Wikipedia

DD-transpeptidase

Serine-type D-Ala-D-Ala carboxypeptidase
DD-Transpeptidase.png
Structure of the streptomyces K15 DD-transpeptidase
Identifiers
EC number3.4.16.4
CAS number9077-67-2
Databases
IntEnzIntEnz view
BRENDABRENDA entry
ExPASyNiceZyme view
KEGGKEGG entry
MetaCycmetabolic pathway
PRIAMprofile
PDB structuresRCSB PDB PDBe PDBsum

DD-transpeptidase (EC 3.4.16.4, DD-peptidase, DD-transpeptidase, DD-carboxypeptidase, D-alanyl-D-alanine carboxypeptidase, D-alanyl-D-alanine-cleaving-peptidase, D-alanine carboxypeptidase, D-alanyl carboxypeptidase, and serine-type D-Ala-D-Ala carboxypeptidase.[1]) is a bacterial enzyme that catalyzes the transfer of the R-L-aca-D-alanyl moiety of R-L-aca-D-alanyl-D-alanine carbonyl donors to the γ-OH of their active-site serine and from this to a final acceptor.[2] It is involved in bacterial cell wall biosynthesis, namely, the transpeptidation that crosslinks the peptide side chains of peptidoglycan strands.[3]

The antibiotic penicillin irreversibly binds to and inhibits the activity of the transpeptidase enzyme by forming a highly stable penicilloyl-enzyme intermediate.[4] Because of the interaction between penicillin and transpeptidase, this enzyme is also known as penicillin-binding protein (PBP).

Mechanism

DD-transpeptidase is mechanistically similar to the proteolytic reactions of the trypsin protein family.[5]

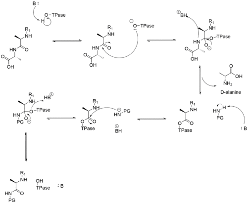
DD-transpeptidase catalytic mechanism

Crosslinking of peptidyl moieties of adjacent glycan strands is a two-step reaction. The first step involves the cleavage of the D-alanyl-D-alanine bond of a peptide unit precursor acting as carbonyl donor, the release of the carboxyl-terminal D-alanine, and the formation of the acyl-enzyme. The second step involves the breakdown of the acyl-enzyme intermediate and the formation of a new peptide bond between the carbonyl of the D-alanyl moiety and theamino group of another peptide unit.[6]

Most discussion of DD-peptidase mechanisms revolves around the catalysts of proton transfer. During formation of the acyl-enzyme intermediate, a proton must be removed from the active site serine hydroxyl group and one must be added to the amine leaving group. A similar proton movement must be facilitated in deacylation. The identity of the general acid and base catalysts involved in these proton transfers has not yet been elucidated.[7] However, the catalytic triad tyrosine, lysine, and serine, as well as serine, lysine, serine have been proposed.[7]

Structure

Transpeptidases are members of the penicilloyl-serine transferase superfamily, which has a signature SxxK conserved motif.[8] With "x" denoting a variable amino acid residue, the transpeptidases of this superfamily show a trend in the form of three motifs: SxxK, SxN (or analogue), and KTG (or analogue). These motifs occur at equivalent places, and are roughly equally spaced, along the polypeptide chain. The folded protein brings these motifs close to each other at the catalytic center between an all-α domain and an α/β domain.[9][10] With "x" denoting a variable amino acid residue, the transpeptidases of this superfamily show a trend in the form of three motifs: SxxK, SxN (or analogue), and KTG (or analogue). These motifs occur at equivalent places, and are roughly equally spaced, along the polypeptide chain. The folded protein brings these motifs close to each other at the catalytic center between an all-α domain and an α/β domain.[11][12][13]

The structure of the streptomyces K15 DD-transpeptidase has been studied, and consists of a single polypeptide chain organized into two domains. One domain contains mainly α-helices, and the second one is of α/β-type.[6] The center of the catalytic cleft is occupied by the Ser35-Thr36-Thr37-Lys38 tetrad, which includes the nucleophilic Ser35 residue at the amino-terminal end of helix α2. One side of the cavity is defined by the Ser96-Gly97-Cys98 loop connecting helices α4 and α5. The Lys213-Thr214-Gly215 triad lies on strand β3 on the opposite side of the cavity. The backbone NH group of the essential Ser35 residue and that of Ser216 downstream from the motif Lys213-Thr214-Gly215 occupy positions that are compatible with the oxyanion hole function required for catalysis.[6]

The enzyme is classified as a DD-transpeptidase because the susceptible peptide bond of the carbonyl donor extends between two carbon atoms with the D-configuration.[6]

Biological Function

All bacteria possess at least one, most often several, monofunctional serine DD-peptidases.[2]

Disease Relevance

The structural similarity between (A) D-Ala-D-Ala terminus of peptidoglycan terminus and (B) penicillins. Transpeptidases misrecognize penicillins for the TPase catalytic reaction.

This enzyme is an excellent drug target because it is essential, is accessible from the periplasm, and has no equivalent in mammalian cells. DD-transpeptidase is the target protein of β-lactam antibiotics (e.g. penicillin) This is because the structure of the β-lactam closely resembles the D-ala-D-ala residue.

β-lactams exert their effect by competitively inactivating the serine DD-transpeptidase catalytic site. Penicillin is a cyclic analogue of the D-Ala-D-Ala terminated carbonyl donors, therefore in the presence of this antibiotic, the reaction stops at the level of the serine ester-linked penicilloyl enzyme.[14] Thus β-lactam antibiotics force these enzymes to behave like penicillin binding proteins.[15]

Kinetically, the interaction between the DD-peptidase and beta-lactams is a three-step reaction:

[15]

Beta-Iactams may form an adduct E-I* of high stability with DD-transpeptidase. The half life of this adduct is around hours, whereas the half-life of the normal reaction is in the order of milliseconds.[8]

The interference with the enzyme processes responsible for cell wall formation results in cellular lysis and death due to the triggering of the autolytic system in the bacteria.[16]

See also

References

  1. ^ "E.C.3.4.16.4 Serine-type D-Ala-D-Ala carboxypeptidase". Enzyme Structures Database. Archived from the original on May 17, 2006. Retrieved February 26, 2006.
  2. ^ a b Grandchamps J, Nguyen-Distèche M, Damblon C, Frère JM, Ghuysen JM (1995). "Streptomyces K15 active-site serine DD-transpeptidase: specificity profile for peptide, thiol ester and ester carbonyl donors and pathways of the transfer reactions". Biochem J. 307 ( Pt 2) (2): 335–9. doi:10.1042/bj3070335. PMC 1136653. PMID 7733866.
  3. ^ Yocum RR, Waxman DJ, Rasmussen JR, Strominger JL (1979). "Mechanism of penicillin action: penicillin and substrate bind covalently to the same active site serine in two bacterial D-alanine carboxypeptidases". Proc Natl Acad Sci U S A. 76 (6): 2730–4. Bibcode:1979PNAS...76.2730Y. doi:10.1073/pnas.76.6.2730. PMC 383682. PMID 111240.
  4. ^ Gordon E, Mouz N, Duée E, Dideberg O (June 2000). "The crystal structure of the penicillin-binding protein 2x from Streptococcus pneumoniae and its acyl-enzyme form: implication in drug resistance". Journal of Molecular Biology. 299 (2): 477–85. doi:10.1006/jmbi.2000.3740. PMID 10860753.
  5. ^ Goffin C, Ghuysen JM (December 2002). "Biochemistry and comparative genomics of SxxK superfamily acyltransferases offer a clue to the mycobacterial paradox: presence of penicillin-susceptible target proteins versus lack of efficiency of penicillin as therapeutic agent". Microbiology and Molecular Biology Reviews. 66 (4): 702–38, table of contents. doi:10.1128/MMBR.66.4.702-738.2002. PMC 134655. PMID 12456788.
  6. ^ a b c d Fonzé E, Vermeire M, Nguyen-Distèche M, Brasseur R, Charlier P (July 1999). "The crystal structure of a penicilloyl-serine transferase of intermediate penicillin sensitivity. The DD-transpeptidase of streptomyces K15". The Journal of Biological Chemistry. 274 (31): 21853–60. doi:10.1074/jbc.274.31.21853. PMID 10419503.
  7. ^ a b Pratt RF (July 2008). "Substrate specificity of bacterial DD-peptidases (penicillin-binding proteins)". Cellular and Molecular Life Sciences. 65 (14): 2138–55. doi:10.1007/s00018-008-7591-7. PMID 18408890.
  8. ^ a b Walsh C, Wencewicz T (2016). Antibiotics: Challenges, Mechanisms, Opportunities (2nd ed.). American Society for Microbiology (Verlag). ISBN 978-1-55581-930-9.
  9. ^ Ghuysen JM (October 1994). "Molecular structures of penicillin-binding proteins and beta-lactamases". Trends in Microbiology. 2 (10): 372–80. doi:10.1016/0966-842X(94)90614-9. PMID 7850204.
  10. ^ Kelly JA, Kuzin AP, Charlier P, Fonzé E (April 1998). "X-ray studies of enzymes that interact with penicillins". Cellular and Molecular Life Sciences (Submitted manuscript). 54 (4): 353–8. doi:10.1007/s000180050163. hdl:2268/77968. PMID 9614972.
  11. ^ Ghuysen JM (October 1994). "Molecular structures of penicillin-binding proteins and beta-lactamases". Trends in Microbiology. 2 (10): 372–80. doi:10.1016/0966-842X(94)90614-9. PMID 7850204.
  12. ^ Kelly JA, Kuzin AP (November 1995). "The refined crystallographic structure of a DD-peptidase penicillin-target enzyme at 1.6 Å resolution". Journal of Molecular Biology. 254 (2): 223–36. doi:10.1006/jmbi.1995.0613. PMID 7490745.
  13. ^ Kelly JA, Kuzin AP, Charlier P, Fonzé E (April 1998). "X-ray studies of enzymes that interact with penicillins". Cellular and Molecular Life Sciences (Submitted manuscript). 54 (4): 353–8. doi:10.1007/s000180050163. hdl:2268/77968. PMID 9614972.
  14. ^ Nguyen-Distèche M, Leyh-Bouille M, Ghuysen JM (October 1982). "Isolation of the membrane-bound 26 000-Mr penicillin-binding protein of Streptomyces strain K15 in the form of a penicillin-sensitive D-alanyl-D-alanine-cleaving transpeptidase". The Biochemical Journal. 207 (1): 109–15. doi:10.1042/bj2070109. PMC 1153830. PMID 7181854.
  15. ^ a b Ghuysen JM, Frère JM, Leyh-Bouille M, Nguyen-Distèche M, Coyette J, Dusart J, Joris B, Duez C, Dideberg O, Charlier P (1984). "Bacterial wall peptidoglycan, DD-peptidases and beta-lactam antibiotics". Scandinavian Journal of Infectious Diseases. Supplementum. 42: 17–37. PMID 6597561.
  16. ^ Spratt BG (May 1983). "Penicillin-binding proteins and the future of beta-lactam antibiotics. The Seventh Fleming Lecture". Journal of General Microbiology. 129 (5): 1247–60. doi:10.1099/00221287-129-5-1247. PMID 6352855.

External links

This article is copied from an article on Wikipedia® - the free encyclopedia created and edited by its online user community. The text was not checked or edited by anyone on our staff. Although the vast majority of Wikipedia® encyclopedia articles provide accurate and timely information, please do not assume the accuracy of any particular article. This article is distributed under the terms of GNU Free Documentation License.

Copyright © 2003-2025 Farlex, Inc Disclaimer
All content on this website, including dictionary, thesaurus, literature, geography, and other reference data is for informational purposes only. This information should not be considered complete, up to date, and is not intended to be used in place of a visit, consultation, or advice of a legal, medical, or any other professional.