Curtius rearrangement | |
---|---|
Named after | Theodor Curtius |
Reaction type | Rearrangement reaction |
Identifiers | |
Organic Chemistry Portal | curtius-rearrangement |
RSC ontology ID | RXNO:0000054 |
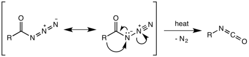
The Curtius rearrangement (or Curtius reaction or Curtius degradation), first defined by Theodor Curtius in 1885, is the thermal decomposition of an acyl azide to an isocyanate with loss of nitrogen gas.[1][2] The isocyanate then undergoes attack by a variety of nucleophiles such as water, alcohols and amines, to yield a primary amine, carbamate or urea derivative respectively.[3] Several reviews have been published.[4][5]
Preparation of acyl azide
The acyl azide is usually made from the reaction of acid chlorides or anydrides[6] with sodium azide or trimethylsilyl azide.[7] Acyl azides are also obtained from treating acylhydrazines with nitrous acid.[8] Alternatively, the acyl azide can be formed by the direct reaction of a carboxylic acid with diphenylphosphoryl azide (DPPA).[9]
Reaction mechanism
It was believed that the Curtius rearrangement was a two-step processes, with the loss of nitrogen gas forming an acyl nitrene, followed by migration of the R-group to give the isocyanate. However, recent research has indicated that the thermal decomposition is a concerted process, with both steps happening together, due to the absence of any nitrene insertion or addition byproducts observed or isolated in the reaction.[10] Thermodynamic calculations also support a concerted mechanism.[11]
The migration occurs with full retention of configuration at the R-group. The migratory aptitude of the R-group is roughly tertiary > secondary ~ aryl > primary. The isocyanate formed can then be hydrolyzed to give a primary amine, or undergo nucleophilic attack with alcohols and amines to form carbamates and urea derivatives respectively.
Modifications
Research has shown that the Curtius rearrangement is catalyzed by both Brønsted[12] and Lewis acids, via the protonation of, or coordination to the acyl oxygen atom respectively. For example, Fahr and Neumann have shown that the use of boron trifluoride or boron trichloride catalyst reduces the decomposition temperature needed for rearrangement by about 100 °C, and increases the yield of the isocyanate significantly.[13]
Photochemical rearrangement
Photochemical decomposition of the acyl azide is also possible.[14] However, photochemical rearrangement is not concerted and instead occurs by a nitrene intermediate, formed by the cleavage of the weak N–N bond and the loss of nitrogen gas. The highly reactive nitrene can undergo a variety of nitrene reactions, such as nitrene insertion and addition, giving unwanted side products.[15] In the example below, the nitrene intermediate inserts into one of the C–H bonds of the cyclohexane solvent to form N-cyclohexylbenzamide as a side product.
Variations
Darapsky degradation
In one variation called the Darapsky degradation,[16] or Darapsky synthesis, a Curtius rearrangement takes place as one of the steps in the conversion of an α-cyanoester to an amino acid. Hydrazine is used to convert the ester to an acylhydrazine, which is reacted with nitrous acid to give the acyl azide. Heating the azide in ethanol yields the ethyl carbamate via the Curtius rearrangement. Acid hydrolysis yields the amine from the carbamate and the carboxylic acid from the nitrile simultaneously, giving the product amino acid.[17]

Harger reaction
The photochemical Curtius-like migration and rearrangement of a phosphinic azide forms a metaphosphonimidate[18] in what is also known as the Harger reaction (named after Dr Martin Harger from University of Leicester).[19] This is followed by hydrolysis, in the example below with methanol, to give a phosphonamidate.
Unlike the Curtius rearrangement, there is a choice of R-groups on the phosphinic azide which can migrate. Harger has found that the alkyl groups migrate preferentially to aryl groups, and this preference increases in the order methyl < primary < secondary < tertiary. This is probably due to steric and conformational factors, as the bulkier the R-group, the less favorable the conformation for phenyl migration.[20]
Synthetic applications
The Curtius rearrangement is tolerant of a large variety of functional groups, and has significant synthetic utility, as many different groups can be incorporated depending on the choice of nucleophile used to attack the isocyanate.
For example, when carried out in the presence of tert-butanol, the reaction generates Boc-protected amines, useful intermediates in organic synthesis.[21][22] Likewise, when the Curtius reaction is performed in the presence of benzyl alcohol, Cbz-protected amines are formed.[23]
The Curtius rearrangement is used in the syntheses of the drugs tranylcypromine, candesartan, bromadol, terguride, benzydamine, gabapentin, igmesine and tecadenoson.
Triquinacene
R. B. Woodward et al. used the Curtius rearrangement as one of the steps in the total synthesis of the polyquinane triquinacene in 1964. Following hydrolysis of the ester in the intermediate (1), a Curtius rearrangement was effected to convert the carboxylic acid groups in (2) to the methyl carbamate groups (3) with 84% yield. Further steps then gave triquinacene (4).[24]
Oseltamivir
In their synthesis of the antiviral drug oseltamivir, also known as Tamiflu, Ishikawa et al. used the Curtius rearrangement in one of the key steps in converting the acyl azide to the amide group in the target molecule. In this case, the isocyanate formed by the rearrangement is attacked by a carboxylic acid to form the amide. Subsequent reactions could all be carried out in the same reaction vessel to give the final product with 57% overall yield. An important benefit of the Curtius reaction highlighted by the authors was that it could be carried out at room temperature, minimizing the hazard from heating. The scheme overall was highly efficient, requiring only three “one-pot” operations to produce this important and valuable drug used for the treatment of avian influenza.[25]
Dievodiamine
Dievodiamine is a natural product from the plant Evodia rutaecarpa, which is widely used in traditional Chinese medicine. Unsworth et al.’s protecting group-free total synthesis of dievodiamine utilizes the Curtius rearrangement in the first step of the synthesis, catalyzed by boron trifluoride. The activated isocyanate then quickly reacts with the indole ring in an electrophilic aromatic substitution reaction to give the amide in 94% yield, and subsequent steps give dievodamine.[26]

See also
- Beckmann rearrangement
- Bergmann degradation
- Hofmann rearrangement
- Lossen rearrangement
- Schmidt reaction
- Tiemann rearrangement
- Neber rearrangement
- Wolff rearrangement
References
- ^ Curtius, Th. (1890). "Ueber Stickstoffwasserstoffsäure (Azoimid) N3H" [On hydrazoic acid (azoimide) N3H]. Berichte der Deutschen Chemischen Gesellschaft zu Berlin. 23 (2): 3023–3033. doi:10.1002/cber.189002302232.
- ^ Curtius, T. (1894). "20. Hydrazide und Azide organischer Säuren I. Abhandlung" [Hydrazides and azides of organic acids I. paper]. Journal für Praktische Chemie. 50: 275–294. doi:10.1002/prac.18940500125.
- ^ Kaiser, C.; Weinstock, J. (1988). "Amines from mixed carboxylic-carbonic anhydrides: 1-phenylcyclopentylamine". Organic Syntheses.; Collective Volume, 6, p. 910
- ^ Smith, P. A. S. (1946). "The Curtius reaction". Organic Reactions. 3: 337–449.
- ^ Scriven, Eric F. V.; Turnbull, Kenneth (1988). "Azides: their preparation and synthetic uses". Chemical Reviews. 88 (2): 297–368. doi:10.1021/cr00084a001.
- ^ Weinstock, J (1961). "Modified Curtius reaction". J. Org. Chem. 26: 3511. doi:10.1021/jo01067a604.
- ^ Warren, J. D.; Press, J. B. (1980). "Formation and Curtius rearrangement of acyl azides from unreactive acid chlorides". Synth. Commun. 10: 107–110. doi:10.1080/00397918008061812.
- ^ Pozsgay, V.; Jennings, H. J. (1987). "Azide synthesis with stable nitrosyl salts". Tetrahedron Lett. 28 (43): 5091–5092. doi:10.1016/s0040-4039(00)95598-9.
- ^ Shioiri, T.; Ninomiya, K.; Yamada, S. (1972). "New convenient reagent for a modified Curtius reaction and for peptide synthesis". J. Am. Chem. Soc. 94 (17): 6203–6205. doi:10.1021/ja00772a052. PMID 5054412.
- ^ Rauk, A.; Alewood, P. F. (1977). "A theoretical study of the Curtius rearrangement. The electronic structures and interconversion of the CHNO species". Can. J. Chem. 55 (9): 1498–1510. doi:10.1139/v77-209.
- ^ L'Abbe, G. (1969). "Decomposition and addition reactions of organic azides". Chem. Rev. 69 (3): 345–363. doi:10.1021/cr60259a004.
- ^ Yukawa, Y.; Tsuno, Y. (1959). "The decomposition of substituted benzazides in acidic solvents, the acid catalysis". J. Am. Chem. Soc. 81: 2007–2012. doi:10.1021/ja01517a055.
- ^ Fahr, E.; Neumann, L. (1965). "Curtius-Reaktion mit Bortrihalogeniden". Angew. Chem. 77 (13): 591. doi:10.1002/ange.19650771308.
- ^ Wentrup, C.; Bornemann, H. (2005). "Curtius rearrangment of acyl azides revisited - formation of cyanate". Eur. J. Org. Chem.: 4521–4524. doi:10.1002/ejoc.200500545.
- ^ Eibler, E.; Sauer, J. (1974). "Ein Betrag zur Isocyanatbildung bei der Photolyse von Acylaziden". Tetrahedron Lett. 15 (30): 2569–2572. doi:10.1016/s0040-4039(01)92295-6.
- ^ August Darapsky (1936) "Darstellung von α-Aminosäuren aus Alkyl-cyanessigsäuren" (Preparation of α-amino acids from alkyl cyanoacetic acids), Journal für Praktische Chemie, 146 : 250-267.
- ^ Gagnon, P. E.; Bovin, P. A.; Craig, H. M. (1951). "Synthesis of amino acids from substituted cyanoacetic esters". Can. J. Chem. 29: 70–75. doi:10.1139/cjc-29-1-70.
- ^ Bertrand, G.; Majoral, J.; Baceiredo, A. (1980). "Photolytic rearrangement of phosphorus azide: evidence for a transient metaphosphonimidate". Tetrahedron Lett. 21 (52): 5015–5018. doi:10.1016/s0040-4039(00)71119-1.
- ^ Harger, M. J. P.; Westlake, S. (1982). "Photolysis of some unsymmetrical phosphinic azides in methanol". Tetrahedron. 38 (20): 3073–3078. doi:10.1016/0040-4020(82)80195-6.
- ^ Harger, M. J. P.; Westlake, S. (1982). "Photolysis of some unsymmetrical phosphinic azides in methanol". Tetrahedron. 38 (20): 3073–3078. doi:10.1016/0040-4020(82)80195-6.
- ^ Am Ende, David J.; Devries, Keith M.; Clifford, Pamela J.; Brenek, Steven J. (1998). "A Calorimetric Investigation to Safely Scale-Up a Curtius Rearrangement of Acryloyl Azide". Organic Process Research & Development. 2 (6): 382–392. doi:10.1021/op970115w.
- ^ Lebel, H.; Leogane, O. (2005). "Boc-protected amines via a mild and efficient one-pot Curtius rearrangement". Organic Letters. 7 (19): 4107–4110. doi:10.1021/ol051428b. PMID 16146363.
- ^ Jessup, P. J.; Petty, C. B.; Roos, J.; Overman, L. E. (1988). "1-N-Acylamino-1,3-dienes from 2,4-pentadienoic acids by the Curtius rearrangement: benzyl trans-1,3-butadiene-1-carbamate". Organic Syntheses.; Collective Volume, 6, p. 95
- ^ Woodward, R. B.; Fukunaga, T.; Kelly, R. C. (1964). "Triquinacene". J. Am. Chem. Soc. 86 (15): 3162–3164. doi:10.1021/ja01069a046.
- ^ Ishikawa, H.; Suzuki, T.; Hayashi, Y. (2009). "High-yielding synthesis of the anti-influenza neuramidase inhibitor (-)-oseltamivir by three "one-pot" operations". Angew. Chem. Int. Ed. 48 (7): 1304–1307. doi:10.1002/anie.200804883. PMID 19123206.
- ^ Unsworth, William P.; Kitsiou, Christiana; Taylor, Richard J. K. (5 July 2013). "An Expedient Protecting-Group-Free Total Synthesis of (±)-Dievodiamine". Organic Letters. 15 (13): 3302–3305. doi:10.1021/ol4013469. PMID 23786450.