Wikipedia

Illusory continuity of tones

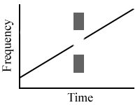
An ascending tone is interrupted by a noise burst, but is perceptually continuous.
Example of illusory continuity stimulus: discontinuous rising tone. The tone sounds continuous to some listeners.

The illusory continuity of tones is the auditory illusion caused when a tone is interrupted for a short time, during which a narrow band of noise is played. The noise has to be of a sufficiently high level to effectively mask the gap, unless it is a gap transfer illusion. Whether the tone is of constant, rising or decreasing pitch, the ear perceives the tone as continuous if the discontinuity is masked by noise. Because the human ear is very sensitive to sudden changes, however, it is necessary for the success of the illusion that the amplitude of the tone in the region of the discontinuity not decrease or increase too abruptly.[1] While the inner mechanisms of this illusion is not well understood, there is evidence that supports activation of primarily the auditory cortex is present.[2]

Relation to Other Auditory Illusions

Illusory continuity is antagonistic with illusory discontinuity. While illusory continuity restores perceptual continuity of obscured sounds, illusory discontinuity disrupts the perception even if the sound is indeed continuous. Listeners strongly susceptible to illusory discontinuity do not perceive illusory auditory continuity.[3]

Requirements of the Illusion

Auditory induction in the brain is used to create a sense of illusory continuity, when a background noise is interrupted by a foreground noise.[4] Even when the foreground noise is completely removed and replaced, listeners still report being able to hear the foreground sound that was removed. This is true with speech, which is done using prior knowledge of speech patterns from mere exposure.[5] However, the neural networks often show no sign of interruption when this occurs. Even when the sound is completely removed and replaced, the neural networks show no sign of the sound being interrupted.[6] There does seem to be limitations to this, however, as the sound that masks the original foreground stimulus needs to have appropriate composition and intensity.[7] The illusion is dependent on all of the factors involved with the illusion, not just the individual components of the illusion. The foreground and background noise must both be fitting to the criteria required for this illusion, and not just one or the other. [8]

Essentially, a sound in the foreground that is interrupted without the gap being filled by some other background noise is perceived is discontinuous, but if another sound is present during this gap, the sound is perceived as continuous. This effect is dependent on the duration, loudness, and bandwidth of the noise, with loud, short gap having the strongest illusory effect. If the gap is too long or the occluding sound too short, the illusory effect will wear off.[3]

The Brain and the Illusion

Animal models suggest that the auditory cortex is the primary cause for this auditory illusion. However, it has been shown that the human brainstem also supports auditory continuity even before the auditory cortex is involved.[2]

Other areas of the brain that are involved in this illusion are the left posterior angular gyrus, superior temporal sulcus, Broca's area, and the anterior insula. These brain regions "repair" the lost sound using past experiences and context subconsciously, creating this illusion. The brain takes in the context that is given before the sound is obscured, and these areas of the brain work to "fill in" that gap with prior knowledge.[5]

The Gap Transfer Illusion

The gap transfer illusion is very similar to this illusion; it is where an ascending tone is interrupted by another descending tone, yet only the ascending tone is perceived when the two tones intersect. This occurs only when the crossing slides have the same slope, sound spectrum, intensity (or possibly slightly lower for descending tone), and sound pressure level.[9] This illusion causes an illusion of two tones intersecting into one. This gap needs to be about 40 ms or less. This seems to be the only way that a soundless gap is perceived, usually an occluding sound must be present for the sound to have an illusory effect.[10]

References

  1. ^ Riecke, Lars; van Opstal, A. John; Formisano, Elia (2008-01-01). "The auditory continuity illusion: A parametric investigation and filter model". Perception & Psychophysics. 70 (1): 1–12. doi:10.3758/PP.70.1.1. ISSN 1532-5962.
  2. ^ a b Bidelman, Gavin M.; Patro, Chhayakanta (2016-09-01). "Auditory perceptual restoration and illusory continuity correlates in the human brainstem". Brain Research. 1646: 84–90. doi:10.1016/j.brainres.2016.05.050. ISSN 0006-8993.
  3. ^ a b Vinnik, Ekaterina; Itskov, Pavel M.; Balaban, Evan (2011-02-28). "Individual Differences in Sound-in-Noise Perception Are Related to the Strength of Short-Latency Neural Responses to Noise". PLOS ONE. 6 (2): e17266. doi:10.1371/journal.pone.0017266. ISSN 1932-6203. PMC 3046163. PMID 21387016.
  4. ^ Petkov, Christopher I.; O'Connor, Kevin N.; Sutter, Mitchell L. (April 2007). "Encoding of Illusory Continuity in Primary Auditory Cortex". Neuron. 54 (1): 153–165. doi:10.1016/j.neuron.2007.02.031. ISSN 0896-6273. PMC 2628590. PMID 17408584.
  5. ^ a b Shahin, Antoine J.; Bishop, Christopher W.; Miller, Lee M. (2009-02-01). "Neural mechanisms for illusory filling-in of degraded speech". NeuroImage. 44 (3): 1133–1143. doi:10.1016/j.neuroimage.2008.09.045. ISSN 1053-8119. PMC 2653101. PMID 18977448.
  6. ^ Riecke, Lars; Micheyl, Christophe; Oxenham, Andrew J. (2013). Moore, Brian C. J.; Patterson, Roy D.; Winter, Ian M.; Carlyon, Robert P.; Gockel, Hedwig E (eds.). "Illusory Auditory Continuity Despite Neural Evidence to the Contrary". Basic Aspects of Hearing. Advances in Experimental Medicine and Biology. New York, NY: Springer: 483–489. doi:10.1007/978-1-4614-1590-9_53. ISBN 978-1-4614-1590-9. PMC 4018575. PMID 23716255.
  7. ^ Warren, Richard M.; Wrightson, John M.; Puretz, Julian (1988-10-01). "Illusory continuity of tonal and infratonal periodic sounds". The Journal of the Acoustical Society of America. 84 (4): 1338–1342. doi:10.1121/1.396632. ISSN 0001-4966.
  8. ^ Darwin, C. J. (November 2005). "Simultaneous grouping and auditory continuity". Perception & Psychophysics. 67 (8): 1384–1390. doi:10.3758/BF03193643. ISSN 0031-5117.
  9. ^ Kuroda, Tsuyoshi; Nakajima, Yoshitaka; Tsunashima, Shimpei; Yasutake, Tatsuro (2009-01-01). "Effects of Spectra and Sound Pressure Levels on the Occurrence of the Gap Transfer Illusion:". Perception. doi:10.1068/p6032.
  10. ^ Remijn, Gerard B.; Nakajima, Yoshitaka; Tanaka, Shunsuke (2016-06-25). "Perceptual Completion of a Sound with a Short Silent Gap:". Perception. doi:10.1068/p5574.
  • Warren RM, Wrightson JM, Puretz J (1988). "Illusory continuity of tonal and infratonal periodic sounds". Journal of the Acoustical Society of America. 84 (4): 1338–42. doi:10.1121/1.396632. PMID 3198869.

External links

This article is copied from an article on Wikipedia® - the free encyclopedia created and edited by its online user community. The text was not checked or edited by anyone on our staff. Although the vast majority of Wikipedia® encyclopedia articles provide accurate and timely information, please do not assume the accuracy of any particular article. This article is distributed under the terms of GNU Free Documentation License.

Copyright © 2003-2025 Farlex, Inc Disclaimer
All content on this website, including dictionary, thesaurus, literature, geography, and other reference data is for informational purposes only. This information should not be considered complete, up to date, and is not intended to be used in place of a visit, consultation, or advice of a legal, medical, or any other professional.