Wikipedia

Dithiothreitol

Also found in: Medical, Acronyms.
Dithiothreitol[1]
Skeletal formula of dithiothreitol
Ball-and-stick model of the dithiothreitol molecule
Names
Preferred IUPAC name
(2S,3S)-1,4-Bis(sulfanyl)butane-2,3-diol
Other names
(2S,3S)-1,4-Dimercaptobutane-2,3-diol
D-threo-1,4-Dimercaptobutane-2,3-diol
D-threo-1,4-Dimercapto-2,3-butanediol
1,4-Dithio-D-threitol
Cleland's reagent
Reductacryl
Identifiers
3D model (JSmol)
ChEBI
ChEMBL
ChemSpider
DrugBank
ECHA InfoCard 100.020.427 Edit this at Wikidata
UNII
CompTox Dashboard (EPA)
Properties
C4H10O2S2
Molar mass 154.253 g/mol
Appearance White solid
Melting point 42 to 43 °C (108 to 109 °F; 315 to 316 K)
Boiling point 125 to 130 °C (257 to 266 °F; 398 to 403 K) at 2 mmHg
Soluble
Except where otherwise noted, data are given for materials in their standard state (at 25 °C [77 °F], 100 kPa).

Dithiothreitol (DTT) is the common name for a small-molecule redox reagent also known as Cleland's reagent.[2] DTT's formula is C4H10O2S2 and the chemical structure of one of its enantiomers in its reduced form is shown on the right; its oxidized form is a disulfide bonded 6-membered ring (shown below). The reagent is commonly used in its racemic form, as both enantiomers are reactive. Its name derives from the four-carbon sugar, threose. DTT has an epimeric ('sister') compound, dithioerythritol (DTE).

Reducing agent

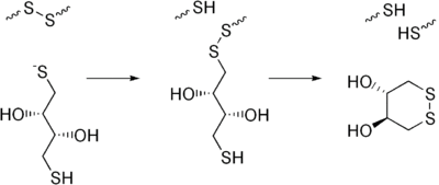
DTT is a reducing agent; once oxidized, it forms a stable six-membered ring with an internal disulfide bond. It has a redox potential of −0.33 V at pH 7.[1] The reduction of a typical disulfide bond proceeds by two sequential thiol-disulfide exchange reactions and is illustrated below. The reduction usually does not stop at the mixed-disulfide species because the second thiol of DTT has a high propensity to close the ring, forming oxidized DTT and leaving behind a reduced disulfide bond. The reducing power of DTT is limited to pH values above 7, since only the negatively charged thiolate form -S is reactive (the protonated thiol form -SH is not); the pKa of the thiol groups is 9.2 and 10.1.

Reduction of a typical disulfide bond by DTT via two sequential thiol-disulfide exchange reactions.

Applications

DTT is used as a reducing or "deprotecting" agent for thiolated DNA. The terminal sulfur atoms of thiolated DNA have a tendency to form dimers in solution, especially in the presence of oxygen. Dimerization greatly lowers the efficiency of subsequent coupling reactions such as DNA immobilization on gold in biosensors. Typically DTT is mixed with a DNA solution and allowed to react, and then is removed by filtration (for the solid catalyst) or by chromatography (for the liquid form). The DTT removal procedure is often called "desalting." Generally, DTT is used as a protecting agent that prevents oxidation of thiol groups.

DTT is frequently used to reduce the disulfide bonds of proteins and, more generally, to prevent intramolecular and intermolecular disulfide bonds from forming between cysteine residues of proteins. However, even DTT cannot reduce buried (solvent-inaccessible) disulfide bonds, so reduction of disulfide bonds is sometimes carried out under denaturing conditions (e.g., at high temperatures, or in the presence of a strong denaturant such as 6 M guanidinium chloride, 8 M urea, or 1% sodium dodecylsulfate). DTT is oftentimes used along with sodium dodecylsulfate in SDS-PAGE to further denature proteins by reducing their disulfide bonds to allow for better separation of proteins during electrophoresis. Because of the ability to reduce disulfide bonds, DTT can be used to denature CD38 on red blood cells. Conversely, the solvent exposure of different disulfide bonds can be assayed by their rate of reduction in the presence of DTT.

DTT can also be used as an oxidizing agent. Its principal advantage is that effectively no mixed-disulfide species are populated, in contrast to other agents such as glutathione. In very rare cases, a DTT adduct may be formed, i.e., the two sulfur atoms of DTT may form disulfide bonds to different sulfur atoms; in such cases, DTT cannot cyclize since it has no such remaining free thiols.

Properties

DTT is unstable in ambient atmospheric conditions as it is oxidized by oxygen; DTT should be stored and handled under inert gasses to prevent oxidation. Dithiothreitol shelf life can be extended with refrigeration at 2–8 °C.[3] Oxidation presents further complications as oxidized DTT exhibits a strong absorbance peak at 280 nm. Since thiols are less nucleophilic than their conjugate bases, thiolates, DTT becomes a less potent nucleophile as the pH falls. (2S)-2-Amino-1,4-dimercaptobutane (dithiobutylamine or DTBA) is a new dithiol reducing agent that somewhat overcomes this limitation of DTT.[4] Tris(2-carboxyethyl)phosphine (TCEP) is an alternative reducing agent that is more stable and effective at low pH, but is bulky and reduces cystines in folded proteins only slowly.[5]

DTT's half-life is 40 hours at pH 6.5 and 1.4 hours at pH 8.5 and 20 °C; its half-life decreases further as temperature increases. The presence of EDTA (ethylenediaminetetraacetic acid) to chelate divalent metal ions (Fe2+, Cu2+ and others) considerably increases the half-life of DTT in solution.[6]

  1. ^ a b O'Neil MJ, ed. (2001). Merck Index : an encyclopedia of chemicals, drugs, & biologicals (13th ed.). United States: Merck & Co, Inc. ISBN 0-911910-13-1.
  2. ^ Cleland WW (April 1964). "Dithiothreitol, a New Protective Reagent for SH Groups". Biochemistry. 3 (4): 480–2. doi:10.1021/bi00892a002. PMID 14192894.
  3. ^ "NLM PubChem CID Index", Vitamin D Handbook, John Wiley & Sons, Inc., pp. 239–244, 2007, doi:10.1002/9780470238165.indsp1, ISBN 978-0-470-23816-5
  4. ^ Lukesh JC, Palte MJ, Raines RT (March 2012). "A potent, versatile disulfide-reducing agent from aspartic acid". Journal of the American Chemical Society. 134 (9): 4057–9. doi:10.1021/ja211931f. PMC 3353773. PMID 22353145.
  5. ^ Cline DJ, Redding SE, Brohawn SG, Psathas JN, Schneider JP, Thorpe C (December 2004). "New water-soluble phosphines as reductants of peptide and protein disulfide bonds: reactivity and membrane permeability". Biochemistry. 43 (48): 15195–203. doi:10.1021/bi048329a. PMID 15568811.
  6. ^ Stevens R, Stevens L, Price NC (1983). "The Stabilities of Various Thiol Compounds used in Protein Purifications". Biochemical Education. 11 (2): 70. doi:10.1016/0307-4412(83)90048-1.

External links

  • Media related to Dithiothreitol at Wikimedia Commons
This article is copied from an article on Wikipedia® - the free encyclopedia created and edited by its online user community. The text was not checked or edited by anyone on our staff. Although the vast majority of Wikipedia® encyclopedia articles provide accurate and timely information, please do not assume the accuracy of any particular article. This article is distributed under the terms of GNU Free Documentation License.

Copyright © 2003-2025 Farlex, Inc Disclaimer
All content on this website, including dictionary, thesaurus, literature, geography, and other reference data is for informational purposes only. This information should not be considered complete, up to date, and is not intended to be used in place of a visit, consultation, or advice of a legal, medical, or any other professional.