Wikipedia

Iridoid

Chemical structure of iridomyrmecin

Iridoids are a type of monoterpenoids in the general form of cyclopentanopyran, found in a wide variety of plants and some animals. They are biosynthetically derived from 8-oxogeranial.[1] Iridoids are typically found in plants as glycosides, most often bound to glucose.

The chemical structure is exemplified by iridomyrmecin, a defensive chemical produced by the genus Iridomyrmex, for which iridoids are named. Structurally, they are bicyclic cis-fused cyclopentane-pyrans. Cleavage of a bond in the cyclopentane ring gives rise to a subclass known as secoiridoids, such as oleuropein and amarogentin.

Occurrence

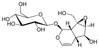
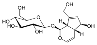
Aucubin
Catalpol
Aucubin and catalpol are two of the most common iridoids in the plant kingdom.

The iridoids produced by plants act primarily as a defense against herbivores or against infection by microorganisms. The variable checkerspot butterfly also contains iridoids obtained through its diet which act as a defense against avian predators.[2] To humans and other mammals, iridoids are often characterized by a deterrent bitter taste.

Aucubin and catalpol are two of the most common iridoids in the plant kingdom. Iridoids are prevalent in the plant subclass Asteridae, such as Ericaceae, Loganiaceae, Gentianaceae, Rubiaceae, Verbenaceae, Lamiaceae, Oleaceae, Plantaginaceae, Scrophulariaceae, Valerianaceae, and Menyanthaceae.[3]

Iridoids have been the subject of research into their potential biological activities.[3][4]

Biosynthesis

The iridoid ring scaffold is synthesized, in plants, by the enzyme iridoid synthase.[5] In contrast with other monoterpene cyclases, iridoid synthase uses 8-oxogeranial as a substrate. The enzyme uses a two-step mechanism, with an initial NADPH-dependent reduction step followed by a cyclization step that occurs through either a Diels-Alder reaction or an intramolecular Michael addition.[5]

Loganic acid is an iridoid substrate converted to strictosidine which reacts with tryptamine, eventually leading to the indole alkaloids which include many biologically active compounds such as strychnine, yohimbine, vinca alkaloids, and ellipticine.

References

  1. ^ Gene discovery in the biosynthesis of medicinal alkaloids in Catharanthus roseus
  2. ^ Bowers, M. Deane (March 1981). "Unpalatability as a Defense Strategy of Western Checkerspot Butterflies (Euphydryas scudder, Nymphalidae)". Evolution. 35 (2): 367–375. doi:10.2307/2407845. JSTOR 2407845. PMID 28563381.
  3. ^ a b Tundis, Rosa; Loizzo, Monica; Menichini, Federica; Statti, Giancarlo; Menichini, Francesco (2008). "Biological and Pharmacological Activities of Iridoids: Recent Developments". Mini-Reviews in Medicinal Chemistry. 8 (4): 399–420. doi:10.2174/138955708783955926.
  4. ^ Dinda, Biswanath; Debnath, Sudhan; Harigaya, Yoshihiro (2007). "Naturally Occurring Iridoids. A Review, Part 1". Chemical & Pharmaceutical Bulletin. 55 (2): 159–222. doi:10.1248/cpb.55.159. PMID 17268091.
  5. ^ a b Geu-Flores, F.; Sherden, N. H.; Courdavault, V.; Burlat, V.; Glenn, W. S.; Wu, C.; Nims, E.; Cui, Y.; O'Connor, S. E. (2012). "An alternative route to cyclic terpenes by reductive cyclization in iridoid biosynthesis". Nature. 492 (7427): 138–142. Bibcode:2012Natur.492..138G. doi:10.1038/nature11692. PMID 23172143.

Further reading

Moreno-Escobar, Jorge A.; Alvarez, Laura; Rodrıguez-Lopez, Veronica; Marquina Bahena, Silvia (2 March 2013). "Cytotoxic glucosydic iridoids from Veronica Americana". Phytochemistry Letters. 6 (4): 610–613. doi:10.1016/j.phytol.2013.07.017.

This article is copied from an article on Wikipedia® - the free encyclopedia created and edited by its online user community. The text was not checked or edited by anyone on our staff. Although the vast majority of Wikipedia® encyclopedia articles provide accurate and timely information, please do not assume the accuracy of any particular article. This article is distributed under the terms of GNU Free Documentation License.

Copyright © 2003-2025 Farlex, Inc Disclaimer
All content on this website, including dictionary, thesaurus, literature, geography, and other reference data is for informational purposes only. This information should not be considered complete, up to date, and is not intended to be used in place of a visit, consultation, or advice of a legal, medical, or any other professional.