Wikipedia

Hexanitroethane

Hexanitroethane
Hexanitroethane.png
Hexanitroethane-3D-vdW.png
Names
IUPAC name
1,1,1,2,2,2-Hexanitroethane
Identifiers
3D model (JSmol)
ChemSpider
ECHA InfoCard 100.011.857 Edit this at Wikidata
EC Number
  • 213-042-1
CompTox Dashboard (EPA)
Properties
C2N6O12
Molar mass 300.0544
Melting point 135 °C (275 °F; 408 K)
Related compounds
Related compounds
Nitroethane
Tetranitromethane
Trinitromethane
Hexanitrobenzene
Octanitrocubane
Except where otherwise noted, data are given for materials in their standard state (at 25 °C [77 °F], 100 kPa).

Hexanitroethane (HNE) is an organic compound with chemical formula C2N6O12 or (O2N)3C-C(NO2)3. It is a solid matter with a melting point of 135 °C.

Hexanitroethane is used in some pyrotechnic compositions as a nitrogen-rich oxidizer, e.g. in some decoy flare compositions and some propellants. Like hexanitrobenzene, HNE is investigated as a gas source for explosively pumped gas dynamic laser.

A composition of HNE as oxidizer with boron as fuel is being investigated as a new explosive.[1]

Preparation

The first synthesis was described by Wilhelm Will in 1914, using the reaction between the potassium salt of tetranitroethane with nitric acid.[2]

C2(NO2)4K2 + 4 HNO3 → C2(NO2)6 + 2 KNO3 + 2 H2O

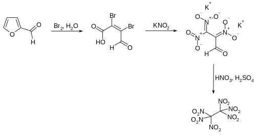
A practicable method for industrial use starts with furfural,[3] which first undergoes oxidative ring-opening by bromine to mucobromic acid.[4] In the following step, mucobromic acid is reacted with potassium nitrite at just below room temperature to form the dipotassium salt of 2,3,3-trinitropropanal. The final product is obtained by nitration with nitric acid and sulfuric acid at −60 °C.

Hexanitroethane synthesis.svg

Properties

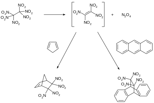
The thermal decomposition of hexanitroethane has been detected at 60 °C upwards in both the solid and solution phases.[5] Above 140 °C, this can occur explosively.[6] The decomposition is first order and is significantly faster in solution than in the solid. For the solid, the following reaction can be formulated:[5]

C2(NO2)6 → 3 NO2 + NO + N2O + 2 CO2

For the decomposition is solution, tetranitroethylene is first formed and can be trapped and detected as a Diels–Alder adduct, for example with anthracene or cyclopentadiene.[7][8]

Hexanitroethane reactions01.svg

References

  1. ^ Compatibility Testing of Hexanitroethane with Boron Archived September 30, 2007, at the Wayback Machine
  2. ^ Will, W. (1914). "Über das Hexanitro-äthan". Berichte der Deutschen Chemischen Gesellschaft (in German). 47 (1): 961–965. doi:10.1002/cber.191404701154.
  3. ^ US 3101379, "Synthesis of hexanitroethane", issued 1961-01-04
  4. ^ Taylor, G. (2015). "MUCOBROMIC ACID". Organic Syntheses. 0: 11–12. doi:10.15227/orgsyn.000.0011.
  5. ^ a b Marshall, Henry P.; Borgardt, Frank G.; Noble, Paul (1965). "Thermal Decomposition of Hexanitroethane 1a,b". The Journal of Physical Chemistry. 69 (1): 25–29. doi:10.1021/j100885a007. ISSN 0022-3654.
  6. ^ Bretherick, L. (18 March 2017). Bretherick's Handbook of Reactive Chemical hazards. Urben, P. G. (8th ed.). Amsterdam. pp. 240–241. ISBN 978-0-08-101059-4. OCLC 982005430.
  7. ^ Griffin, T. Scott; Baum, Kurt (1980). "Tetranitroethylene. In situ formation and Diels-Alder reactions". The Journal of Organic Chemistry. 45 (14): 2880–2883. doi:10.1021/jo01302a024. ISSN 0022-3263.
  8. ^ Tzeng, Dongjaw; Baum, Kurt (1983). "Reactions of hexanitroethane with alcohols". The Journal of Organic Chemistry. 48 (26): 5384–5385. doi:10.1021/jo00174a053. ISSN 0022-3263.

External links

This article is copied from an article on Wikipedia® - the free encyclopedia created and edited by its online user community. The text was not checked or edited by anyone on our staff. Although the vast majority of Wikipedia® encyclopedia articles provide accurate and timely information, please do not assume the accuracy of any particular article. This article is distributed under the terms of GNU Free Documentation License.

Copyright © 2003-2025 Farlex, Inc Disclaimer
All content on this website, including dictionary, thesaurus, literature, geography, and other reference data is for informational purposes only. This information should not be considered complete, up to date, and is not intended to be used in place of a visit, consultation, or advice of a legal, medical, or any other professional.