "Party Drug" Phenazepam on the Internet". U.S. Department of Justice. October 10, 2012. sale for human consumption is prohibited in the United States except for research under strictly regulated terms
  19. ^ a b "Bill to Ban Zannie Passes". KSLA 12. 2012-05-21. Retrieved 2012-05-21.
  20. ^ "'Air Freshener' Contains Potentially Deadly Contolled [sic] Drug". KTBS. Retrieved 22 March 2019.
  21. ^ "PHENAZEPAM". Talk To Frank. Retrieved 2013-02-11.
  22. ^ "Phenazepam / Home Office". UK Home Office. 2012-04-12. Archived from the original on 2012-04-12. Retrieved 2013-02-11.
  23. ^ "The Misuse of Drugs Act 1971 (Amendment) Order 2012" (PDF). UK Home Office. 2012-01-27. Retrieved 2012-03-11.
  24. ^ "Letter from Lord Henly to the ACMD" (PDF). UK Home Office. 2012-01-27. Retrieved 2012-03-11.
  25. ^ "ACMD letter on further advice on the classification of two steroidal substances - February 2012" (PDF). UK Home Office. 2012-02-14. Retrieved 2012-03-18.
  26. ^ "Draft Misuse of Drugs Act 1971 (Amendment) Order 2012". UK Home Office. 2012-04-23. Retrieved 2012-05-04.
  27. ^ "A Change to the Misuse of Drugs Act 1971: control of pipradrol-related compounds and phenazepam". UK Home Office. 7 Jun 2012. Retrieved 2012-07-30.
  28. ^ "Valtioneuvoston asetus huumausaineina pidettävistä aineista, valmisteista ja kasveista annetun valtioneuvoston asetuksen liitteen IV muuttamisesta" [Government Decree amending Annex IV to the Government Decree on substances, preparations and plants regarded as narcotic drugs]. Finlex Data Bank (in Finnish).
  29. ^ "Постановление Правительства Российской Федерации от 18.09.2020 № 1495 "О внесении изменений в некоторые акты Правительства Российской Федерации"" (in Russian).
  30. ^ "Seven substances "scheduled" at the 59th Session of the Commission on Narcotic Drugs". United Nations Office on Drugs and Crime (UNODC).
  31. ^ "State Register of Medicines: Bromdihydrofluorobenzodiazepine. Prescribing Information Lists". Russian State Register of Medicines (in Russian). Retrieved 5 December 2015.
This article is copied from an article on Wikipedia® - the free encyclopedia created and edited by its online user community. The text was not checked or edited by anyone on our staff. Although the vast majority of Wikipedia® encyclopedia articles provide accurate and timely information, please do not assume the accuracy of any particular article. This article is distributed under the terms of GNU Free Documentation License.

Copyright © 2003-2025 Farlex, Inc Disclaimer
All content on this website, including dictionary, thesaurus, literature, geography, and other reference data is for informational purposes only. This information should not be considered complete, up to date, and is not intended to be used in place of a visit, consultation, or advice of a legal, medical, or any other professional.