Wikipedia

Diazomethane

Also found in: Dictionary, Encyclopedia.
Diazomethane
Diazomethane
Diazomethane
Names
IUPAC name
Diazomethane
Other names
Azimethylene,
Azomethylene,
Diazirine
Identifiers
3D model (JSmol)
ChEBI
ChemSpider
ECHA InfoCard 100.005.803 Edit this at Wikidata
EC Number
  • 206-382-7
KEGG
UNII
CompTox Dashboard (EPA)
Properties
CH2N2
Molar mass 42.04 g/mol
Appearance Yellow gas
Odor musty
Density 1.4 (air=1)
Melting point −145 °C (−229 °F; 128 K)
Boiling point −23 °C (−9 °F; 250 K)
hydrolysis[1]
Structure
linear C=N=N
polar
Hazards
Main hazards toxic and explosive
GHS pictograms GHS01: ExplosiveGHS08: Health hazard
GHS Signal word Danger
GHS hazard statements
H350
GHS precautionary statements
P201, P202, P281, P308+313, P405, P501
NFPA 704 (fire diamond)
NFPA 704 four-colored diamond
3
4
3
Lethal dose or concentration (LD, LC):
175 ppm (cat, 10 min)[3]
NIOSH (US health exposure limits):
PEL (Permissible)
TWA 0.2 ppm (0.4 mg/m3)[2]
REL (Recommended)
TWA 0.2 ppm (0.4 mg/m3)[2]
IDLH (Immediate danger)
2 ppm[2]
Related compounds
Related functional groups;
compounds
R-N=N=N (azide),
R-N=N-R (azo);
R2CN2 R = Ph, tms, CF3
Except where otherwise noted, data are given for materials in their standard state (at 25 °C [77 °F], 100 kPa).

Diazomethane is the chemical compound CH2N2, discovered by German chemist Hans von Pechmann in 1894. It is the simplest diazo compound. In the pure form at room temperature, it is an extremely sensitive explosive yellow gas; thus, it is almost universally used as a solution in diethyl ether. The compound is a popular methylating agent in the laboratory, but it is too hazardous to be employed on an industrial scale without special precautions.[4] Use of diazomethane has been significantly reduced by the introduction of the safer and equivalent reagent trimethylsilyldiazomethane.[5]

Use

For safety and convenience diazomethane is always prepared as needed as a solution in ether and used as such. It converts carboxylic acids and phenols into their methyl esters. The reaction is thought to proceed via proton transfer from carboxylic acid to diazomethane to give methyldiazonium cation, which reacts with the carboxylate ion to give the methyl ester and nitrogen gas. Labeling studies indicate that the initial proton transfer is faster than the methyl transfer step.[6] Since proton transfer is required for the reaction to proceed, this reaction is selective for the more acidic carboxylic acids (pKa ~ 5) and phenols (pKa ~ 10) over aliphatic alcohols (pKa ~ 15).[7]

Diazomethanemethylation.png

In more specialized applications, diazomethane and homologues are used in Arndt-Eistert synthesis and the Büchner–Curtius–Schlotterbeck reaction for homologation.[8][9]

Büchner-Curtius-Schlotterbeck Reaction.

Diazomethane reacts with alcohols or phenols in presence of boron trifluoride (BF3) to give methyl ethers.

Diazomethane is also frequently used as a carbene source. It readily takes part in 1,3-dipolar cycloadditions.

Preparation

Diazomethane laboratory preparation

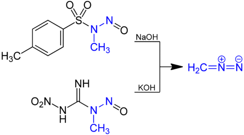
Diazomethane is prepared by hydrolysis of an ethereal solution of an N-methyl nitrosamide with aqueous base. The traditional precursor is N-nitroso-N-methylurea, but this compound is itself somewhat unstable, and nowadays compounds such as N-methyl-N'-nitro-N-nitrosoguanidine (MNNG) and N-methyl-N-nitroso-p-toluenesulfonamide (Diazald)[10] are preferred.[11]

Common routes for the preparation of diazomethane.

CH2N2 reacts with basic solutions of D2O to give the deuterated derivative CD2N2.[12]

The concentration of CH2N2 can be determined in either of two convenient ways. It can be treated with an excess of benzoic acid in cold Et2O. Unreacted benzoic acid is then back-titrated with standard NaOH. Alternatively, the concentration of CH2N2 in Et2O can be determined spectrophotometrically at 410 nm where its extinction coefficient, ε, is 7.2. The gas-phase concentration of diazomethane can be determined using photoacoustic spectroscopy.[4]

Related compounds

Diazomethane is both isomeric and isoelectronic with the more stable cyanamide, but they cannot interconvert. Many substituted derivatives of diazomethane have been prepared:

  • The very stable (CF3)2CN2 (2-diazo-1,1,1,3,3,3-hexafluoropropane; b.p. 12–13 °C),[13]
  • Ph2CN2 (diazodiphenylmethane; m.p. 29–30 °C).[14]
  • (CH3)3SiCHN2 (trimethylsilyldiazomethane), which is commercially available as a solution and is as effective as CH2N2 for methylation.[15]
  • PhC(H)N2, a red liquid b.p.< 25 °C at 0.1 mm Hg.[16]

Safety

Diazomethane is toxic by inhalation or by contact with the skin or eyes (TLV 0.2 ppm). Symptoms include chest discomfort, headache, weakness and, in severe cases, collapse.[17] Symptoms may be delayed. Deaths from diazomethane poisoning have been reported. In one instance a laboratory worker consumed a hamburger near a fumehood where he was generating a large quantity of diazomethane, and died four days later from fulminating pneumonia.[18] Like any other alkylating agent it is expected to be carcinogenic, but such concerns are overshadowed by its serious acute toxicity.

CH2N2 may explode in contact with sharp edges, such as ground-glass joints, even scratches in glassware.[19] Glassware should be inspected before use and preparation should take place behind a blast shield. Specialized kits to prepare diazomethane with flame-polished joints are commercially available.

The compound explodes when heated beyond 100 °C, exposed to intense light, alkali metals, or calcium sulfate. Use of a blast shield is highly recommended while using this compound.

Proof-of-concept work has been done with microfluidics, in which continuous point-of-use synthesis from N-methyl-N-nitrosourea and 0.93 M potassium hydroxide in water was followed by point-of-use conversion with benzoic acid, resulting in a 65% yield of the methyl benzoate ester within seconds at temperatures ranging from 0 to 50 °C. The yield was better than under capillary conditions; the microfluidics were credited with "suppression of hot spots, low holdup, isothermal conditions, and intensive mixing."[20]

Isomers

The stable compound cyanamide, whose minor tautomer is carbodiimide, is an isomer of diazomethane. Less stable but still isolable isomers of diazomethane include the cyclic 3H-diazirine and isocyanoamine (isodiazomethane).[21][22] In addition, the parent nitrilimine has been observed under matrix isolation conditions.[23]


References

  1. ^ ICSC 1256 - DIAZOMETHANE
  2. ^ a b c NIOSH Pocket Guide to Chemical Hazards. "#0182". National Institute for Occupational Safety and Health (NIOSH).
  3. ^ "Diazomethane". Immediately Dangerous to Life and Health Concentrations (IDLH). National Institute for Occupational Safety and Health (NIOSH).
  4. ^ a b Proctor, Lee D.; Warr, Antony J. (November 2002). "Development of a Continuous Process for the Industrial Generation of Diazomethane". Organic Process Research & Development. 6 (6): 884–892. doi:10.1021/op020049k.
  5. ^ Shioiri, Takayuki; Aoyama, Toyohiko; Snowden, Timothy (2001). "Trimethylsilyldiazomethane". Encyclopedia of Reagents for Organic Synthesis. e-EROS Encyclopedia of Reagents for Organic Synthesis. doi:10.1002/047084289X.rt298.pub2. ISBN 0471936235.
  6. ^ van der Merwe, K.J.; Steyn, P.S.; Eggers, S.H. (January 1964). "A simple preparation of deuterium labelled O-methyl groups for mass spectrometry". Tetrahedron Letters. 5 (52): 3923–3925. doi:10.1016/S0040-4039(01)89341-2.
  7. ^ Clayden, Jonathan. (2012). Organic chemistry. Greeves, Nick., Warren, Stuart G. (2nd ed.). Oxford: Oxford University Press. ISBN 978-0-19-927029-3. OCLC 761379371.
  8. ^ Buchner, E.; Curtius, Th. (1885). "Synthese von Ketonsäureäthern aus Aldehyden und Diazoessigäther". Berichte der Deutschen Chemischen Gesellschaft. 18 (2): 2371–2377. doi:10.1002/cber.188501802118.
  9. ^ Schlotterbeck, F. (1907). "The conversion of aldehydes and ketones through diazomethane". Berichte der Deutschen Chemischen Gesellschaft. 40: 479–483. doi:10.1002/cber.19070400179.
  10. ^ "Synthese und Stoffwissen". organic-btc-ilmenaus Webseite! (in German). Retrieved 2020-11-02.
  11. ^ Reed, Donald E.; James A. Moore (1961). "DIAZOMETHANE". Organic Syntheses. 41: 16. doi:10.15227/orgsyn.041.0016.
  12. ^ P. G. Gassman & W. J. Greenlee (1988). "Dideuterodiazomethane". Organic Syntheses.; Collective Volume, 6, p. 432
  13. ^ W. J. Middleton; D. M. Gale (1988). "Bis(Trifluoromethyl)diazomethane". Organic Syntheses.; Collective Volume, 6, p. 161
  14. ^ L. I. Smith; K. L. Howard (1955). "Diphenyldiazomethane"". Organic Syntheses.; Collective Volume, 3, p. 351
  15. ^ T. Shioiri; T. Aoyama; S. Mori. "Trimethylsilyldiazomethane". Organic Syntheses.; Collective Volume, 8, p. 612
  16. ^ X. Creary (1990). "Tosylhydrazone Salt Pyrolyses: Phenydiazomethanes". Organic Syntheses.; Collective Volume, 7, p. 438
  17. ^ Muir, GD (ed.) 1971, Hazards in the Chemical Laboratory, The Royal Institute of Chemistry, London.
  18. ^ LeWinn, E.B. "Diazomethane Poisoning: Report of a fatal case with autopsy", The American Journal of the Medical Sciences, 1949, 218, 556-562.
  19. ^ de Boer, Th. J.; Backer, H. J. (1956). "DIAZOMETHANE". Organic Syntheses. 36: 16. doi:10.15227/orgsyn.036.0016.
  20. ^ Wladimir Reschetilowski (2013-09-13). Microreactors in Preparative Chemistry: Practical Aspects in Bioprocessing, Nanotechnology, Catalysis and more. Wiley. p. 6–15. ISBN 9783527652914.
  21. ^ Anselme, J.-P. (1977-05-01). "Isodiazomethane revisited. N-aminoisonitriles". Journal of Chemical Education. 54 (5): 296. doi:10.1021/ed054p296. ISSN 0021-9584.
  22. ^ Anselme, J. P. (1966-11-01). "The chemistry of isodiazomethane". Journal of Chemical Education. 43 (11): 596. doi:10.1021/ed043p596. ISSN 0021-9584.
  23. ^ Comprehensive organic functional group transformations II. Katritzky, Alan R., Taylor, Richard J. K. (1st ed.). Amsterdam: Elsevier. 2005. ISBN 9780080523477. OCLC 213375246.

External links

This article is copied from an article on Wikipedia® - the free encyclopedia created and edited by its online user community. The text was not checked or edited by anyone on our staff. Although the vast majority of Wikipedia® encyclopedia articles provide accurate and timely information, please do not assume the accuracy of any particular article. This article is distributed under the terms of GNU Free Documentation License.

Copyright © 2003-2025 Farlex, Inc Disclaimer
All content on this website, including dictionary, thesaurus, literature, geography, and other reference data is for informational purposes only. This information should not be considered complete, up to date, and is not intended to be used in place of a visit, consultation, or advice of a legal, medical, or any other professional.