Wikipedia

Neighbouring group participation

Also found in: Encyclopedia.

Neighbouring group participation (NGP) (also known as anchimeric assistance) in organic chemistry has been defined by IUPAC as the interaction of a reaction centre with a lone pair of electrons in an atom or the electrons present in a sigma bond or pi bond contained within the parent molecule but not conjugated with the reaction centre.[1][1][2][3] When NGP is in operation it is normal for the reaction rate to be increased. It is also possible for the stereochemistry of the reaction to be abnormal (or unexpected) when compared with a normal reaction. While it is possible for neighbouring groups to influence many reactions in organic chemistry (e.g. the reaction of a diene such as 1,3-cyclohexadiene with maleic anhydride normally gives the endo isomer because of a secondary effect {overlap of the carbonyl group π orbitals with the transition state in the Diels-Alder reaction}) this page is limited to neighbouring group effects seen with carbocations and SN2 reactions.

NGP by heteroatom lone pairs

A classic example of NGP is the reaction of a sulfur or nitrogen mustard with a nucleophile, the rate of reaction is much higher for the sulfur mustard and a nucleophile than it would be for a primary alkyl chloride without a heteroatom.

Neighbouring Group Participation A V1.svg

Ph-S-CH2-CH2-Cl reacts with water 600 times faster than CH3-CH2-CH2-Cl

NGP by an alkene

The π orbitals of an alkene can stabilize a transition state by helping to delocalize the positive charge of the carbocation. For instance the unsaturated tosylate will react more quickly (1011 times faster for aqueous solvolysis) with a nucleophile than the saturated tosylate.

Neighbouring group participation 1.svg

The carbocationic intermediate will be stabilized by resonance where the positive charge is spread over several atoms. In the diagram below this is shown.

Neighbouring group participation 2.svg

Here is a different view of the same intermediates.

Neighbouring group participation 3.svg

Even if the alkene is more remote from the reacting center the alkene can still act in this way. For instance in the following alkyl benzenesulfonate the alkene is able to delocalise the carbocation.

Neighbouring group participation 4.svg

Also the increase in the rate of the SN2 reaction of allyl bromide with a nucleophile compared with the reaction of n-propyl bromide is because the orbitals of the π bond overlap with those of the transition state. In the allyl system the alkene orbitals overlap with the orbitals of a SN2 transition state.

NgroupP11.jpg

NGP by a cyclopropane, cyclobutane or a homoallyl group

If Cyclopropylmethyl chloride is reacted with ethanol and water then a mixture of 48% cyclopropylmethyl alcohol, 47% cyclobutanol and 5% homoallyl alcohol (but-3-enol) is obtained. This is because the carbocationic intermediate is delocalised onto many different carbons through a reversible ring opening.

Neighbouring group participation 6.svg

NGP by an aromatic ring

In the case of a benzyl halide the reactivity is higher because the SN2 transition state enjoys a similar overlap effect to that in the allyl system.

NGroupP10.jpg

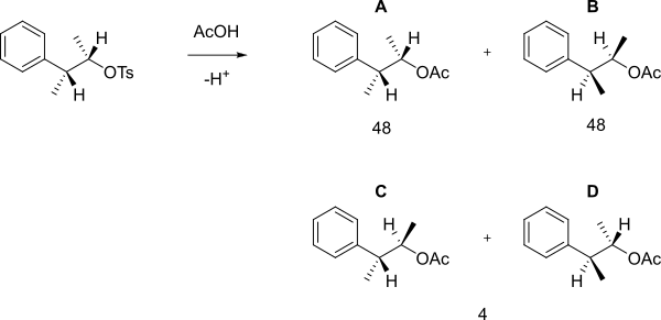
An aromatic ring can assist in the formation of a carbocationic intermediate called a phenonium ion by delocalising the positive charge.

Neighbouring group participation 7.svg

When the following tosylate reacts with acetic acid in solvolysis then rather than a simple SN2 reaction forming B, a 48:48:4 mixture of A, B (which are enantiomers) and C+D was obtained [2] [3].

Neighbouring group participation 8.svg

The mechanism which forms A and B is shown below.

Neighbouring group participation 9.svg



NGP by aliphatic C-C or C-H bonds

Aliphatic C-C or C-H bonds can lead to charge delocalization if these bonds are close and antiperiplanar to the leaving group. Corresponding intermediates are referred to a nonclassical ions, with the 2-norbornyl system as the most well known case.

External links

References

  1. ^ de Rooij, J. F.; Wille-Hazeleger, G.; Burgers, P. M.; van Boom, J. H. (1979). "Neighbouring group participation in the unblocking of phosphotriesters of nucleic acids". Nucleic Acids Research. 6 (6): 2237–2259. doi:10.1093/nar/6.6.2237. PMC 327848. PMID 461188.
  2. ^ Stalford, Susanne A.; Kilner, Colin A.; Leach, Andrew G.; Turnbull, W. Bruce (2009-12-07). "Neighbouring group participation vs. addition to oxacarbenium ions: studies on the synthesis of mycobacterial oligosaccharides". Organic & Biomolecular Chemistry. Royal Society of Chemistry. 7 (23): 4842–4852. doi:10.1039/B914417J. PMID 19907773.
  3. ^ Bowden, Keith (1993-01-01). Bethell, D. (ed.). "Neighbouring Group Participation by Carbonyl Groups in Ester Hydrolysis". Academic Press, ScienceDirect. pp. 171–206. Retrieved 2019-12-17.
  1. ^ Advanced organic chemistry, page 314, Jerry March (4th Ed), Wiley-Interscience.
  2. ^ Studies in Stereochemistry. I. The Stereospecific Wagner-Meerwein Rearrangement of the Isomers of 3-Phenyl-2-butanol Donald J. Cram J. Am. Chem. Soc.; 1949; 71(12); 3863-3870. Abstract
  3. ^ Studies in Stereochemistry. V. Phenonium Sulfonate Ion-pairs as Intermediates in the Intramolecular Rearrangements and Solvolysis Reactions that Occur in the 3-Phenyl-2-butanol System Donald J. Cram J. Am. Chem. Soc.; 1952; 74(9); 2129-2137 Abstract.
This article is copied from an article on Wikipedia® - the free encyclopedia created and edited by its online user community. The text was not checked or edited by anyone on our staff. Although the vast majority of Wikipedia® encyclopedia articles provide accurate and timely information, please do not assume the accuracy of any particular article. This article is distributed under the terms of GNU Free Documentation License.

Copyright © 2003-2025 Farlex, Inc Disclaimer
All content on this website, including dictionary, thesaurus, literature, geography, and other reference data is for informational purposes only. This information should not be considered complete, up to date, and is not intended to be used in place of a visit, consultation, or advice of a legal, medical, or any other professional.