Transition metal dinitrogen complexes are coordination compounds that contain transition metals as ion centers the dinitrogen molecules (N2) as ligands.[1]
Historical background
Transition metal complexes of N2 have been studied since 1965 when the first complex was reported by Allen and Senoff.[2] This diamagnetic complex, [Ru(NH3)5(N2)]2+, was synthesized from hydrazine hydrate and ruthenium trichloride and consists of a 16e− [Ru(NH3)5]2+ centre attached to one end of N2.[3][4] N2 as a ligand in this compounds was identified by IR spectrum with a strong band around 2170–2100 cm−1.[3] In 1966, the molecular structure of [Ru(NH3)5(N2)]Cl2 was determined by Bottomly and Nyburg by X-ray crystallography.[5]
The dinitrogen complex trans-[IrCl(N2)(PPh3)2] is made by treating Vaska's complex with aromatic acyl azides. It has a planar geometry.[6]
The first preparation of a metal-dinitrogen complex using dinitrogen was reported in 1967 by Yamamoto and coworkers. They obtained Co[H(N2)(PPh3)3] by reduction of Co(acac)3 with AlEt2OEt under an atmosphere of N2. Containing both hydrido and N2 ligands, the complex was of potential relevance to nitrogen fixation.[7]
From the late 1960s, a variety of transition metal-dinitrogen complexes were made including those with iron,[8] molybdenum[9] and vanadium[10] as metal centers. Interest in such complexes arises because N2 comprises the majority of the atmosphere and because many useful compounds contain nitrogen. Biological nitrogen fixation probably occurs via the binding of N2 to those metal centers in the enzyme nitrogenase, followed by a series of steps that involve electron transfer and protonation.[11]
Bonding modes
In terms of its bonding to transition metals, N2 is related to CO and acetylene as all three species have triple bonds. A variety of bonding modes have been characterized. Based on whether the N2 molecules are shared by two more metal centers, the complexes can be classified into mononuclear and bridging. Based on the geometric relationship between the N2 molecule and the metal center, the complexes can be classified into end-on or side-on modes. In the end-on bonding modes of transition metal-dinitrogen complexes, the N-N vector can be considered in line with the metal ion center, whereas in the side-on modes, the metal-ligand bond is known to be perpendicular to the N-N vector.[12]
Mononuclear, end-on
As a ligand, N2 usually binds to metals as an "end-on" ligand, as illustrated by [Ru(NH3)5N2]2+. Such complexes are usually analogous to related CO derivatives. This relationship is illustrated by the pair of complexes IrCl(CO)(PPh3)2 and IrCl(N2)(PPh3)2.[13] In these mononuclear cases, N2 is both as a σ-donor and a π-acceptor. The M-N-N bond angles are close to 180°.[1] N2 is a weaker pi-acceptor than CO, reflecting the nature of the π* orbitals on CO vs N2. For this reason, few examples exist of complexes containing both CO and N2 ligand.
Transition metal-dinitrogen complexes can contain more than one N2 as "end-on" ligands, such as mer-[Mo(N2)3(PPrn2Ph)3], which has octahedral geometry.[14] In another example, the dinitrogen ligand in Mo(N2)2(Ph2PCH2CH2PPh2)2 can be reduced to produce ammonia.[15] Because many nitrogenases contain Mo, there has been particular interest in Mo-N2 complexes.
Bridging, end-on
N2 also serves as a bridging ligand with "end-on" bonding to two metal centers, as illustrated by {[Ru(NH3)5]2(μ-N2)}4+. These complexes are also called multinuclear dinitrogen complexes. In contrast to their mononuclear counterpart, they can be prepared for both early and late transition metals.[1]
In 2006, a study of iron-dinitrogen complexes by Holland and coworkers showed that the N–N bond is significantly weakened upon complexation with iron atoms with a low coordination number. The complex involved bidentate chelating ligands attached to the iron atoms in the Fe–N–N–Fe core, in which N2 acts as a bridging ligand between two iron atoms. Increasing the coordination number of iron by modifying the chelating ligands and adding another ligand per iron atom showed an increase in the strength of the N–N bond in the resulting complex. It is thus suspected that Fe in a low-coordination environment is a key factor to the fixation of nitrogen by the nitrogenase enzyme, since its Fe–Mo cofactor also features Fe with low coordination numbers.[16]
The average bond length of those bridging-end-on dinitrogen complexes are about 1.2 Å. Within some cases, the bond length can be as long as 1.4 Å, which is similar to those of N-N single bonds.[17]
Mononuclear, side-on
In comparison with their end-on counterpart, the mononuclear side-on dinitrogen complexes are usually higher in energy and the examples of them are rare. Dinitrogen act as a π-donor in these type of complexes. Fomitchev and Coppens has reported the first crystallographic evidence for side-on coordination of N2 to a single metal center in a photoinduced metastable state. When treated with UV light, the transition metal-dinitrogen complex, [Os(NH3)5(N2)]2+ in solid states can be converted into a metastable state of [Os(NH3)5(η2-N2)]2+, where the vibration of dinitrogen has shifted from 2025 to 1831 cm−1.
Some other examples are considered to exist in the transition states of intramolecular linkage isomerizations. Armor and Taube has reported these isomerizations using 15N-labelled dinitrogen as ligands.[18]
Bridging, side-on
In a second mode of bridging, bimetallic complexes are known wherein the N-N vector is perpendicular to the M-M vector, which can be considered as side-on fashion. One example is [(η5-C5Me4H)2Zr]2(μ2,η2,η2-N2).[19] The dimetallic complex can react with H2 to achieve the artificial nitrogen fixation by reducing N2.[20] A related ditantalum tetrahydride complex could also reduce N2.[21]
Reactivity

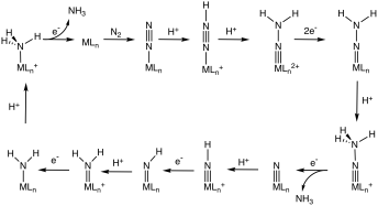
Some metal-dintrogen complexes catalyze the hydrogenation of N2 to ammonia.[22] One such catalyst is the Mo(III) triamidoaminocomplex Mo[(HIPTN)3N].[23] This system utilizes reductants such as Cp*2Cr and protonating reagents such as 2,6-lutidinium salts.[24] The reducing equivalents and protons are added stepwise. The cycle begins with N2 coordinated to Mo in an end-on fashion. The oxidation state of molybdenum remains unchanged until the last step when it is oxidized from Mo(III) to Mo(IV). For the rest of the cycle, dinitrogen is bound to Mo via a double or a triple bond accompanied by the change in oxidation state of Mo from +4 to +5 and the release of 2 equivalents of ammonia gas. In another homogeneous catalytic system based on molybdenum[25] the precatalyst is a dinitrogen-bridged dimolybdenum complex bearing PNP(2,6-bis(di-tert-butyl phosphinomethyl) pyridine) ligand. Adding acids to the precatalyst leads to the splitting of dinitrogen bridged dimolybdenum complex and generates an inactive molybdenum hydride cation and an active molybdenum nitrogen adduct MoPNP(N2). The latter MoPNP(N2) can then undergo a full catalytic cycle with the proton and the electron addition to form ammonia. However this catalytic system needs a large excess of cobaltocene (72 equiv) and [LutH]OTf (96 equiv).[1]
References
- ^ a b c d e Yoshiaki Nishibayashi, ed. (2019). Transition Metal-Dinitrogen Complexes: Preparation and Reactivity. Wiley-VCH. ISBN 978-3-527-34425-3.
- ^ Senoff, Caesar V. (1990). "The discovery of [Ru(NH3)5N2]2+: A Case of Serendipity and the Scientific Method". Journal of Chemical Education. 67 (5): 368. Bibcode:1990JChEd..67..368S. doi:10.1021/ed067p368.
- ^ a b A. D. Allen; C. V. Senoff (1965). "Nitrogenopentammineruthenium(II) complexes". Journal of the Chemical Society, Chemical Communications (24): 621. doi:10.1039/C19650000621.
- ^ Fryzuk, Michael D. (2013). "N2 Coordination". Chem. Commun. 49 (43): 4866–4868. doi:10.1039/C3CC42001A. PMID 23609888.
- ^ Bottomley, F.; Nyburg, S. C. (1968-10-15). "Molecular nitrogen as a ligand. The crystal structure of nitrogenpentaammineruthenium(II) dichloride and related salts". Acta Crystallographica Section B. 24 (10): 1289–1293. doi:10.1107/S056774086800419X. ISSN 0567-7408.
- ^ Collman, James P.; Kubota, Mitsuru.; Vastine, Frederick D.; Sun, Jui Yuan.; Kang, Jung W. (September 1968). "Iridium complexes of molecular nitrogen". Journal of the American Chemical Society. 90 (20): 5430–5437. doi:10.1021/ja01022a018. ISSN 0002-7863.
- ^ Yamamoto, Akio; Kitazume, Shoji; Pu, Lyong Sun; Ikeda, Sakuji (January 1971). "Synthesis and properties of hydridodinitrogentris(triphenylphosphine)cobalt(I) and the related phosphine-cobalt complexes". Journal of the American Chemical Society. 93 (2): 371–380. doi:10.1021/ja00731a012. ISSN 0002-7863.
- ^ Aresta, M.; Giannoccaro, P.; Rossi, M.; Sacco, A. (1971-03-01). "Nitrogen fixation.: II. Dinitrogen-complexes of iron". Inorganica Chimica Acta. 5: 203–206. doi:10.1016/S0020-1693(00)95914-0. ISSN 0020-1693.
- ^ Hidai, M.; Tominari, K.; Uchida, Y.; Misono, A. (1969). "A molybdenum complex containing molecular nitrogen". Journal of the Chemical Society D: Chemical Communications (14): 814. doi:10.1039/c29690000814. ISSN 0577-6171.
- ^ Song, Jae-Inh; Gambarotta, Sandro (October 1996). "Preparation, Characterization, and Reactivity of a Diamagnetic Vanadium Nitride". Chemistry - A European Journal. 2 (10): 1258–1263. doi:10.1002/chem.19960021012. ISSN 0947-6539.
- ^ Li, Jiapeng; Yin, Jianhao; Yu, Chao; Zhang, Wenxiong; Xi, Zhenfeng (2017). "Direct Transformation of N2 to N-Containing Organic Compounds". Acta Chimica Sinica (in Chinese). 75 (8): 733. doi:10.6023/a17040170. ISSN 0567-7351.
- ^ Fryzuk, Michael D. (2009-01-20). "Side-on End-on Bound Dinitrogen: An Activated Bonding Mode That Facilitates Functionalizing Molecular Nitrogen". Accounts of Chemical Research. 42 (1): 127–133. doi:10.1021/ar800061g. ISSN 0001-4842. PMID 18803409.
- ^ Collman, J. P.; Hoffman, N. W.; Hosking, J. W. (2000). trans-Chloro(nitrogen)bis(triphenylphosphine)iridium (I). Inorganic Syntheses. 12. pp. 8–11. doi:10.1002/9780470132432.ch2. ISBN 978-0-470-13171-8.
- ^ Anderson, S. N.; Hughes, D. L.; Richards, R. L. (1984). "A tris-dinitrogen complex. Preparation and crystal structure of mer-[Mo(N2)3(PPrn2Ph)3]". Journal of the Chemical Society, Chemical Communications. 0 (15): 958–959. doi:10.1039/C39840000958.
- ^ Modern Coordination Chemistry: The Legacy of Joseph Chatt" G. J. Leigh, N. W. Winterton Springer Verlag (2002). ISBN 0-85404-469-8
- ^ Smith, Jeremy M.; Sadique, Azwana R.; Cundari, Thomas R.; Rodgers, Kenton R.; Lukat-Rodgers, Gudrun; Lachicotte, Rene J.; Flaschenriem, Christine J.; Vela, Javier; Holland, Patrick L. (2006-01-01). "Studies of Low-Coordinate Iron Dinitrogen Complexes". Journal of the American Chemical Society. 128 (3): 756–769. doi:10.1021/ja052707x. ISSN 0002-7863. PMID 16417365.
- ^ Fryzuk, Michael D.; Haddad, T. S.; Mylvaganam, Murugesapillai; McConville, David H.; Rettig, Steven J. (1993-04-01). "End-on versus side-on bonding of dinitrogen to dinuclear early transition-metal complexes". Journal of the American Chemical Society. 115 (7): 2782–2792. doi:10.1021/ja00060a028. ISSN 0002-7863.
- ^ Armor, John N.; Taube, Henry. (April 1970). "Linkage isomerization in nitrogen-labeled [Ru(NH3)5N2]Br2". Journal of the American Chemical Society. 92 (8): 2560–2562. doi:10.1021/ja00711a066. ISSN 0002-7863.
- ^ Bernskoetter, W. H.; Lobkovsky, E.; Chirik, P. J. (2005). "Kinetics and Mechanism of N2 Hydrogenation in Bis(cyclopentadienyl) Zirconium Complexes and Dinitrogen Functionalization by 1,2-Addition of a Saturated C-H Bond". Journal of the American Chemical Society. 127 (40): 14051–14061. doi:10.1021/ja0538841. PMID 16201827.
- ^ Pool, Jaime A.; Lobkovsky, Emil; Chirik, Paul J. (2004). "Hydrogenation and cleavage of dinitrogen to ammonia with a zirconium complex". Nature. 427 (6974): 527–530. Bibcode:2004Natur.427..527P. doi:10.1038/nature02274. PMID 14765191. S2CID 4379465.
- ^ Fryzuk, Michael D. (2008-09-20). "Side-on End-on Bound Dinitrogen: An Activated Bonding Mode That Facilitates Functionalizing Molecular Nitrogen". Accounts of Chemical Research. 42 (1): 127–133. doi:10.1021/ar800061g. PMID 18803409.
- ^ Allen, Albert Derrick; Bottomley, F. (December 1968). "Inorganic nitrogen fixation. Nitrogen compounds of the transition metals". Accounts of Chemical Research. 1 (12): 360–365. doi:10.1021/ar50012a002. ISSN 0001-4842.
- ^ Yandulov, Dmitry V.; Schrock, Richard R. (2003-07-04). "Catalytic Reduction of Dinitrogen to Ammonia at a Single Molybdenum Center". Science. 301 (5629): 76–78. Bibcode:2003Sci...301...76Y. doi:10.1126/science.1085326. ISSN 0036-8075. PMID 12843387. S2CID 29046992.
- ^ Ballmann, Joachim; Munhá, Rui F.; Fryzuk, Michael D. (2010). "The hydride route to the preparation of dinitrogen complexes". Chemical Communications. 46 (7): 1013–25. doi:10.1039/b922853e. PMID 20126700.
- ^ Arashiba, Kazuya; Miyake, Yoshihiro; Nishibayashi, Yoshiaki (2011). "A molybdenum complex bearing PNP-type pincer ligands leads to the catalytic reduction of dinitrogen into ammonia". Nature Chemistry. 3 (2): 120–125. Bibcode:2011NatCh...3..120A. doi:10.1038/nchem.906. PMID 21258384.