Wikipedia

Oxidative decarboxylation

Also found in: Medical.

Oxidative decarboxylation reactions are oxidation reactions in which a carboxylate group is removed, forming carbon dioxide. They often occur in biological systems: there are many examples in the citric acid cycle. This type of reaction probably started early at the origin of life.[1]

Compared to Simple decarboxylation which belongs to Lyase group (EC class 4), Oxidative decarboxylation belongs to Oxidoreductase group (EC class 1).

Citric acid cycle

In the citric acid cycle pyruvate dehydrogenase, isocitrate dehydrogenase, and α-ketoglutarate dehydrogenase catalyze oxidative decarboxylation reactions. Each reaction reduces NAD+ to NADH and generates CO2.[2]

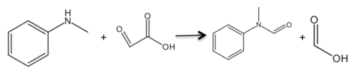
Other occurrences

The transformation of glyoxylic acid to formic acid is also an oxidative decarboxylation. An example is the reaction of n-methalaniline with glyoxylic acid to form n-methyl-n-phenylformamide and formic acid, via decarboxylation of the glyoxylic acid.[3]

Reaction of n-methalaniline with glyoxylic acid

References

  1. ^ Leqraa, Naoual; Nicolet, Yvain; Milet, Anne; Vallée, Yannick (2 September 2020). "A way to thioacetate esters compatible with non-oxidative prebiotic conditions". Scientific Reports. Springer Science and Business Media LLC. 10 (1). doi:10.1038/s41598-020-71524-7. ISSN 2045-2322.
  2. ^ Voet, Donald; Voet, Judith; Pratt, Charlotte (2013). Fundamentals of Biochemistry (4 ed.). John Wiley and Sons. pp. 555–565. ISBN 9780470547847.
  3. ^ Lin, Dian-Zhao; Huang, Jing-Mei (20 March 2018). "Electrochemical N-Formylation of Amines via Decarboxylation of Glyoxylic Acid". Organic Letters. American Chemical Society (ACS). 20 (7): 2112–2115. doi:10.1021/acs.orglett.8b00698. ISSN 1523-7060.
This article is copied from an article on Wikipedia® - the free encyclopedia created and edited by its online user community. The text was not checked or edited by anyone on our staff. Although the vast majority of Wikipedia® encyclopedia articles provide accurate and timely information, please do not assume the accuracy of any particular article. This article is distributed under the terms of GNU Free Documentation License.

Copyright © 2003-2025 Farlex, Inc Disclaimer
All content on this website, including dictionary, thesaurus, literature, geography, and other reference data is for informational purposes only. This information should not be considered complete, up to date, and is not intended to be used in place of a visit, consultation, or advice of a legal, medical, or any other professional.