Wikipedia

Duffing equation

A Poincaré section of the forced Duffing equation suggesting chaotic behaviour and .

The Duffing equation (or Duffing oscillator), named after Georg Duffing (1861–1944), is a non-linear second-order differential equation used to model certain damped and driven oscillators. The equation is given by

where the (unknown) function is the displacement at time is the first derivative of with respect to time, i.e. velocity, and is the second time-derivative of i.e. acceleration. The numbers and are given constants.

The equation describes the motion of a damped oscillator with a more complex potential than in simple harmonic motion (which corresponds to the case ); in physical terms, it models, for example, an elastic pendulum whose spring's stiffness does not exactly obey Hooke's law.

The Duffing equation is an example of a dynamical system that exhibits chaotic behavior. Moreover, the Duffing system presents in the frequency response the jump resonance phenomenon that is a sort of frequency hysteresis behaviour.

Parameters

The parameters in the above equation are:

  • controls the amount of damping,
  • controls the linear stiffness,
  • controls the amount of non-linearity in the restoring force; if the Duffing equation describes a damped and driven simple harmonic oscillator,
  • is the amplitude of the periodic driving force; if the system is without a driving force, and
  • is the angular frequency of the periodic driving force.

The Duffing equation can be seen as describing the oscillations of a mass attached to a nonlinear spring and a linear damper. The restoring force provided by the nonlinear spring is then

When and the spring is called a hardening spring. Conversely, for it is a softening spring (still with ). Consequently, the adjectives hardening and softening are used with respect to the Duffing equation in general, dependent on the values of (and ).[1]

The number of parameters in the Duffing equation can be reduced by two through scaling, e.g. the excursion and time can be scaled as:[2] and assuming is positive (other scalings are possible for different ranges of the parameters, or for different emphasis in the problem studied). Then:[3]

where and

The dots denote differentiation of with respect to This shows that the solutions to the forced and damped Duffing equation can be described in terms of the three parameters ( and ) and two initial conditions (i.e. for and ).

Methods of solution

In general, the Duffing equation does not admit an exact symbolic solution. However, many approximate methods work well:

  • Expansion in a Fourier series may provide an equation of motion to arbitrary precision.
  • The term, also called the Duffing term, can be approximated as small and the system treated as a perturbed simple harmonic oscillator.
  • The Frobenius method yields a complex but workable solution.
  • Any of the various numeric methods such as Euler's method and Runge-Kutta can be used.
  • The homotopy analysis method (HAM) has also been reported for obtaining approximate solutions of the Duffing equation, also for strong nonlinearity.[4][5]

In the special case of the undamped () and undriven () Duffing equation, an exact solution can be obtained using Jacobi's elliptic functions.[6]

Boundedness of the solution for the unforced oscillator

Undamped oscillator

Multiplication of the undamped and unforced Duffing equation, with gives:[7]

with H a constant. The value of H is determined by the initial conditions and

The substitution in H shows that the system is Hamiltonian:

with

When both and are positive, the solution is bounded:[7]

and

with the Hamiltonian H being positive.

Damped oscillator

Similarly, for the damped oscillator,[8]

since for damping. Without forcing the damped Duffing oscillator will end up at (one of) its stable equilibrium point(s). The equilibrium points, stable and unstable, are at If the stable equilibrium is at If and the stable equilibria are at and

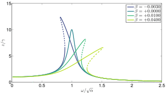
Frequency response

Frequency response as a function of for the Duffing equation, with and damping The dashed parts of the frequency response are unstable.[3]

The forced Duffing oscillator with cubic nonlinearity is described by the following ordinary differential equation:

The frequency response of this oscillator describes the amplitude of steady state response of the equation (i.e. ) at a given frequency of excitation For a linear oscillator with the frequency response is also linear. However, for a nonzero cubic coefficient, the frequency response becomes nonlinear. Depending on the type of nonlinearity, the Duffing oscillator can show hardening, softening or mixed hardening–softening frequency response. Anyway, using the homotopy analysis method or harmonic balance, one can derive a frequency response equation in the following form:[9][5]

For the parameters of the Duffing equation, the above algebraic equation gives the steady state oscillation amplitude at a given excitation frequency.

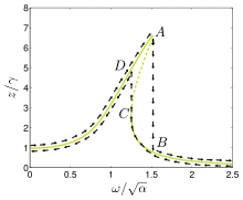
Jumps

Jumps in the frequency response. The parameters are: , and [9]

For certain ranges of the parameters in the Duffing equation, the frequency response may no longer be a single-valued function of forcing frequency For a hardening spring oscillator ( and large enough positive ) the frequency response overhangs to the high-frequency side, and to the low-frequency side for the softening spring oscillator ( and ). The lower overhanging side is unstable – i.e. the dashed-line parts in the figures of the frequency response – and cannot be realized for a sustained time. Consequently, the jump phenomenon shows up:

  • when the angular frequency is slowly increased (with other parameters fixed), the response amplitude drops at A suddenly to B,
  • if the frequency is slowly decreased, then at C the amplitude jumps up to D, thereafter following the upper branch of the frequency response.

The jumps A–B and C–D do not coincide, so the system shows hysteresis depending on the frequency sweep direction.[9]

Examples

Time traces and phase portraits
period-1 oscillation at
period-2 oscillation at
period-4 oscillation at
period-5 oscillation at
chaos at
period-2 oscillation at

Some typical examples of the time series and phase portraits of the Duffing equation, showing the appearance of subharmonics through period-doubling bifurcation – as well chaotic behavior – are shown in the figures below. The forcing amplitude increases from to The other parameters have the values: and The initial conditions are and The red dots in the phase portraits are at times which are an integer multiple of the period [10]

References

Inline

  1. ^ Thompson, J.M.T.; Stewart, H.B. (2002). Nonlinear Dynamics and Chaos. John Wiley & Sons. p. 66. ISBN 9780471876847.
  2. ^ Lifshitz, R.; Cross, M.C. (2008). "Nonlinear mechanics of nanomechanical and micromechanical resonators". In Schuster, H.G. (ed.). Reviews of Nonlinear Dynamics and Complexity. Wiley. pp. 8–9. ISBN 9783527407293. LCCN 2008459659.
  3. ^ a b Brennan, M.J.; Kovacic, I.; Carrella, A.; Waters, T.P. (2008). "On the jump-up and jump-down frequencies of the Duffing oscillator". Journal of Sound and Vibration. 318 (4–5): 1250–1261. doi:10.1016/j.jsv.2008.04.032.
  4. ^ Kovacic & Brennan (2011, pp. 123–127)
  5. ^ a b Tajaddodianfar, F.; Yazdi, M.R.H.; Pishkenari, H.N. (2016). "Nonlinear dynamics of MEMS/NEMS resonators: analytical solution by the homotopy analysis method". Microsystem Technologies. doi:10.1007/s00542-016-2947-7.
  6. ^ Rand, R.H. (2012), Lecture notes on nonlinear vibrations (PDF), 53, Cornell University, pp. 13–17
  7. ^ a b Bender & Orszag (1999, p. 546)
  8. ^ Takashi Kanamaru (ed.). "Duffing oscillator". Scholarpedia.
  9. ^ a b c d Jordan & Smith (2007, pp. 223–233)
  10. ^ Based on the examples shown in Jordan & Smith (2007, pp. 453–462)

Historical

  • Duffing, G. (1918), Erzwungene Schwingungen bei veränderlicher Eigenfrequenz und ihre technische Bedeutung [Forced oscillations with variable natural frequency and their technical relevance] (in German), Heft 41/42, Braunschweig: Vieweg, vi+134 pp., OCLC 12003652

Other

  • Addison, P.S. (1997), Fractals and Chaos: An illustrated course, CRC Press, pp. 147–148, ISBN 9780849384431
  • Bender, C.M.; Orszag, S.A. (1999), Advanced Mathematical Methods for Scientists and Engineers I: Asymptotic Methods and Perturbation Theory, Springer, pp. 545–551, ISBN 9780387989310
  • Jordan, D.W.; Smith, P. (2007), Nonlinear ordinary differential equations – An introduction for scientists and engineers (4th ed.), Oxford University Press, ISBN 978-0-19-920824-1
  • Kovacic, I.; Brennan, M.J., eds. (2011), The Duffing Equation: Nonlinear Oscillators and their Behaviour, Wiley, 392 pp., ISBN 978-0-470-71549-9

External links

This article is copied from an article on Wikipedia® - the free encyclopedia created and edited by its online user community. The text was not checked or edited by anyone on our staff. Although the vast majority of Wikipedia® encyclopedia articles provide accurate and timely information, please do not assume the accuracy of any particular article. This article is distributed under the terms of GNU Free Documentation License.

Copyright © 2003-2025 Farlex, Inc Disclaimer
All content on this website, including dictionary, thesaurus, literature, geography, and other reference data is for informational purposes only. This information should not be considered complete, up to date, and is not intended to be used in place of a visit, consultation, or advice of a legal, medical, or any other professional.