Wikipedia

Colesevelam

Also found in: Dictionary, Medical.
Colesevelam
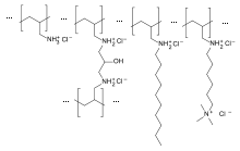
Colesevelam structure.svg
Clinical data
Trade namesWelchol, Cholestagel
AHFS/Drugs.comMonograph
MedlinePlusa699050
License data
Routes of
administration
By mouth
ATC code
Legal status
Legal status
  • US: ℞-only
  • EU: Rx-only
  • In general: ℞ (Prescription only)
Pharmacokinetic data
BioavailabilityN/A
MetabolismColesevelam is not absorbed and not metabolised.
Elimination half-lifeN/A (non-systemic drug)
ExcretionBy intestines only, colesevelam is non-systemic.
Identifiers
CAS Number
PubChem CID
DrugBank
ChemSpider
  • none
UNII
KEGG
ChEMBL
Chemical and physical data
FormulaC31H67Cl3N4O
Molar mass618.25 g·mol−1
(verify)

Colesevelam is a bile acid sequestrant administered orally. It was developed by GelTex Pharmaceuticals and later acquired by Genzyme. It is marketed in the US by Daiichi Sankyo under the brand name Welchol and elsewhere by Genzyme as Cholestagel. In Canada it is marketed by Valeant as Lodalis.

Clinical use

Colesevelam is indicated as an adjunct to diet and exercise to reduce elevated low-density lipoprotein cholesterol (LDL-C) in patients with primary hyperlipidemia as monotherapy and to improve glycemic control in adults with type 2 diabetes mellitus,[1] including in combination with a statin. The expanded use of colesevelam in adults with type 2 diabetes mellitus is an example of drug repositioning.

Colesevelam is one of the bile-acid sequestrants, which along with niacin and the statins, are the three main types of cholesterol-lowering agents. The statins are considered the first-line agents. This is because of the larger body of evidence supporting statins' ability to prevent cardiovascular disease, as well as the prominent side effects from the other two types, including bloating and constipation (bile-acid sequestrants) and skin flushing (niacin). These side effects often lead to low patient compliance.[2]

Colesevelam can be used instead of cholestyramine in symptomatic chronic diarrhea due to bile salt malabsorption (bile acid diarrhea), which can be a primary condition, or secondary to Crohn's disease or the postcholecystectomy syndrome.[3][4][5]

Constituents

Colesevelam is a modified polyallylamine. It is made by crosslinking polyallylamine with epichlorohydrin, and then modifying it with bromodecane and (6-bromohexyl)trimethylammonium bromide. The bromide ions are then replaced with chloride ions when the material is washed.[6]

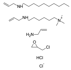
The constituents of the polymer colesevelam shown as subunits that do not exist per se in the final product are:

Colesevelam.png

N-prop-2-enyldecan-1-amine; trimethyl-[6-(prop-2-enylamino)hexyl]azanium; prop-2-en-1-amine; 2-(chloromethyl)oxirane; hydrogen chloride; chloride.

Mechanism of action

Colesevelam is part of a class of drugs known as bile acid sequestrants. Colesevelam hydrochloride, the active pharmaceutical ingredient in Welchol, is a non-absorbed, lipid-lowering polymer that binds bile acids in the intestine, impeding their reabsorption. As the bile acid pool becomes depleted, the hepatic enzyme, cholesterol 7-α-hydroxylase, is upregulated, which increases the conversion of cholesterol to bile acids. This causes an increased demand for cholesterol in the liver cells, resulting in the dual effect of increasing transcription and activity of the cholesterol biosynthetic enzyme, HMG-CoA reductase, and increasing the number of hepatic LDL receptors. These compensatory effects result in increased clearance of LDL-C from the blood, resulting in decreased serum LDL-C levels. Serum TG levels may increase or remain unchanged.[7]

It is not yet known how Colesevelam works to help control blood sugar in people with type 2 diabetes. However, it is clear that the drug works within the digestive tract, since it is not absorbed into the rest of the body.

Cholesterol

Since Colesevelam can lower total and LDL cholesterol levels (along with raising HDL - "good" cholesterol), taking it may decrease one's risk of developing certain health problems in the future.

Previous clinical research studies indicate individuals taking 3,800 mg to 4,500 mg of Colesevelam daily were able to:

  • Reduce LDL cholesterol by 15 to 18 percent.
  • Reduce total cholesterol by 7 to 10 percent.
  • Raise HDL cholesterol by 3 percent.

The combination of Colesevelam with a HMG-CoA reductase inhibitor (known more commonly as a statin) can further lower cholesterol levels.[8]

Side effects

In controlled clinical studies involving approximately 1,400 patients, the following adverse reactions have been reported in patients treated with colesevelam. When reporting to the very common (≥ 1 / 10), common (≥ 1 / 100, 51/10), uncommon (≥ 1 / 1000, 51/100), rare (≥ 1/10.000, 51/1000) and distinction very rarely (51/10.000), including individual cases:

  • Investigations Common: serum triglyceride increased; Uncommon: serum transaminase increases
  • Nervous system disorders Common: headache
  • Gastrointestinal disorders Very Common: flatulence, constipation; Common: vomiting, diarrhea, dyspepsia, abdominal pain, stool abnormalities, nausea
  • Musculoskeletal and connective tissue disorders Uncommon: myalgia

The background incidence of flatulence and diarrhea was the same in patients in controlled clinical trials, and higher in the placebo group. Only constipation and dyspepsia were shown to occur in a higher percentage of patients who received Cholestagel, compared to the placebo group. Side effects were generally mild or moderate in severity. In the application of colesevelam in combination with statins, no unexpected frequent side effects occurred.[9]

Notes and references

  1. ^ Fonseca, V. A.; Rosenstock, J.; Wang, A. C.; Truitt, K. E.; Jones, M. R. (2008). "Colesevelam HCl Improves Glycemic Control and Reduces LDL Cholesterol in Patients with Inadequately Controlled Type 2 Diabetes on Sulfonylurea-Based Therapy". Diabetes Care. 31 (8): 1479–1484. doi:10.2337/dc08-0283. PMC 2494667. PMID 18458145.
  2. ^ Principles and Practice of Endocrinology and Metabolism, 2000, ed. Becker, chapter 163
  3. ^ Puleston, J; Morgan, H; Andreyev, J (2005). "New treatment for bile salt malabsorption". Gut. 54 (3): 441–442. doi:10.1136/gut.2004.054486. PMC 1774391. PMID 15711000.
  4. ^ Wedlake, L; Thomas, K; Lalji, A; Anagnostopoulos, C; Andreyev, HJ (2009). "Effectiveness and tolerability of colesevelam hydrochloride for bile-acid malabsorption in patients with cancer: a retrospective chart review and patient questionnaire". Clinical Therapeutics. 31 (11): 2549–58. doi:10.1016/j.clinthera.2009.11.027. PMID 20109999.
  5. ^ Beigel F, Teich N, Howaldt S, Lammert F, Maul J, Breiteneicher S, Rust C, Göke B, Brand S, Ochsenkühn T (November 2014). "Colesevelam for the treatment of bile acid malabsorption-associated diarrhea in patients with Crohn's disease: A randomized, double-blind, placebo-controlled study". J Crohns Colitis. 8 (11): 1471–9. doi:10.1016/j.crohns.2014.05.009. PMID 24953836.
  6. ^ US Patent 5,607,669
  7. ^ RxList: Welchol
  8. ^ eMedTV: WelChol
  9. ^ Consumer information for cholestagel Archived 2011-07-19 at the Wayback Machine, March 2009 (in German)

External links

  • "Colesevelam". Drug Information Portal. U.S. National Library of Medicine.
This article is copied from an article on Wikipedia® - the free encyclopedia created and edited by its online user community. The text was not checked or edited by anyone on our staff. Although the vast majority of Wikipedia® encyclopedia articles provide accurate and timely information, please do not assume the accuracy of any particular article. This article is distributed under the terms of GNU Free Documentation License.

Copyright © 2003-2025 Farlex, Inc Disclaimer
All content on this website, including dictionary, thesaurus, literature, geography, and other reference data is for informational purposes only. This information should not be considered complete, up to date, and is not intended to be used in place of a visit, consultation, or advice of a legal, medical, or any other professional.