| Names | |
|---|---|
| IUPAC name Manganese triacetate | |
| Other names Manganese triacetate dihydrate; Manganese(III) acetate dihydrate, Manganic acetate | |
| Identifiers | |
| |
3D model (JSmol) |
|
| ChemSpider | |
| ECHA InfoCard | 100.012.365 |
PubChem CID | |
CompTox Dashboard (EPA) | |
| |
SMILES
| |
| Properties | |
Chemical formula | C6H9MnO6•2H2O |
| Molar mass | 268.13 g/mol (dihydrate) |
| Appearance | Brown powder |
| Density | 1.049 g cm−3, liquid; 1.266 g cm−3, solid |
| Hazards | |
| R-phrases (outdated) | R36/37/38, R62, R63 |
| S-phrases (outdated) | S26, S37/39 |
Except where otherwise noted, data are given for materials in their standard state (at 25 °C [77 °F], 100 kPa). | |
Manganese(III) acetate describes a family of materials with the approximate formula Mn(O2CCH3)3. These materials are brown solids that are soluble in acetic acid and water. They are used in organic synthesis as oxidizing agents.[1]
Structure
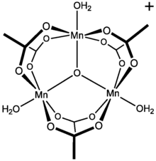
Although no true manganese(III) acetate is known, salts of basic manganese(III) acetate are well characterized. Basic manganese acetate adopts the structure reminiscent of those of basic chromium acetate and basic iron acetate. The formula is [Mn3O(O2CCH3)6Ln]X where L is a ligand and X is an anion. The coordination polymer [Mn3O(O2CCH3)6]O2CCH3.HO2CCH3 has been crystallized.[2]
Preparation
It is usually used as the dihydrate, although the anhydrous form is also used in some situations. The dihydrate is prepared by combining potassium permanganate and manganese(II) acetate in acetic acid.[3] Addition of acetic anhydride to the reaction produces the anhydrous form.[1][2] It is also synthesized by electrochemical method starting from Mn(OAc)2.[4]
Use in organic synthesis
Manganese triacetate has been used as a one-electron oxidant. It can oxidize alkenes via addition of acetic acid to form lactones.[3]
This process is thought to proceed via the formation of a •CH2CO2H radical intermediate, which then reacts with the alkene, followed by additional oxidation steps and finally ring closure.[1] When the alkene is not symmetric, the major product depends on the nature of the alkene, and is consistent with initial formation of the more stable radical (among the two carbons of the alkene) followed by ring closure onto the more stable conformation of the intermediate.[5]
When reacted with enones, the carbon on the other side of the carbonyl reacts rather than the alkene portion, leading to α'-acetoxy enones.[6] In this process, the carbon next to the carbonyl is oxidized by the manganese, followed by transfer of acetate from the manganese to it.[7] It can similarly oxidize β-ketoesters at the α carbon, and this intermediate can react with various other structures, including halides and alkenes (see: manganese-mediated coupling reactions). One extension of this idea is the cyclization of the ketoester portion of the molecule with an alkene elsewhere in the same structure.[8]
See also
- Manganese(II) acetate
- Chromium(III) acetate
- Iron(III) acetate
- Zinc acetate
References
- ^ a b c Snider, Barry B. (2001). "Manganese(III) Acetate". Encyclopedia of Reagents for Organic Synthesis. Wiley. doi:10.1002/047084289X.rm018. ISBN 0471936235.
- ^ a b Hessel, L. W.; Romers, C. (1969). "The Crystal Structure of "Anhydrous Manganic Acetate"". Recueil des Travaux Chimiques des Pays-Bas. 88 (5): 545–552. doi:10.1002/recl.19690880505.
- ^ a b E. I. Heiba, R. M. Dessau, A. L. Williams, P. G. Rodewald (1983). "Substituted γ-butyrolactones From Carboxylic Acids And Olefins: γ-(n-octyl)-γ-butyrolactone". Org. Synth. 61: 22. doi:10.15227/orgsyn.061.0022.
- ^ Yılmaz, M.; Yılmaz, E. V. B.; Pekel, A. T. (2011). "Radical Cyclization of Fluorinated 1,3-Dicarbonyl Compounds with Dienes Using Manganese(III) Acetate and Synthesis of Fluoroacylated 4,5-Dihydrofurans". Helv. Chim. Acta. 94 (11): 2027–2038. doi:10.1002/hlca.201100105.
- ^ Fristad, W. E.; Peterson, J. R. (1985). "Manganese(III)-mediated γ-lactone annulation". J. Org. Chem. 50 (1): 10–18. doi:10.1021/jo00201a003.
- ^ Dunlap, Norma K.; Sabol, Mark R.; Watt, David S. (1984). "Oxidation of enones to α'-acetoxyenones using manganese triacetate". Tetrahedron Letters. 25: 5839–5842. doi:10.1016/S0040-4039(01)81699-3.
- ^ Williams, G. J.; Hunter, N. R. (1976). "Situselective α'-acetoxylationof some α,β-enones by manganic acetate oxidation". Can. J. Chem. 54 (24): 3830–3832. doi:10.1139/v76-550.
- ^ Snider, B. B.; Patricia, J. J.; Kates, S. A. (1988). "Mechanism of manganese(III)-based oxidation of β-keto esters". J. Org. Chem. 53 (10): 2137–2141. doi:10.1021/jo00245a001.
| AcOH | He | |||||||||||||||||||
| LiOAc | Be(OAc)2 BeAcOH | B(OAc)3 | AcOAc ROAc | NH4OAc | AcOOH | FAc | Ne | |||||||||||||
| NaOAc | Mg(OAc)2 | Al(OAc)3 ALSOL Al(OAc)2OH Al2SO4(OAc)4 | Si | P | S | ClAc | Ar | |||||||||||||
| KOAc | Ca(OAc)2 | Sc(OAc)3 | Ti(OAc)4 | VO(OAc)3 | Cr(OAc)2 Cr(OAc)3 | Mn(OAc)2 Mn(OAc)3 | Fe(OAc)2 Fe(OAc)3 | Co(OAc)2, Co(OAc)3 | Ni(OAc)2 | Cu(OAc)2 | Zn(OAc)2 | Ga(OAc)3 | Ge | As(OAc)3 | Se | BrAc | Kr | |||
| RbOAc | Sr(OAc)2 | Y(OAc)3 | Zr(OAc)4 | Nb | Mo(OAc)2 | Tc | Ru(OAc)2 Ru(OAc)3 Ru(OAc)4 | Rh2(OAc)4 | Pd(OAc)2 | AgOAc | Cd(OAc)2 | In | Sn(OAc)2 Sn(OAc)4 | Sb(OAc)3 | Te | IAc | Xe | |||
| CsOAc | Ba(OAc)2 | * | Lu(OAc)3 | Hf | Ta | W | Re | Os | Ir | Pt(OAc)2 | Au | Hg2(OAc)2, Hg(OAc)2 | TlOAc Tl(OAc)3 | Pb(OAc)2 Pb(OAc)4 | Bi(OAc)3 | Po | At | Rn | ||
| Fr | Ra | ** | Lr | Rf | Db | Sg | Bh | Hs | Mt | Ds | Rg | Cn | Nh | Fl | Mc | Lv | Ts | Og | ||
| * | La(OAc)3 | Ce(OAc)x | Pr | Nd | Pm | Sm(OAc)3 | Eu(OAc)3 | Gd(OAc)3 | Tb | Dy(OAc)3 | Ho(OAc)3 | Er | Tm | Yb(OAc)3 | ||||||
| ** | Ac | Th | Pa | UO2(OAc)2 | Np | Pu | Am | Cm | Bk | Cf | Es | Fm | Md | No | ||||||