Wikipedia

Metolachlor

Metolachlor[1]
Metolachlor.png
Names
IUPAC name
(RS)-2-Chloro-N-(2-ethyl-6-methyl-phenyl)-N-(1-methoxypropan-2-yl)acetamide
Other names
Dual, Pimagram, Bicep, CGA-24705, Pennant.
Identifiers
3D model (JSmol)
ChEBI
ChEMBL
ChemSpider
ECHA InfoCard 100.051.856 Edit this at Wikidata
KEGG
UNII
CompTox Dashboard (EPA)
Properties
Chemical formula
C15H22ClNO2
Molar mass 283.80 g·mol−1
Appearance Off-white to colorless liquid
Density 1.1 g/mL
Boiling point 100 °C (212 °F; 373 K) at 0.001 mmHg
530 ppm at 20 °C
Hazards
Main hazards [2]
Except where otherwise noted, data are given for materials in their standard state (at 25 °C [77 °F], 100 kPa).

Metolachlor is an organic compound that is widely used as an herbicide. It is a derivative of aniline and is a member of the chloroacetanilide family of herbicides. It is highly effective toward grasses.

Agricultural use

Metolachlor was developed by Ciba-Geigy. Its acts by inhibition of elongases and of the geranylgeranyl pyrophosphate (GGPP) cyclases, which are part of the gibberellin pathway. It is used for grass and broadleaf weed control in corn, soybean, peanuts, sorghum, and cotton. It is also used in combination with other herbicides.

Metolachlor is a popular herbicide in the United States.[3] As originally formulated metolachlor was applied as a racemate, a 1:1 mixture of the (S)- and (R)-stereoisomers. The (R)-enantiomer is less active, and modern production methods afford a higher concentration of S-metolachlor, thus current application rates are far lower than original formulations.

Production and basic structure

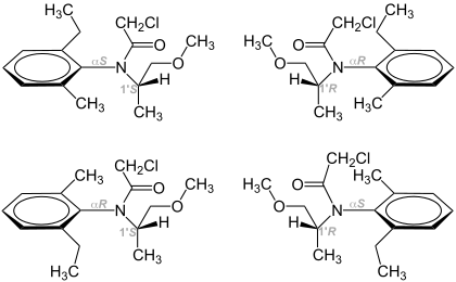
Metolachlor is produced from 2-ethyl-6-methylaniline (MEA) via condensation with methoxyacetone. The resulting imine is hydrogenated to give primarily the S-stereoisomeric amine. This secondary amine is acetylated with chloroacetylchloride. Because of the steric effects of the 2,6-disubstituted aniline, rotation about the aryl-C to N bond is restricted. Thus, both the (R)- and the (S)-enantiomers exist as atropisomers. Both atropisomers of (S)-metolachlor exhibit the same biological activity.[4]

The four stereoisomers of metolachlor

Safety and ecological effects

Metolachlor has been detected in ground and surface waters in concentrations ranging from 0.08 to 4.5 parts per billion (ppb) throughout the U.S.[5] It is classified as a Category C pesticide by the United States Environmental Protection Agency (US EPA), which indicates limited evidence of carcinogenicity.[6] Evidence of the bioaccumulation of metolachlor in edible species of fish as well as its adverse effect on the growth and development raise concerns on its effects on human health. Though there is no set maximum concentration (maximum contaminant level, MCL) for metolachlor that is allowed in drinking water, the US EPA does have a health advisory level (HAL) of 0.525 mg/L.

Metolachlor induces cytotoxic and genotoxic effects in human lymphocytes.[7] Genotoxic effects have also been observed in tadpoles exposed to metolachlor.[8] Evidence also reveals that metolachlor affects cell growth. Cell division in yeast was reduced,[9] and chicken embryos exposed to metolchlor showed a significant decrease in the average body mass compared to the control.[10]

See also

References

  1. ^ Extoxnet, Oregon State University
  2. ^ "EXTOXNET PIP - METOLACHLOR". orst.edu. Retrieved 17 May 2015.
  3. ^ Kiely, T., D. Donaldson, and A. Grube. 2004. Pesticide industry sales and usage: 2000 and 2001 market estimates. US Environmental Protection Agency, Office of Pesticides Programs, Washington, DC
  4. ^ H.U.-Blaser (2002). "The Chiral Switch of (S)-Metolachlor: A Personal Account of an Industrial Odyssey in Asymmetric Catalysis". Advanced Synthesis and Catalysis. 344: 17–31. doi:10.1002/1615-4169(200201)344:1<17::AID-ADSC17>3.0.CO;2-8.
  5. ^ Pothuluri, J.V., Evans, F.E., Doerge, D.R., Churchwell, M.I.,Cerniglia, C.E. (1997). "Metabolism of metolachlor by the fungus Cunninghamella elegans". Arch. Environ. Contam. Toxicol. 32 (2): 117–125. doi:10.1007/s002449900163. PMID 9069185.
  6. ^ USEPA,1987. Metolachlor Pesticide Registration Standard. Springfield, IL: Natl. Tech. Info. Serv.
  7. ^ Rollof, B., Belluck, D., Meiser, L. (1992). "Cytogenic effects of cyanazine and metolachlor on human lymphocytes exposed in vitro". Mutat. Res. Lett. 281 (4): 295–298. doi:10.1016/0165-7992(92)90024-C. PMID 1373225.
  8. ^ Clements, C., Ralph, S.,Petras, M. (1997). "Genotoxicity of select herbicides on Rana catesbeiana tadpoles using alkaline single-cell gel DNA electrophoresis (Comet) assay". Env. Mol. Mut. 29 (3): 277–288. doi:10.1002/(SICI)1098-2280(1997)29:3<277::AID-EM8>3.0.CO;2-9.
  9. ^ Echeverrigaray,S., Gomes,L.H., Taveres, F.C.A.(1999). Isolation and characterization of metolachlor resistant mutants of Saccharomyces cerevisiae. World Journal of Micro and Biotech. 15: 679–681.
  10. ^ Varnargy,L., Budai, P., Fejes, S., Susan, M., Francsi, T., Keseru, M., Szabo, R.(2003). Toxicity and degradation of metolachlor (Dual 960EC) in chicken embryos. Commun. Agric. Appl. Biol. Sci.68:807–11.

External links

  • Metolachlor in the Pesticide Properties DataBase (PPDB)
This article is copied from an article on Wikipedia® - the free encyclopedia created and edited by its online user community. The text was not checked or edited by anyone on our staff. Although the vast majority of Wikipedia® encyclopedia articles provide accurate and timely information, please do not assume the accuracy of any particular article. This article is distributed under the terms of GNU Free Documentation License.

Copyright © 2003-2025 Farlex, Inc Disclaimer
All content on this website, including dictionary, thesaurus, literature, geography, and other reference data is for informational purposes only. This information should not be considered complete, up to date, and is not intended to be used in place of a visit, consultation, or advice of a legal, medical, or any other professional.