Wikipedia

Vinyl alcohol

Also found in: Encyclopedia.
(redirected from Ethenol)
Vinyl alcohol
Structural formula of ethenol
Ball-and-stick model of ethenol
Names
Preferred IUPAC name
Ethenol
Other names
Hydroxyethene
Hydroxyethylene
Identifiers
3D model (JSmol)
ChEMBL
ChemSpider
ECHA InfoCard 100.008.350 Edit this at Wikidata
CompTox Dashboard (EPA)
Properties
Chemical formula
C2H4O
Molar mass 44.053 g/mol
Except where otherwise noted, data are given for materials in their standard state (at 25 °C [77 °F], 100 kPa).

Vinyl alcohol, also called ethenol (IUPAC name), is the simplest enol. With the formula CH2CHOH, it is a labile compound that converts to acetaldehyde. It is not a precursor to polyvinyl alcohol.

Synthesis

Vinyl alcohol can be formed by the pyrolytic elimination of water from ethylene glycol at a temperature of 900 °C and low pressure.[1]

Tautomerization of vinyl alcohol to acetaldehyde

Under normal conditions, vinyl alcohol converts (tautomerizes) to acetaldehyde:

Ethenol–ethanal tautomérisation.svg

At room temperature, acetaldehyde (H3CC(O)H) is more stable than vinyl alcohol (H2C=CHOH) by 42.7 kJ/mol:[2]

H2C=CHOH → H3CC(O)H ΔH298,g = −42.7 kJ/mol
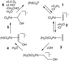
The industrial synthesis of acetaldehyde (Wacker process) proceeds via the intermediacy of a vinyl alcohol complex.[3]

The uncatalyzed keto–enol tautomerism by a 1,3-hydrogen migration is forbidden by the Woodward–Hoffmann rules and therefore has a high activation barrier and is not a significant pathway at or near room temperature. However, even trace amounts of acids or bases (including water) can catalyze the reaction. Even with rigorous precautions to minimize adventitious moisture or proton sources, vinyl alcohol can only be stored for minutes to hours before it isomerizes to acetaldehyde. (Carbonic acid is another example of a substance that is kinetically stable when rigorously pure, but decomposes rapidly due to catalysis by trace moisture.)

The tautomerization can also be catalyzed via photochemical process. These findings suggest that the keto–enol tautomerization is a viable route under atmospheric and stratospheric conditions, relevant to a role for vinyl alcohol in the production of organic acids in the atmosphere.[4][5]

Vinyl alcohol can be stabilized by controlling the water concentration in the system and utilizing the kinetic favorability of the deuterium-produced kinetic isotope effect (kH+/kD+ = 4.75, kH2O/kD2O = 12). Deuterium stabilization can be accomplished through hydrolysis of a ketene precursor in the presence of a slight stoichiometric excess of heavy water (D2O). Studies show that the tautomerization process is significantly inhibited at ambient temperatures ( kt ≈ 10−6 M/s), and the half-life of the enol form can easily be increased to t1/2 = 42 minutes for first-order hydrolysis kinetics.[6]

Relationship to poly(vinyl alcohol)

Because of the instability of vinyl alcohol, the thermoplastic polyvinyl alcohol (PVA or PVOH) is made indirectly by polymerization of vinyl acetate followed by hydrolysis of the ester bonds (Ac = acetyl; HOAc = acetic acid):

n CH2=CHOAc → (CH2−CHOAc)n
(CH2−CHOAc)n + n H2O → (CH2−CHOH)n + n HOAc

As a ligand

Several metal complexes are known that contain vinyl alcohol as a ligand. One example is Pt(acac)(η2-C2H3OH)Cl.[7]

Occurrence in interstellar medium

Vinyl alcohol was detected in the molecular cloud Sagittarius B.[8] Its stability in the (dilute) interstellar medium shows that its tautomerization does not happen unimolecularly.

See also

References

  1. ^ Clayden, Jonathan; Greeves, Nick; Warren, Stuart. Organic Chemistry, 2nd edition, pp. 456-57. Oxford University Press, 2012. ISBN 978-0-19-927029-3.
  2. ^ R.D. Johnson III. "CCCBDB NIST Standard Reference Database". Retrieved 2014-08-30.
  3. ^ J. A. Keith, P. M. Henry (2009). "The Mechanism of the Wacker Reaction: A Tale of Two Hydroxypalladations". Angew. Chem. Int. Ed. 48: 9038–9049. doi:10.1002/anie.200902194. PMID 19834921.
  4. ^ Heazlewood, B. R.; Maccarone, A. T.; Andrews, D. U.; Osborn, D. L.; Harding, L. B.; Klippenstein, S. J.; Jordan, M. J. T.; Kable, S. H. "Near-threshold H/D exchange in CD3CHO photodissociation." Nat. Chem. 2011, 3, 443−448. doi:10.1038/nchem.1052
  5. ^ Andrews D. U., Heazlewood B. R., Maccarone A. T., Conroy T., Payne R. J., Jordan M. J. T., Kable S. H. (2012). "Photo-tautomerization of acetaldehyde to vinyl alcohol: A potential route to tropospheric acids". Science. 337: 1203–1206. doi:10.1126/science.1220712. PMID 22903524.
  6. ^ Cederstav, Anna K.; Novak, Bruce M. (1994). "Investigations into the Chemistry of Thermodynamically Unstable Species. The Direct Polymerization of Vinyl Alcohol, the Enolic Tautomer of Acetaldehyde". Journal of the American Chemical Society. 100 (9): 4073–4074. doi:10.1021/ja00088a051.
  7. ^ Cotton F. A., Francis J. N., Frenz B. A., Tsutsui M. (1973). "Structure of a dihapto(vinyl alcohol) complex of platinum(II)". Journal of the American Chemical Society. 95: 2483–6. doi:10.1021/ja00789a011.
  8. ^ "Scientists Toast the Discovery of Vinyl Alcohol in Interstellar Space". National Radio Astronomy Observatory. 2001-10-01. Retrieved 2006-12-20.
This article is copied from an article on Wikipedia® - the free encyclopedia created and edited by its online user community. The text was not checked or edited by anyone on our staff. Although the vast majority of Wikipedia® encyclopedia articles provide accurate and timely information, please do not assume the accuracy of any particular article. This article is distributed under the terms of GNU Free Documentation License.

Copyright © 2003-2025 Farlex, Inc Disclaimer
All content on this website, including dictionary, thesaurus, literature, geography, and other reference data is for informational purposes only. This information should not be considered complete, up to date, and is not intended to be used in place of a visit, consultation, or advice of a legal, medical, or any other professional.