Wikipedia

Econazole

Also found in: Dictionary, Medical, Encyclopedia.
Econazole
Econazole.svg
Clinical data
Trade namesSpectazole, Ecostatin, others
AHFS/Drugs.comMonograph
MedlinePlusa684049
License data
Pregnancy
category
ATC code
Legal status
Legal status
Identifiers
CAS Number
PubChem CID
IUPHAR/BPS
DrugBank
ChemSpider
UNII
KEGG
ChEBI
ChEMBL
CompTox Dashboard (EPA)
ECHA InfoCard100.043.932 Edit this at Wikidata
Chemical and physical data
FormulaC18H15Cl3N2O
Molar mass381.68 g·mol−1
3D model (JSmol)
ChiralityRacemic mixture
(verify)

Econazole is an antifungal medication of the imidazole class.[2] It is sold under the brand names Spectrazole (United States) and Ecostatin (Canada), among others. It is a component of Pevisone, Ecoderm-TA[3] and ECOSONE (econazole/triamcinolone).

It was patented in 1968, and approved for medical use in 1974.[4]

Medical uses

Econazole is used as a cream to treat skin infections such as athlete's foot, tinea, pityriasis versicolor, ringworm, and jock itch. It is also sold in Canada under the brand name Ecostatin as vaginal ovules to treat vaginal thrush.

Econazole nitrate exhibits strong anti-feeding properties against the keratin-digesting common clothes moth Tineola bisselliella.[5]

Adverse effects

About 3% of patients treated with econazole nitrate cream reported side effects. The most common symptoms were burning, itching, redness (erythema), and one outbreak of a pruritic rash.[6]

Synthesis

Imidazoles devoid of the nitro group no longer have any antiprotozoal activity, however, such drugs are effective antifungal agents.

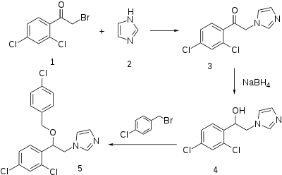
Econazole synthesis:[7] DE 1940388 U.S. Patent 3,717,655 (1970, 1973 both to Janssen).

Alkylation of imidazole (2) with bromoketone (1) prepared from o,p-dichloroacetophenone affords the displacement product (3). Reduction of the ketone with sodium borohydride gives the corresponding alcohol (4). Alkylation of the alkoxide from that alcohol with p-chlorobenzyl chloride leads to econazole (5); alkylation with o,p-dichlorobenzyl chloride gives miconazole.

References

  1. ^ a b "Econazole topical Use During Pregnancy". Drugs.com. 3 September 2018. Retrieved 31 January 2020.
  2. ^ Thienpont D, Van Cutsem J, Van Nueten JM, Niemegeers CJ, Marsboom R (February 1975). "Bilogical and toxicological properties of econazole, a broad-spectrum antimycotic". Arzneimittel-Forschung. 25 (2): 224–30. PMID 1173036.
  3. ^ Product descriptions Archived 2011-08-31 at the Wayback Machine at REPHCO Pharmaceuticals Limited, Bangladesh. Retrieved June 2012
  4. ^ Fischer J, Ganellin CR (2006). Analogue-based Drug Discovery. John Wiley & Sons. p. 502. ISBN 9783527607495.
  5. ^ Sunderland MR, Cruickshank RH, Leighs SJ (2014). "The efficacy of antifungal azole and antiprotozoal compounds in protection of wool from keratin-digesting insect larvae". Textile Research Journal. 84 (9): 924–931. doi:10.1177/0040517513515312. S2CID 135799368.
  6. ^ "Econazole nitrate cream". Daily Med. U.S. National Library of Medicine.
  7. ^ Godefroi EF, Heeres J, Van Cutsem J, Janssen PA (September 1969). "The preparation and antimycotic properties of derivatives of 1-phenethylimidazole". Journal of Medicinal Chemistry. 12 (5): 784–91. doi:10.1021/jm00305a014. PMID 4897900.

External links

  • "Econazole". Drug Information Portal. U.S. National Library of Medicine.


This article is copied from an article on Wikipedia® - the free encyclopedia created and edited by its online user community. The text was not checked or edited by anyone on our staff. Although the vast majority of Wikipedia® encyclopedia articles provide accurate and timely information, please do not assume the accuracy of any particular article. This article is distributed under the terms of GNU Free Documentation License.

Copyright © 2003-2025 Farlex, Inc Disclaimer
All content on this website, including dictionary, thesaurus, literature, geography, and other reference data is for informational purposes only. This information should not be considered complete, up to date, and is not intended to be used in place of a visit, consultation, or advice of a legal, medical, or any other professional.