Wikipedia

Ocinaplon

Ocinaplon
Ocinaplon.svg
Clinical data
ATC code
  • none
Identifiers
CAS Number
PubChem CID
IUPHAR/BPS
ChemSpider
UNII
KEGG
CompTox Dashboard (EPA)
Chemical and physical data
FormulaC17H11N5O
Molar mass301.309 g·mol−1
3D model (JSmol)
(verify)

Ocinaplon is an anxiolytic drug in the pyrazolopyrimidine family of drugs. Other pyrazolopyrimidine drugs include zaleplon and indiplon.

Ocinaplon has a similar pharmacological profile to the benzodiazepine family of drugs, but with mainly anxiolytic properties and relatively little sedative or amnestic effect.[1]

Medical uses

A 2019 review found tentative evidence of benefit in anxiety.[2]

Mechanism of action

The mechanism of action by which ocinaplon produces its anxiolytic effects is by modulating GABAA receptors,[3] although ocinaplon is more subtype-selective than most benzodiazepines.[4]

Availability

Development of ocinaplon is discontinued due to liver complications that occurred in one of the Phase III subjects.[5]

Synthesis

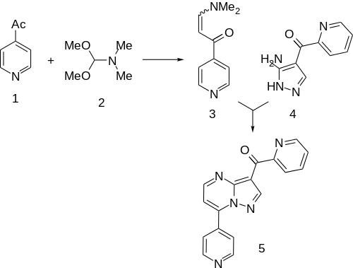
Ocinaplon synthesis: U.S. Patent 4,521,422 Further reading:[6][7]

Condensation of 4-Acetylpyridine[8] with N,N-Dimethylformamide dimethyl acetal (DMFDMA) gives the "enamide" (3). This is then condensed with (3-Amino-1H-pyrazol-4-yl)(2-pyridinyl)methanone (4) (96219-90-8).[9][10] This is the same intermediate as was used in the synthesis of zaleplon in which the nitrile is replaced by a 2-acetylpyridil moiety. This affords the anxiolytic agent ocinaplon (5).

References

  1. ^ Lippa A, Czobor P, Stark J, Beer B, Kostakis E, Gravielle M, et al. (May 2005). "Selective anxiolysis produced by ocinaplon, a GABA(A) receptor modulator". Proceedings of the National Academy of Sciences of the United States of America. 102 (20): 7380–5. Bibcode:2005PNAS..102.7380L. doi:10.1073/pnas.0502579102. PMC 1129138. PMID 15870187.
  2. ^ Slee A, Nazareth I, Bondaronek P, Liu Y, Cheng Z, Freemantle N (February 2019). "Pharmacological treatments for generalised anxiety disorder: a systematic review and network meta-analysis". Lancet. 393 (10173): 768–777. doi:10.1016/S0140-6736(18)31793-8. PMID 30712879. S2CID 72332967.
  3. ^ Mirza NR, Rodgers RJ, Mathiasen LS (March 2006). "Comparative cue generalization profiles of L-838, 417, SL651498, zolpidem, CL218,872, ocinaplon, bretazenil, zopiclone, and various benzodiazepines in chlordiazepoxide and zolpidem drug discrimination". The Journal of Pharmacology and Experimental Therapeutics. 316 (3): 1291–9. doi:10.1124/jpet.105.094003. PMID 16339395. S2CID 21913400.
  4. ^ Atack JR (May 2005). "The benzodiazepine binding site of GABA(A) receptors as a target for the development of novel anxiolytics". Expert Opinion on Investigational Drugs. 14 (5): 601–18. doi:10.1517/13543784.14.5.601. PMID 15926867. S2CID 22793644.
  5. ^ "DOV Pharmaceutical, Inc. Places Ocinaplon Phase III Clinical Trial On Hold". PR NewsWire. Archived from the original on 4 March 2016.
  6. ^ Baumann M, Baxendale IR (October 2013). "An overview of the synthetic routes to the best selling drugs containing 6-membered heterocycles". Beilstein Journal of Organic Chemistry. 9: 2265–319. doi:10.3762/bjoc.9.265. PMC 3817479. PMID 24204439.
  7. ^ ARKIVOC 2010 (ii) 267-282
  8. ^ LaMattina JL, Sulesk RT (1986). "A-Amino Acetals: 2,2-Diethoxy-2-(4-Pyridyl)Ethylamine". Organic Syntheses. 64: 19. doi:10.15227/orgsyn.064.0019.
  9. ^ U.S. Patent 4,900,836
  10. ^ CA 1243029
This article is copied from an article on Wikipedia® - the free encyclopedia created and edited by its online user community. The text was not checked or edited by anyone on our staff. Although the vast majority of Wikipedia® encyclopedia articles provide accurate and timely information, please do not assume the accuracy of any particular article. This article is distributed under the terms of GNU Free Documentation License.

Copyright © 2003-2025 Farlex, Inc Disclaimer
All content on this website, including dictionary, thesaurus, literature, geography, and other reference data is for informational purposes only. This information should not be considered complete, up to date, and is not intended to be used in place of a visit, consultation, or advice of a legal, medical, or any other professional.