Wikipedia

Galactosamine

Also found in: Dictionary, Medical, Encyclopedia.
Galactosamine[1]
Galactosamine.png
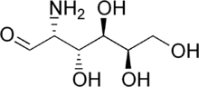
D-(+)-Galactosamine Structural Formulae V.1.svg
Names
IUPAC name
2-Amino-2-deoxy-D-galactose
Other names
α-D-galactosamine
Identifiers
3D model (JSmol)
ChEBI
ChEMBL
ChemSpider
UNII
CompTox Dashboard (EPA)
Properties
Chemical formula
C6H13NO5
Molar mass 179.171 g/mol
Melting point 180 °C (356 °F; 453 K) (HCl salt)
Except where otherwise noted, data are given for materials in their standard state (at 25 °C [77 °F], 100 kPa).

Galactosamine is a hexosamine derived from galactose with the molecular formula C6H13NO5. This amino sugar is a constituent of some glycoprotein hormones such as follicle-stimulating hormone (FSH) and luteinizing hormone (LH). Other sugar constituents of FSH and LH include glucosamine, galactose and glucose.[2]

Galactosamine is a hepatotoxic, or liver-damaging, agent that is sometimes used in animal models of liver failure.

See also

References

  1. ^ Merck Index, 11th Edition, 4240.
  2. ^ [1]

External links

This article is copied from an article on Wikipedia® - the free encyclopedia created and edited by its online user community. The text was not checked or edited by anyone on our staff. Although the vast majority of Wikipedia® encyclopedia articles provide accurate and timely information, please do not assume the accuracy of any particular article. This article is distributed under the terms of GNU Free Documentation License.

Copyright © 2003-2025 Farlex, Inc Disclaimer
All content on this website, including dictionary, thesaurus, literature, geography, and other reference data is for informational purposes only. This information should not be considered complete, up to date, and is not intended to be used in place of a visit, consultation, or advice of a legal, medical, or any other professional.