Wikipedia

Maximal subgroup

In mathematics, the term maximal subgroup is used to mean slightly different things in different areas of algebra.

In group theory, a maximal subgroup H of a group G is a proper subgroup, such that no proper subgroup K contains H strictly. In other words, H is a maximal element of the partially ordered set of subgroups of G that are not equal to G. Maximal subgroups are of interest because of their direct connection with primitive permutation representations of G. They are also much studied for the purposes of finite group theory: see for example Frattini subgroup, the intersection of the maximal subgroups.

In semigroup theory, a maximal subgroup of a semigroup S is a subgroup (that is, a subsemigroup which forms a group under the semigroup operation) of S which is not properly contained in another subgroup of S. Notice that, here, there is no requirement that a maximal subgroup be proper, so if S is in fact a group then its unique maximal subgroup (as a semigroup) is S itself. Considering subgroups, and in particular maximal subgroups, of semigroups often allows one to apply group-theoretic techniques in semigroup theory. There is a one-to-one correspondence between idempotent elements of a semigroup and maximal subgroups of the semigroup: each idempotent element is the identity element of a unique maximal subgroup.

Existence of maximal subgroup

Any proper subgroup of a finite group is contained in some maximal subgroup, since the proper subgroups form a finite partially ordered set under inclusion. There are, however, infinite abelian groups that contain no maximal subgroups, for example the Prüfer group.[1]

Maximal normal subgroup

Similarly, a normal subgroup N of G is said to be a maximal normal subgroup (or maximal proper normal subgroup) of G if N < G and there is no normal subgroup K of G such that N < K < G. We have the following theorem:

Theorem: A normal subgroup N of a group G is a maximal normal subgroup if and only if the quotient G/N is simple.

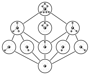
Hasse diagrams

These Hasse diagrams show the lattices of subgroups of S4, Dih4 and Z23.
The maximal subgroups are linked to the group itself (on top of the Hasse diagram) by an edge of the Hasse diagram.

Symmetric group S4
Maximal subgroups are A4, three Dih4 and four S3
(Compare: Subgroups of S4)
Dihedral group Dih4
Maximal subgroups are Z4 and two Z22
Z23
Maximal subgroups are seven Z22

References

  1. ^ "Planet Math".
This article is copied from an article on Wikipedia® - the free encyclopedia created and edited by its online user community. The text was not checked or edited by anyone on our staff. Although the vast majority of Wikipedia® encyclopedia articles provide accurate and timely information, please do not assume the accuracy of any particular article. This article is distributed under the terms of GNU Free Documentation License.

Copyright © 2003-2025 Farlex, Inc Disclaimer
All content on this website, including dictionary, thesaurus, literature, geography, and other reference data is for informational purposes only. This information should not be considered complete, up to date, and is not intended to be used in place of a visit, consultation, or advice of a legal, medical, or any other professional.