Wikipedia

Chlorpyrifos

Also found in: Dictionary, Medical, Acronyms.
Chlorpyrifos
Chlorpyrifos.svg
Chlorpyrifos-3D-vdW.png
Names
IUPAC name
O,O-Diethyl O-3,5,6-trichloropyridin-2-yl phosphorothioate
Other names
Brodan, Bolton insecticide, Chlorpyrifos-ethyl, Cobalt, Detmol UA, Dowco 179, Dursban, Empire, Eradex, Hatchet, Lorsban, Nufos, Paqeant, Piridane, Scout, Stipend, Tricel, Warhawk, others[1]
Identifiers
3D model (JSmol)
ChEBI
ChEMBL
ChemSpider
ECHA InfoCard 100.018.969 Edit this at Wikidata
KEGG
UNII
CompTox Dashboard (EPA)
Properties
C9H11Cl3NO3PS
Molar mass 350.57 g·mol−1
Appearance Colorless crystals[2]
Odor Mercaptan-like[3]
Density 1.398 g/cm3 (43.5 °C)
Melting point 43 °C (109 °F; 316 K)[5]
Boiling point 160 °C; 320 °F; 433 K (decomposes)[3]
2 mg/L
log P 4.96 (octanol/water)[4]
Hazards
Main hazards combustible, reacts strongly with amines, strong acids, caustics[3]
NIOSH (US health exposure limits):
PEL (Permissible)
none[3]
REL (Recommended)
TWA 0.2 mg/m3 ST 0.6 mg/m3 [skin][3]
IDLH (Immediate danger)
N.D.[3]
Except where otherwise noted, data are given for materials in their standard state (at 25 °C [77 °F], 100 kPa).

Chlorpyrifos (CPS) is an organophosphate pesticide used on crops, animals, and buildings, and in other settings, to kill a number of pests, including insects and worms. It acts on the nervous systems of insects by inhibiting the acetylcholinesterase enzyme. Chlorpyrifos was patented in 1966 by Dow Chemical Company.[6]

Chlorpyrifos is considered moderately hazardous to humans by the World Health Organization based on its acute toxicity.[7] Exposure surpassing recommended levels has been linked to neurological effects, persistent developmental disorders, and autoimmune disorders. Exposure during pregnancy may harm the mental development of children, and most home uses of chlorpyrifos were banned in the U.S. in 2001.[8] In agriculture, it is "one of the most widely used organophosphate insecticides" in the United States, and before being phased out for residential use it was one of the most used residential insecticides.[9]

On 29 March 2017, EPA Administrator Scott Pruitt denied a petition to ban chlorpyrifos.[10] However, on 9 August 2018, the U.S. 9th Circuit Court of Appeals ordered the EPA to ban the sale of chlorpyrifos in the United States within 60 days,[11] though this ruling was almost immediately appealed by the Trump administration.[12]

In May 2019 the California Department of Pesticide Regulation announced it will "cancel the registration that allows chlorpyrifos to be sold in California", a process that could however take up to two years.[13]

Synthesis

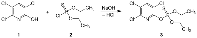
The industrial synthesis of chlorpyrifos (3) is made by reacting 3,5,6-trichloro-2-pyridinol (TCPy) (1) with O,O-diethyl phosphorochloridothioate (2):[14]

Industrial synthesis of chlorpyrifos

Uses

Use in the USA

Chlorpyrifos is used in about 100 countries around the world to control insects in agricultural, residential, and commercial settings.[13] Its use in residential applications is restricted in multiple countries. According to Dow, chlorpyrifos is registered for use in nearly 100 countries and is annually applied to approximately 8.5 million crop acres.[15] The crops with the most use include cotton, corn, almonds, and fruit trees, including oranges, bananas, and apples.[16] Use of Chlorpyrifos is not recommended on tomato crops, as it kills the whole plant within two days.[17]

Chlorpyrifos was first registered for use in the United States in 1965 for control of foliage and soil-born insects.[9] The chemical became widely used in residential settings, on golf course turf, as a structural termite control agent, and in agriculture. Most residential use of chlorpyrifos has been phased out in the United States; however, agricultural use remains common.[9]

EPA estimated that, between 1987 and 1998, about 21 million pounds of chlorpyrifos were used annually in the US.[9] In 2001, chlorpyrifos ranked 15th among pesticides used in the United States, with an estimated 8 to 11 million pounds applied. In 2007, it ranked 14th among pesticide ingredients used in agriculture in the United States.[18]

Application

Chlorpyrifos is normally supplied as a 23.5% or 50% liquid concentrate. The recommended concentration for direct-spray pin point application is 0.5% and for wide area application a 0.03–0.12% mix is recommended (US).[19][20]

Toxicity

Chlorpyrifos exposure may lead to acute toxicity at higher doses. Persistent health effects follow acute poisoning or from long-term exposure to low doses, and developmental effects appear in fetuses and children even at very small doses.[21]

Acute health effects

For acute effects, the World Health Organization classifies chlorpyrifos as Class II: moderately hazardous.[22] The oral LD50 in experimental animals is 32 to 1000 mg/kg. The dermal LD50 in rats is greater than 2000 mg/kg and 1000 to 2000 mg/kg in rabbits. The 4-hour inhalation LC50 for chlorpyrifos in rats is greater than 200 mg/m3.[23]

Symptoms of acute exposure

Acute poisoning results mainly from interference with the acetylcholine neurotransmission pathway, leading to a range of neuromuscular symptoms. Relatively mild poisoning can result in eye watering, increased saliva and sweating, nausea and headache. Intermediate exposure may lead to muscle spasms or weakness, vomiting or diarrhea and impaired vision. Symptoms of severe poisoning include seizures, unconsciousness, paralysis, and suffocation from lung failure.[24]

Children are more likely to experience muscle weakness rather than twitching; excessive saliva rather than sweat or tears; seizures; and sleepiness or coma.[24]

Frequency of acute exposure

Acute poisoning is probably most common in agricultural areas in Asia, where many small farmers are affected.[25] Poisoning may be due to occupational or accidental exposure or intentional self-harm. Precise numbers of chlorpyrifos poisonings globally are not available.[26] Pesticides are used in an estimated 200,000+ suicides annually with tens of thousands due to chlorpyrifos. Organophosphates are thought to constitute two-thirds of ingested pesticides in rural Asia. Chlorpyrifos is among the commonly used pesticides used for self-harm.[25][26][27]

In the US, the number of incidents of chlorpyrifos exposure reported to the US National Pesticide Information Center shrank sharply from over 200 in the year 2000 to less than 50 in 2003, following the residential ban.[28]

Treatment

Poisoning is treated with atropine and simultaneously with oximes such as pralidoxime.[29] Atropine blocks acetylcholine from binding with muscarinic receptors, which reduces the pesticide's impact. However, atropine does not affect acetylcholine at nicotinic receptors and thus is a partial treatment. Pralidoxime is intended to reactivate acetylcholinesterase, but the benefit of oxime treatment is questioned.[29] A randomized controlled trial (RCT) supported the use of higher doses of pralidoxime rather than lower doses.[30] A subsequent double-blind RCT, that treated patients who self-poisoned, found no benefit of pralidoxime, including specifically in chlorpyrifos patients.[31]

Tourist deaths

Chlorpyrifos poisoning was described by New Zealand scientists as the likely cause of death of several tourists in Chiang Mai, Thailand who developed myocarditis in 2011.[32][33][34] Thai investigators came to no conclusion on the subject,[35] but maintain that chlorpyrifos was not responsible and that the deaths were not linked.[36]

Long term

Development

Epidemiological and experimental animal studies suggest that infants and children are more susceptible than adults to effects from low dose exposure.[37][38] Chlorpyrifos has been suggested to have negative impacts on the cognitive functions in the developing brain.[39] The young have a decreased capacity to detoxify chlorpyrifos and its metabolites. It is suggested that adolescents differ from adults in the metabolism of these compounds due to the maturation of organs in adolescents.[40] This results in disruption in nervous system developmental processes, as observed in animal experiments.[37] There are a number of studies observed in animals that show that chlorpyrifos alters the expression of essential genes that assist in the development of the brain.[39]

Human studies: In multiple epidemiological studies, chlorpyrifos exposure during gestation or childhood has been linked with lower birth weight and neurological changes such as slower motor development and attention problems.[38][41] Children with prenatal exposures to chlorpyrifos have been shown to have lower IQs.[42] They have also been shown to have a higher chance of developing autism, attention deficit problems, and developmental disorders.[43] A cohort of 7-year-old children were studied for neurological damages from prenatal exposure to chlorpyrifos. The study determined that the exposed children had deficits in working memory and full scale intelligence quotient (IQ).[43] In a study on groups of Chinese infants, those exposed to chlorpyrifos showed significant decreases in motor functions such as reflexes, locomotion, and grasping at 9 months compared to those not exposed.[44] Exposure to organophosphate pesticides in general has been increasingly associated with changes in children's cognitive, behavioral and motor performance.[45][46] Infant girls were shown to be more susceptible to harmful effects from organophosphate insecticides than infant boys.[44]

Animal experiments: In experiments with rats, early, short-term low-dose exposure to chlorpyrifos resulted in lasting neurological changes, with larger effects on emotional processing and cognition than on motor skills.[38] Such rats exhibited behaviors consistent with depression and reduced anxiety.[38] In rats, low-level exposure during development has its greatest neurotoxic effects during the period in which sex differences in the brain develop. Exposure leads to reductions or reversals of normal gender differences.[47] Exposure to low levels of chlorpyrifos early in rat life or as adults also affects metabolism and body weight.[48] These rats show increased body weight as well as changes in liver function and chemical indicators similar to prediabetes, likely associated with changes to the cyclic AMP system.[48] Moreover, experiments with zebra fish showed significant detriments to survivability, reproductive processes, and motor function. Varying doses created a 30%–100% mortality rate of embryos after 90 days. Embryos were shown to have decreased mitosis, resulting in mortality or developmental dysfunctions. In the experiments where embryos did survive, spinal lordosis and lower motor functions were observed. The same study showed that chlorpyrifos had more severe morphological deformities and mortality in embryos than diazinon, another commonly used organophosphate insecticide.[49]

Adulthood

Adults may develop lingering health effects following acute exposure or repeated low-dose exposure. Among agricultural workers, chlorpyrifos has been associated with slightly increased risk of wheeze, a whistling sound while breathing due to obstruction of the airways.[50]

Among 50 farm pesticides studied, chlorpyrifos was associated with higher risks of lung cancer among frequent pesticide applicators than among infrequent or non-users. Pesticide applicators as a whole were found to have a 50% lower cancer risk than the general public, likely due to their nearly 50% lower smoking rate. However, chlorpyrifos applicators had a 15% lower cancer risk than the general public, which the study suggests indicates a link between chlorpyrifos application and lung cancer.[51][52]

Twelve people who had been exposed to chlorpyrifos were studied over periods of 1 to 4.5 years. They were found to have a heightened immune responses to common allergens and increased antibiotic sensitivities, elevated CD26 cells, and a higher rate of autoimmunity, compared with control groups. Autoantibodies were directed toward smooth muscle, parietal cell, brush border, thyroid gland, myelin, and the subjects also had more anti-nuclear antibodies.[53]

Mechanisms of toxicity

Acetylcholine neurotransmission

Structure of chlorpyrifos-oxon

Primarily, chlorpyrifos and other organophosphate pesticides interfere with signaling from the neurotransmitter acetylcholine.[24] One chlorpyrifos metabolite, chlorpyrifos-oxon, binds permanently to the enzyme acetylcholinesterase, preventing this enzyme from deactivating acetylcholine in the synapse.[24][37] By irreversibly inhibiting acetylcholinesterase, chlorpyrifos leads to a build-up of acetylcholine between neurons and a stronger, longer-lasting signal to the next neuron. Only when new molecules of acetylcholinesterase have been synthesized can normal function return. Acute symptoms of chlorpyrifos poisoning only occur when more than 70% of acetylcholinesterase molecules are inhibited.[47] This mechanism is well established for acute chlorpyrifos poisoning and also some lower-dose health impacts. It is also the primary insecticidal mechanism.

Non-cholinesterase mechanisms

Chlorpyrifos may affect other neurotransmitters, enzymes and cell signaling pathways, potentially at doses below those that substantially inhibit acetylcholinesterase. The extent of and mechanisms for these effects remain to be fully characterized.[54][55] Laboratory experiments in rats and cell cultures suggest that exposure to low doses of chlorpyrifos may alter serotonin signaling and increase rat symptoms of depression; change the expression or activity of several serine hydrolase enzymes, including neuropathy target esterase and several endocannabinoid enzymes; affect components of the cyclic AMP system; and influence other chemical pathways.[47][55][56][57]

Paraoxonase activity

The enzyme paraoxonase 1 (PON1) detoxifies chlorpyrifos oxon, the more toxic metabolite of chlorpyrifos, via hydrolysis. In laboratory animals, additional PON1 protects against chlorpyrifos toxicity while individuals that do not produce PON1 are particularly susceptible.[58] In humans, studies about the effect of PON1 activity on the toxicity of chlorpyrifos and other organophosphates are mixed, with modest yet inconclusive evidence that higher levels of PON1 activity may protect against chlorpyrifos exposure in adults; PON1 activity may be most likely to offer protection from low-level chronic doses.[58] Human populations have genetic variation in the sequence of PON1 and its promoter region that may influence the effectiveness of PON1 at detoxifying chlorpyrifos oxon and the amount of PON1 available to do so.[58] Some evidence indicates that children born to women with low PON1 may be particularly susceptible to chlorpyrifos exposure. Further, infants produce low levels of PON1 until six months to several years after birth, likely increasing the risk from chlorpyrifos exposure early in life.[58]

Combined exposures

Several studies have examined the effects of combined exposure to chlorpyrifos and other chemical agents, and these combined exposures can result in different effects during development. Female rats exposed first to dexamethasone, a treatment for premature labor, for three days in utero and then to low levels of chlorpyrifos for four days after birth experienced additional damage to the acetylcholine system upstream of the synapse that was not observed with either exposure alone.[59] In both male and female rats, combined exposures to dexamethasone and chlorpyrifos decreased serotonin turnover in the synapse, for female rats with a greater-than-additive result.[60] Rats that were co-exposed to dexamethasone and chlorpyrifos also exhibited complex behavioral differences from exposure to either chemical alone, including lessening or reversing normal sex differences in behavior.[61] In the lab, in rats and neural cells co-exposed to both nicotine and chlorpyrifos, nicotine appears to protect against chlorpyrifos acetylcholinesterase inhibition and reduce its effects on neurodevelopment.[62][63][64] In at least one study, nicotine appeared to enhance chlorpyrifos detoxification.[62]

Human exposure

In 2011, EPA estimated that, in the general US population, people consume 0.009 micrograms of chlorpyrifos per kilogram of their body weight per day directly from food residue.[65] Children are estimated to consume a greater quantity of chlorpyrifos per unit of body weight from food residue, with toddlers the highest at 0.025 micrograms of chlorpyrifos per kilogram of their body weight per day. People may also ingest chlorpyrifos from drinking water or from residue in food handling establishments. The EPA's acceptable daily dose is 0.3 micrograms/kg/day.[65] However, as of 2016, EPA scientists had not been able to find any level of exposure to the pesticide that was safe.[66] The EPA 2016 report states in part "... this assessment indicates that dietary risks from food alone are of concern ..." The report also states that previous published risk assessments for "chlorpyrifos may not provide a sufficiently health protective human health risk assessment given the potential for neurodevelopmental outcomes."[67]

Humans can be exposed to chlorpyrifos by way of ingestion (e.g., residue on treated produce, drinking water), inhalation (especially of indoor air), or absorption (i.e., through the skin). However, compared to other organophosphates, chlorpyrifos degrades relatively quickly once released into the environment. According to the National Institutes of Health, the half-life for chlorpyrifos (i.e., the period of time that it takes for the active amount of the chemical to decrease by 50%) "can typically range from 33–56 days for soil incorporated applications and 7–15 days for surface applications"; in water, the half-life is about 25 days, and in the air, the half-life can range from four to ten days.[68]

Before residential use was restricted in the US, data from 1999 to 2000 in the national NHANES study detected the metabolite TCPy in 91% of human urine samples tested.[69] In samples collected between 2007 and 2009 from families living in Northern California, TCPy was found in 98.7% of floor wipes tested and in 65% of urine samples tested. For both children and adults, the average concentrations of TCPy in urine were lower in the later study.[69] A study looking at pregnant women living in an agricultural community in California's Salinas Valley in 2004 showed that 76% of the pregnant women had detectable levels of TCPy.[70] A 2008 study found dramatic drops in the urinary levels of chlorpyrifos metabolites when children in the general population switched from conventional to organic diets.[71]

Children of agricultural workers are more likely to come into contact with chlorpyrifos. A study done in an agricultural community in Washington State showed that children who lived in closer proximity to farmlands had higher levels of chlorpyrifos residues from house dust.[72] Chlorpyrifos residues were also found on work boots and children's hands, showing that agricultural families could take home these residues from their jobs.[72] Urban and suburban children get most of their chlorpyrifos exposure from fruits and vegetables.[73] A study done in North Carolina on children's exposure showed that chlorpyrifos was detected in 50% of the food, dust, and air samples in both their homes and daycare, with the main route of exposure being through ingestion.[74] Certain other populations with higher likely exposure to chlorpyrifos, such as people who apply pesticides, work on farms, or live in agricultural communities, have been measured in the US to excrete TCPy in their urine at levels that are 5 to 10 times greater than levels in the general population.[75][76][77]

As of 2016, chlorpyrifos is the most used conventional insecticide in the US and is used in over 40 states; the top five states (in total pounds applied) are California, North Dakota, Minnesota, Iowa, and Texas. It is used on over 50 crops, with the top five crops (in total pounds applied) being soybeans, corn, alfalfa, oranges, and almonds. Additionally, crops with 30% or more of the crop treated (compared to total acres grown) include apples, asparagus, walnuts, table grapes, cherries, cauliflower, broccoli, and onions.[78]

Air monitoring studies conducted by the California Air Resources Board (CARB) documented chlorpyrifos in the air of California communities.[79] Analyses indicate that children living in areas of high chlorpyrifos use are often exposed to levels that exceed EPA dosages.[80][81] A study done in Washington state using passive air samplers showed that households who lived less than 250 meters from a fruit tree field had higher levels of chlorpyrifos concentrations in the air than households that were further away.[82] Advocacy groups monitored air samples in Washington and Lindsay, California, in 2006 with comparable results.[83][84] Grower and pesticide industry groups argued that the air levels documented in these studies are not high enough to cause significant exposure or adverse effects.[85] A follow-up biomonitoring study in Lindsay also showed that people there display above-normal chlorpyrifos levels.[86][87]

Effects on wildlife

Aquatic life

Among freshwater aquatic organisms, crustaceans and insects appear to be more sensitive to acute exposure than are fish.[88] Aquatic insects and animals appear to absorb chlorpyrifos directly from water rather than ingesting it with their diet or through sediment exposure.[88]

Concentrated chlorpyrifos released into rivers killed insects, shrimp and fish. In Britain, the rivers Roding (1985), Ouse (2001), Wey (2002 & 2003), and Kennet (2013) all experienced insect, shrimp, or fish kills as a result of small releases of concentrated chlorpyrifos.[89] The July 2013 release along the River Kennet poisoned insect life and shrimp along 15 km of the river, likely from a half a cup of concentrated chlorpyrifos washed down a drain.[90]

Bees

Acute exposure to chlorpyrifos can be toxic to bees, with an oral LD50 of 360 ng/bee and a contact LD50 of 70 ng/bee.[24] Guidelines for Washington state recommend that chlorpyrifos products should not be applied to flowering plants such as fruit trees within 4–6 days of blossoming to prevent bees from directly contacting the residue.[91]

Risk assessments have primarily considered acute exposure, but more recently researchers have begun to investigate the effects of chronic, low-level exposure through residue in pollen and components of bee hives.[92] A review of US studies, several European countries, Brazil and India found chlorpyrifos in nearly 15% of hive pollen samples and just over 20% of honey samples. Because of its high toxicity and prevalence in pollen and honey, bees are considered to have higher risk from chlorpyrifos exposure via their diet than from many other pesticides.[92]

When exposed in the laboratory to chlorpyrifos at levels roughly estimated from measurements in hives, bee larvae experienced 60% mortality over 6 days, compared with 15% mortality in controls.[93] Adult bees exposed to sub-lethal effects of chlorpyrifos (0.46 ng/bee) exhibited altered behaviors: less walking; more grooming, particularly of the head; more difficulty righting themselves; and unusual abdominal spasms.[94] Chlorpyrifos oxon appears to particularly inhibit acetylcholinesterase in bee gut tissue as opposed to head tissue.[94] Other organophosphate pesticides impaired bee learning and memory of smells in the laboratory.[95]

Regulation

International law

Chlorpyrifos is not regulated under international law or treaty. Organizations such as PANNA and the NRDC state that chlorpyrifos meets the four criteria (persistence, bioaccumulation, long-range transport, and toxicity) in Annex D of the Stockholm Convention on Persistent Organic Pollutants and should be restricted.[96]

National regulations

Chlorpyrifos was used to control insect infestations of homes and commercial buildings in Europe until it was banned from sale in 2008.[97] Chlorpyrifos is restricted from termite control in Singapore as of 2009.[98] It was banned from residential use in South Africa as of 2010.[99] In 2010, India barred Dow from commercial activity for 5 years[100] after India's Central Bureau of Investigation found Dow guilty of bribing Indian officials in 2007 to allow the sale of chlorpyrifos.[101] It has been banned in the United Kingdom in 2016 apart from a limited use in drenching seedlings.[102]

Chlorpyrifos has not been permitted for agricultural use in Sweden at all[103] (usage as a pest controllant is an exception – the last approval ran out in August 2008).

United States

In the United States, several laws directly or indirectly regulate the use of pesticides. These laws, which are implemented by the EPA, NIOSH, USDA and FDA, include: the Clean Water Act (CWA); the Endangered Species Act (ESA); the Federal Insecticide, Fungicide, and Rodenticide Act (FIFRA); the Federal Food, Drug, and Cosmetic Act (FFDCA); the Comprehensive Environmental Response, Compensation, and Liability Act (CERCLA); and the Emergency Planning and Community Right-to-Know Act (EPCRA). As a pesticide, chlorpyrifos is not regulated under the Toxic Substances Control Act (TSCA).[104]

Chlorpyrifos is sold in restricted-use products for certified pesticide applicators to use in agriculture and other settings, such as golf courses or for mosquito control.[105] It may also be sold in ant and roach baits with childproof packaging.[106] In 2000, manufacturers reached an agreement with the EPA to voluntarily restrict the use of chlorpyrifos in places where children may be exposed, including homes, schools and day care centers.[107][108]

In 2007 Pesticide Action Network North America and Natural Resources Defense Council (collectively, PANNA) submitted an administrative petition requesting a chlorpyrifos ban. On 10 August 2015, the Ninth Circuit Court of Appeals in PANNA v. EPA ordered the EPA to respond to PANNA's petition by "revok[ing] all tolerances for the insecticide chlorpyrifos", den[ying] the Petition or [issuing] a "proposed or final tolerance revocation" no later than 31 October 2015.[109][110] The EPA was "unable to conclude that the risk from aggregate exposure from the use of chlorpyrifos [met] the safety standard of section 408(b)(2) of the Federal Food, Drug, and Cosmetic Act (FFDCA)" and therefore proposed "to revoke all tolerances for chlorpyrifos."[110]

In an 30 October 2015 statement Dow AgroSciences disagreed with the EPA's proposed revocation and "remain[ed] confident that authorized uses of chlorpyrifos products, as directed, offer wide margins of protection for human health and safety." In a November 2016 press release, DOW argued that chlorpyrifos was "a critical tool for growers of more than 50 different types of crops in the United States" with limited or no viable alternatives."[111] The Environment News Service quoted the Dow AgroSciences' statement disagreeing with the EPA findings.[112]

Chlorpyrifos is one of the most widely used pest control products in the world. It is authorized for use in about 100 nations, including the U.S., Canada, the United Kingdom, Spain, France, Italy, Japan, Australia and New Zealand, where it is registered for protection of essentially every crop now under cultivation. No other pesticide has been more thoroughly tested.

— Statement Dow AgroSciences October 30, 2015

In November 2016, the EPA reassessed its ban proposal after taking into consideration recommendations made by the agency's Science Advisory Panel which had rejected the EPA's methodology in quantifying the risk posed by chlorpyrifos. Using a different methodology as suggested by the panel, the EPA retained its decision to completely ban chlorpyrifos. The EPA concluded that, while "uncertainties" remain, a number of studies provide "sufficient evidence" that children experience neurodevelopment effects even at low levels of chlorpyrifos exposure.[66][67][113]

On 29 March 2017, EPA Administrator Scott Pruitt, appointed by the Trump administration, overturned the 2015 EPA revocation and denied the administrative petition by the Natural Resources Defense Council and the Pesticide Action Network North America to ban chlorpyrifos.[10]

By reversing the previous administration's steps to ban one of the most widely used pesticides in the world, we are returning to using sound science in decision-making – rather than predetermined results.

— Statement by Scott Pruitt, EPA, Administrator March 29, 2017

The American Academy of Pediatrics responded to the administration's decision saying they are "deeply alarmed" by Pruitt's decision to allow the pesticide's continued use. "There is a wealth of science demonstrating the detrimental effects of chlorpyrifos exposure to developing fetuses, infants, children and pregnant women. The risk to infant and children's health and development is unambiguous."[114]

Asked in April whether Pruitt had met with Dow Chemical Company executives or lobbyists before his decision, an EPA spokesman replied: "We have had no meetings with Dow on this topic." In June, after several Freedom of Information Act requests, the EPA released a copy of Pruitt's March meeting schedule which showed that a meeting had been scheduled between Pruitt and Dow CEO Andrew Liveris at a hotel in Houston, Texas, on 9 March.[114] Both men were featured speakers at an energy conference. An EPA spokesperson reported that the meeting was brief and the pesticide was not discussed.[115]

In August, it was revealed that in fact Pruitt and other EPA officials had met with industry representatives on dozens of occasions in the weeks immediately prior to the March decision, promising them that it was "a new day" and assuring them that their wish to continue using chlorpyrifos had been heard. Ryan Jackson, Pruitt's chief of staff, said in an 8 March email that he had "scared" career staff into going along with the political decision to deny the ban, adding "[T]hey know where this is headed and they are documenting it well."[116]

On 9 August 2018 the U.S. 9th Circuit court of Appeals ruled that the EPA must ban chlorpyrifos within 60 days from that date. A spokesman for Dow DuPont stated that "all appellate options" would be considered. In contrast, Marisa Ordonia, a lawyer for Earthjustice, the organization that had conducted much of the legal work on the case, hailed the decision.[117][118] The ruling was almost immediately appealed by Trump administration lawyers.[12]

Residue

The use of chlorpyrifos in agriculture can leave chemical residue on food commodities. The FFDCA requires EPA to set limits, known as tolerances, for pesticide residue in human food and animal feed products based on risk quotients for acute and chronic exposure from food in humans.[119][120] These tolerances limit the amount of chlorpyrifos that can be applied to crops. FDA enforces EPA's pesticide tolerances and determines "action levels" for the unintended drift of pesticide residues onto crops without tolerances.[121]

After years of research without a conclusion and cognizant of the court order to issue a final ruling, the EPA proposed to eliminate all tolerances for chlorpyrifos ("Because tolerances are the maximum residue of a pesticide that can be in or on food, this proposed rule revoking all chlorpyrifos tolerances means that if this approach is finalized, all agricultural uses of chlorpyrifos would cease."), and then solicited comments.[122]

The Dow Chemical Company is actively opposed to tolerance restrictions on chlropyrifos and is currently lobbying the White House to, among other goals, pressure EPA to reverse its proposal to revoke chlorpyrifos food residue tolerances.[123]

The EPA has not updated the approximately 112 tolerances pertaining to food products and supplies since 2006.[120][124] However, in a 2016 report, EPA scientists had not been able to find any level of exposure to the pesticide that was safe.[66] The EPA 2016 report states in part "... this assessment indicates that dietary risks from food alone are of concern ..." the report also states that previous published risk assessments for "chlorpyrifos may not provide a [sufficient] ... human health risk assessment given the potential for neurodevelopmental outcomes."[67]

″The ... [food only] exposures for chlorpyrifos are of risk concern ... for all population subgroups analyzed. Children (1–2 years old) is the population subgroup with the highest risk estimate at 14,000% of the ssPADfood.″[67] (This acronym refers to the steady-state population-adjusted dose for food, which is considered the maximum safe oral dose.)

Based on 2006 EPA rules, chlorpyrifos has a tolerance of 0.1 part per million (ppm) residue on all food items unless a different tolerance has been set for that item or chlorpyrifos is not registered for use on that crop.[125] EPA set approximately 112 tolerances pertaining to food products and supplies.[120][124] In 2006, to reduce childhood exposure, the EPA amended its chlorpyrifos tolerance on apples, grapes and tomatoes, reducing the grape and apple tolerances to 0.01 ppm and eliminating the tolerance on tomatoes.[120] Chlorpyrifos is not allowed on crops such as spinach, squash, carrots, and tomatoes; any chlorpyrifos residue on these crops normally represents chlorpyrifos misuse or spray drift.[120]

Food handling establishments (places where food products are held, processed, prepared or served) are included in the food tolerance of 0.1 ppm for chlorpyrifos. Food handling establishments may use a 0.5% solution of chlorpyrifos solely for spot and/or crack and crevice treatments.[124] Food items are to be removed or protected during treatment. Food handling establishment tolerances may be modified or exempted under FFDCA sec. 408.[126]

Water

Chlorpyrifos in waterways is regulated as a hazardous substance under section 311(b)(2)(A) of the Federal Water Pollution Control Act and falls under the CWA amendments of 1977 and 1978.[127] The regulation is inclusive of all chlorpyrifos isomers and hydrates in any solution or mixture. EPA has not set a drinking water regulatory standard for chlorpyrifos, but has established a drinking water guideline of 2 ug/L.[128]

In 2009, to protect threatened salmon and steelhead under CWA and ESA, EPA and National Marine Fisheries Service (NMFS) recommended limits on the use of chlorpyrifos in California, Idaho, Oregon and Washington and requested that manufacturers voluntarily add buffer zones, application limits and fish toxicity to the standard labeling requirements for all chlorpyrifos-based products.[129] Manufacturers rejected the request.[130] In February 2013 in Dow AgroSciences vs NMFS, the Fourth Circuit Court of Appeals vacated EPA's order for these labeling requirements.[131] In August 2014, in the settlement of a suit brought by environmental and fisheries advocacy groups against EPA in the U.S. District Court for the Western District of Washington, EPA agreed to re-instate no-spray stream buffer zones in California, Oregon and Washington, restricting aerial spraying (300 ft.) and ground-based applications (60 ft.) near salmon populations.[132] These buffers will remain until EPA makes a permanent decision in consultation with NMFS.[133]

Reporting

EPCRA designates the chemicals that facilities must report to the Toxics Release Inventory (TRI), based on EPA assessments. Chlorpyrifos is not on the reporting list. It is on the list of hazardous substances under CERCLA (aka the Superfund Act). In the event of an environmental release above its reportable quantity of 1 lb or 0.454 kg, facilities are required to immediately notify the National Response Center (NRC).[134]

In 1995, Dow paid a $732,000 EPA penalty for not forwarding reports it had received on 249 chlorpyrifos poisoning incidents.[135]

Occupational exposure

In 1989, OSHA established a workplace permissible exposure limit (PEL) of 0.2 mg/m3 for chlorpyrifos, based on an 8-hour time weighted average (TWA) exposure. However, the rule was remanded by the U.S. Circuit Court of Appeals and no PELs are in place presently.[136]

EPA's Worker Protection Standard requires owners and operators of agricultural businesses to comply with safety protocols for agricultural workers and pesticide handlers (those who mix, load and apply pesticides). For example, in 2005, the EPA filed an administrative complaint against JSH Farms, Inc. (Wapato, Washington) with proposed penalties of $1,680 for using chlorpyrifos in 2004 without proper equipment. An adjacent property was contaminated with chlorpyrifos due to pesticide drift and the property owner suffered from eye and skin irritation.[137]

State laws

Additional laws and guidelines may apply for individual states. For example, Florida has a drinking water guideline for chlorpyrifos of 21 ug/L.[128] Other states are reviewing chlorpyrifos following the federal government's recommendations for pesticide surveillance.

In 2003, Dow agreed to pay $2 million to New York state, in response to a lawsuit to end Dow's advertising of Dursban as "safe".[138]

Oregon's Department of Environmental Quality added chlorpyrifos to the list of targeted reductions in the Clackamas Subbasin as part of the Columbia River National Strategic Plan, which is based on EPA'S 2006–11 National Strategic Plan.[139]

In 2017, chlorpyrifos was included California's Proposition 65.[140]

California included regulation limits for chlorpyrifos in waterways and established maximum and continuous concentration limits of 0.025 ppb and 0.015 ppb, respectively.[141][142]

In Hawaii, a 2018 law will ban products containing chlorpyrifos effective 2023. Before that, starting in 2019, the law requires temporary application permits and annual reporting and mandates a 100-foot buffer around schools during school hours.[143][144]

Australia

The Australian Pesticides and Veterinary Medicine Authority has a Chlorpyrifos Chemical Review in progress.[145]

Denmark

Chlorpyrifos was never approved for use in Denmark, except on ornamental plants grown in greenhouses. This use was banned in 2012.[146]

European Union

The European Food Safety Authority released a statement in July 2019 which concluded that the approval criteria for chlorpyrifos which apply to human health are not met.[147] Their literature review concluded that there is no evidence for reproductive toxicity in rats, but that chlorpyrifos is potentially genotoxic. The report stated that chlorpyrifos is clearly a potent Acetylcholinesterase inhibitor, that it can be absorbed by ingestion, inhalation, and through the skin, and that epidemiological evidence supports the hypothesis that it is a human developmental neurotoxin that can cause early cognitive and behavioral deficits through prenatal exposure.

Thailand

Chlorpyrifos was banned under Thai law effective effective from 1 June 2020. Farmers were given 270 days to destroy their stock, while a 90-day deadline was also given to farmers to return the chemicals for destruction, as their possession is considered illegal by the Department of Agriculture. After deadline, any person who possesses the illegal agrochemicals will be fined one million baht, jailed for 10 years, or both.[148]

Manufacture

Chlorpyrifos is produced via a multistep synthesis from 3-Methylpyridine, eventually reacting 3,5,6-trichloro-2-pyridinol with diethylthiophosphoryl chloride.[2]

See also

References

  1. ^ "California Department of Pestidicide Regulation – Chlorpyrifos Product List May 2015" (PDF). Archived from the original (PDF) on 1 January 2019. Retrieved 30 March 2017.
  2. ^ a b Muller, Franz, ed. (2000). Agrochemicals: Composition, Production, Toxicology, Applications. Toronto: Wiley-VCH. p. 541. ISBN 978-3-527-29852-5.
  3. ^ a b c d e f NIOSH Pocket Guide to Chemical Hazards. "#0137". National Institute for Occupational Safety and Health (NIOSH).
  4. ^ Sangster J; LOGKOW Databank. Sangster Res. Lab., Montreal Quebec, Canada (1994)
  5. ^ Lide, David R. (2015–2016). "Physical Constants of Organic Compounds". Handbook of Chemistry and Physics (96 ed.). Boca Raton, FL: CRC Press. pp. 3–122. ISBN 9781482208672.
  6. ^ U.S. Patent 3,244,586
  7. ^ World Health Organization (2010). The WHO Recommended Classification of Pesticides by Hazard and Guidelines to Classification 2009 (Report). World Health Organization. Retrieved 9 July 2014.
  8. ^ "Common Insecticide May Harm Boys' Brains More Than Girls". Scientific American. 21 August 2012.
  9. ^ a b c d U.S. EPA (2002). "Interim Reregistration Eligibility Decision for Chlorpyrifos" (PDF). Archived from the original on 19 November 2012. Retrieved 28 February 2016.
  10. ^ a b "U.S. EPA denies petition to ban pesticide chlorpyrifos", Reuters, 29 March 2017, retrieved 30 March 2017
  11. ^ "Federal appeals court orders EPA to ban pesticide". Washington Examiner. 9 August 2018. Retrieved 9 August 2018.
  12. ^ a b "Trump admin appeals ruling ordering EPA to ban pesticide". The Hill. 24 September 2018. Retrieved 24 January 2019.
  13. ^ a b Bob Egelko (9 May 2019). "Newsom banning chemical on crops: Action outlaws pesticide Trump EPA wants to save". San Francisco Chronicle. p. A1.
  14. ^ Thomas A. Unger (1996). Pesticide Synthesis Handbook. p. 313. ISBN 0-8155-1853-6.
  15. ^ The Dow Chemical Company. "Chlorpyrifos and Responsible Use". Retrieved 24 July 2014.
  16. ^ "NASS Agricultural Chemical Database". Pestmanagement.info. Archived from the original on 27 September 2011. Retrieved 20 November 2011.
  17. ^ O, Akhtar. "insecticides". Plant diseases identification. Retrieved 4 June 2020.
  18. ^ Grube, Arthur; Donaldson, David; Kiely, Timothy; Wu, La (2011). "Pesticide Industry Sales and Usage Report: 2006 and 2007 Market Estimates" (PDF). U.S. EPA. Archived from the original (PDF) on 18 March 2015. Retrieved 24 July 2014.
  19. ^ "Dursban Pro specimen label" (PDF). Archived from the original (PDF) on 24 August 2009.
  20. ^ "Strike-Out 500WP label" (PDF). Archived from the original (PDF) on 11 March 2011.
  21. ^ Rauh, Virginia A.; Perera, Frederica P.; Horton, Megan K.; Whyatt, Robin M.; Bansal, Ravi; Hao, Xuejun; Liu, Jun; Barr, Dana Boyd; Slotkin, Theodore A.; Peterson, Bradley S. (15 May 2012). "Brain anomalies in children exposed prenatally to a common organophosphate pesticide". PNAS. 109 (20): 7871–7876. Bibcode:2012PNAS..109.7871R. doi:10.1073/pnas.1203396109. PMC 3356641. PMID 22547821.
  22. ^ World Health Organization (2010). The WHO Recommended Classification of Pesticides by Hazard and Guidelines to Classifi³cation 2009 (Report). World Health Organization. Retrieved 9 July 2014.
  23. ^ "Chlorpyrifos". Pmep.cce.cornell.edu. Retrieved 20 November 2011.
  24. ^ a b c d e Christensen, K.; Harper, B.; Luukinen, B.; Buhl, K.; Stone, D. (2009). "Chlorpyrifos Technical Fact Sheet". National Pesticide Information Center. Retrieved 3 July 2014.
  25. ^ a b Eddleston, M. (1 November 2000). "Patterns and problems of deliberate self-poisoning in the developing world". QJM. 93 (11): 715–731. doi:10.1093/qjmed/93.11.715. ISSN 1460-2725. PMID 11077028.
  26. ^ a b Gunnell, David; Eddleston, Michael; Phillips, Michael R.; Konradsen, Flemming (21 December 2007). "The global distribution of fatal pesticide self-poisoning: Systematic review". BMC Public Health. 7 (1): 357. doi:10.1186/1471-2458-7-357. ISSN 1471-2458. PMC 2262093. PMID 18154668.
  27. ^ Eddleston, Michael; Eyer, Peter; Worek, Franz; Mohamed, Fahim; Senarathna, Lalith; von Meyer, Ludwig; Juszczak, Edmund; Hittarage, Ariyasena; Azhar, Shifa; Dissanayake, Wasantha; Sheriff, M. H. Rezvi; Szinicz, Ladislaus; Dawson, Andrew H.; Buckley, Nick A. (28 October 2005). "Differences between organophosphorus insecticides in human self-poisoning: a prospective cohort study". The Lancet. 366 (9495): 1452–1459. doi:10.1016/S0140-6736(05)67598-8. ISSN 0140-6736. PMID 16243090.
  28. ^ Stone, David L.; Sudakin, Daniel L.; Jenkins, Jeffrey J. (20 April 2009). "Longitudinal trends in organophosphate incidents reported to the National Pesticide Information Center, 1995–2007". Environmental Health. 8 (1): 18. doi:10.1186/1476-069X-8-18. ISSN 1476-069X. PMC 2673208. PMID 19379510.
  29. ^ a b Buckley, Nick A.; Eddleston, Michael; Li, Yi; Bevan, Marc; Robertson, Jane (2011). "Oximes for acute organophosphate pesticide poisoning". Cochrane Database of Systematic Reviews. John Wiley & Sons, Ltd (2): CD005085. doi:10.1002/14651858.CD005085.pub2. PMID 21328273.
  30. ^ Pawar, Kirti S; Bhoite, Ramesh R.; Pillay, Chandrakant P.; Chavan, Sujata C.; Malshikare, Dhananjay S.; Garad, Saraswati G. (22 December 2006). "Continuous pralidoxime infusion versus repeated bolus injection to treat organophosphorus pesticide poisoning: a randomised controlled trial". The Lancet. 368 (9553): 2136–2141. doi:10.1016/S0140-6736(06)69862-0. ISSN 0140-6736. PMID 17174705.
  31. ^ Eddleston, Michael; Eyer, Peter; Worek, Franz; Juszczak, Edmund; Alder, Nicola; Mohamed, Fahim; Senarathna, Lalith; Hittarage, Ariyasena; Azher, Shifa; Jeganathan, K.; Jayamanne, Shaluka; von Meyer, Ludwig; Dawson, Andrew H.; Sheriff, Mohamed Hussain Rezvi; Buckley, Nick A. (June 2009). "Pralidoxime in acute organophosphorus insecticide poisoning—A randomised controlled trial". PLOS Medicine. 6 (6): e1000104. doi:10.1371/journal.pmed.1000104. ISSN 1549-1277. PMC 2696321. PMID 19564902.
  32. ^ "Toxin 'likely' cause of Sarah Carter's death". stuff.co.nz. Retrieved 8 May 2011.
  33. ^ "Sarah Carter's likely cause of death – insecticide". 3 News. Archived from the original on 14 September 2011. Retrieved 8 May 2011.
  34. ^ "Thailand death cover-up suspected". NZ Herald Online. 9 May 2011.
  35. ^ Hayden Donnell (11 May 2011). "Thai experts: Bed bug spray didn't kill Kiwi tourist". The New Zealand Herald. Retrieved 11 May 2011.
  36. ^ "Thais deny tourists' deaths linked". Dominion Post. 26 May 2011. Retrieved 26 May 2011.
  37. ^ a b c Flaskos, J. (25 February 2012). "The developmental neurotoxicity of organophosphorus insecticides: A direct role for the oxon metabolites". Toxicology Letters. 209 (1): 86–93. doi:10.1016/j.toxlet.2011.11.026. ISSN 0378-4274. PMID 22155227.
  38. ^ a b c d Timofeeva, Olga A.; Levin, Edward D. (2010). "Lasting Behavioral Consequences of Organophosphate Pesticide Exposure During Development". In R. Krieger (ed.). Hayes' Handbook of Pesticide Toxicology (Third ed.). New York: Academic Press. pp. 837–846. doi:10.1016/B978-0-12-374367-1.00033-1. ISBN 978-0-12-374367-1.
  39. ^ a b "Chlorpyrifos | Pesticide Action Network". www.panna.org. Retrieved 15 October 2018.
  40. ^ Smith, Jordan Ned; Hinderliter, Paul M.; Timchalk, Charles; Bartels, Michael J.; Poet, Torka S. (1 August 2014). "A human life-stage physiologically based pharmacokinetic and pharmacodynamic model for chlorpyrifos: Development and validation". Regulatory Toxicology and Pharmacology. 69 (3): 580–597. doi:10.1016/j.yrtph.2013.10.005. ISSN 0273-2300. PMID 24200834.
  41. ^ Rauh, Virginia. "7-Year Neurodevelopmental Scores and Prenatal Exposure to Chlorpyrifos, a Common Agricultural Pesticide" (PDF). ccceh.org. Columbia Center for Children's Environmental Health. Retrieved 8 April 2018.
  42. ^ Bouchard, Maryse F.; Chevrier, Jonathan; Harley, Kim G.; Kogut, Katherine; Vedar, Michelle; Calderon, Norma; Trujillo, Celina; Johnson, Caroline; Bradman, Asa (2011). "Prenatal Exposure to Organophosphate Pesticides and IQ in 7-Year-Old Children". Environmental Health Perspectives. 119 (8): 1189–1195. doi:10.1289/ehp.1003185. ISSN 0091-6765. PMC 3237357. PMID 21507776.
  43. ^ a b Rauh, Virginia; Arunajadai, Srikesh; Horton, Megan; Perera, Frederica; Hoepner, Lori; Barr, Dana B.; Whyatt, Robin (2011). "Seven-Year Neurodevelopmental Scores and Prenatal Exposure to Chlorpyrifos, a Common Agricultural Pesticide". Environmental Health Perspectives. 119 (8): 1196–1201. doi:10.1289/ehp.1003160. ISSN 0091-6765. PMC 3237355. PMID 21507777.
  44. ^ a b Silver, Monica K.; Shao, Jie; Zhu, Binquan; Chen, Minjian; Xia, Yankai; Kaciroti, Niko; Lozoff, Betsy; Meeker, John D. (2017). "Prenatal naled and chlorpyrifos exposure is associated with deficits in infant motor function in a cohort of Chinese infants". Environment International. 106: 248–256. doi:10.1016/j.envint.2017.05.015. ISSN 0160-4120. PMC 5533622. PMID 28602489.
  45. ^ Muñoz-Quezada, Maria Teresa; Lucero, Boris A.; Barr, Dana B.; Steenland, Kyle; Levy, Karen; Ryan, P. Barry; Iglesias, Veronica; Alvarado, Sergio; Concha, Carlos; Rojas, Evelyn; Vega, Catalina (December 2013). "Neurodevelopmental effects in children associated with exposure to organophosphate pesticides: A systematic review". NeuroToxicology. 39: 158–168. doi:10.1016/j.neuro.2013.09.003. ISSN 0161-813X. PMC 3899350. PMID 24121005.
  46. ^ Perera, FP (2005). "A Summary of Recent Findings on Birth Outcomes and Developmental Effects of Prenatal ETS, PAH, and Pesticide Exposures". NeuroToxicology. 26 (4): 573–587. doi:10.1016/j.neuro.2004.07.007. PMID 16112323. S2CID 16115200.
  47. ^ a b c Connors, Susan L.; Levitt, Pat; Matthews, Stephen G.; Slotkin, Theodore A.; Johnston, Michael V.; Kinney, Hannah C.; Johnson, William G.; Dailey, Rosa M.; Zimmerman, Andrew W. (March 2008). "Fetal Mechanisms in Neurodevelopmental Disorders". Pediatric Neurology. 38 (3): 163–176. doi:10.1016/j.pediatrneurol.2007.10.009. ISSN 0887-8994. PMID 18279750.
  48. ^ a b Slotkin, T. A. (April 2011). "Does early-life exposure to organophosphate insecticides lead to prediabetes and obesity?". Reproductive Toxicology. Prenatal Programming and Toxicity II (PPTOX II): Role of Environmental Stressors in the Developmental Origins of Disease. 31 (3): 297–301. doi:10.1016/j.reprotox.2010.07.012. ISSN 0890-6238. PMC 3025269. PMID 20850519.
  49. ^ Cao, Fangjie; Souders, Christopher L.; Li, Pengfei; Pang, Sen; Qiu, Lihong; Martyniuk, Christopher J. (2018). "Biological impacts of organophosphates chlorpyrifos and diazinon on development, mitochondrial bioenergetics, and locomotor activity in zebrafish (Danio rerio)". Neurotoxicology and Teratology. 70: 18–27. doi:10.1016/j.ntt.2018.10.001. ISSN 0892-0362. PMID 30290195.
  50. ^ Hoppin, Jane A.; Umbach, David M.; London, Stephanie J.; Alavanja, Michael C. R.; Sandler, Dale P. (1 March 2002). "Chemical predictors of wheeze among farmer pesticide applicators in the Agricultural Health Study". American Journal of Respiratory and Critical Care Medicine. 165 (5): 683–689. doi:10.1164/ajrccm.165.5.2106074. ISSN 1073-449X. PMID 11874814.
  51. ^ "Lung Cancer in the Agricultural Health Study (IA)" http://aghealth.nci.nih.gov/pdfs/IALungCancer2006.pdf Archived 15 October 2011 at the Wayback Machine
  52. ^ Lee, Won Jin; Blair, Aaron; Hoppin, Jane A.; Lubin, Jay H.; Rusiecki, Jennifer A.; Sandler, Dale P.; Dosemeci, Mustafa; Alavanja, Michael C. R. (1 December 2004). "Cancer incidence among pesticide applicators exposed to chlorpyrifos in the Agricultural Health Study". Journal of the National Cancer Institute. 96 (23): 1781–1789. doi:10.1093/jnci/djh324. ISSN 0027-8874. PMID 15572760.
  53. ^ Thrasher, JD; Madison, R; Broughton, A (March–April 1993). "Immunologic abnormalities in humans exposed to chlorpyrifos: preliminary observations". Archives of Environmental Health. 48 (2): 89–93. doi:10.1080/00039896.1993.9938400. PMID 7682805.
  54. ^ Costa, Lucio G. (April 2006). "Current issues in organophosphate toxicology". Clinica Chimica Acta. 366 (1–2): 1–13. doi:10.1016/j.cca.2005.10.008. ISSN 0009-8981. PMID 16337171.
  55. ^ a b Slotkin, T A (15 July 2004). "Cholinergic systems in brain development and disruption by neurotoxicants: nicotine, environmental tobacco smoke, organophosphates". Toxicology and Applied Pharmacology. 198 (2): 132–151. doi:10.1016/j.taap.2003.06.001. ISSN 0041-008X. PMID 15236950.
  56. ^ Casida, John E.; Nomura, Daniel K.; Vose, Sarah C.; Fujioka, Kazutoshi (25 September 2008). "Organophosphate-sensitive lipases modulate brain lysophospholipids, ether lipids and endocannabinoids". Chemico-Biological Interactions. Proceedings of the IX International Meeting on Cholinesterases. 175 (1–3): 355–364. doi:10.1016/j.cbi.2008.04.008. ISSN 0009-2797. PMC 2582404. PMID 18495101.
  57. ^ Eaton, David L.; Daroff, Robert B.; Autrup, Herman; Bridges, James; Buffler, Patricia; Costa, Lucio G.; Coyle, Joseph; McKhann, Guy; Mobley, William C.; Nadel, Lynn; Neubert, Diether; Schulte-Hermann, Rolf; Spencer, Peter S. (January 2008). "Review of the toxicology of chlorpyrifos with an emphasis on human exposure and neurodevelopment". Critical Reviews in Toxicology. 38 Suppl 2 (s2): 1–125. doi:10.1080/10408440802272158. ISSN 1547-6898. PMID 18726789.
  58. ^ a b c d Costa, Lucio G.; Giordano, Gennaro; Cole, Toby B.; Marsillach, Judit; Furlong, Clement E. (10 May 2013). "Paraoxonase 1 (PON1) as a genetic determinant of susceptibility to organophosphate toxicity". Toxicology. Emerging health issues from chronic pesticide exposure: Innovative methodologies and effects on molecular cell and tissue level. 307: 115–122. doi:10.1016/j.tox.2012.07.011. ISSN 0300-483X. PMC 3516631. PMID 22884923.
  59. ^ Slotkin, Theodore A.; Card, Jennifer; Infante, Alice; Seidler, Frederic J. (May 2013). "Prenatal dexamethasone augments the sex-selective developmental neurotoxicity of chlorpyrifos: Implications for vulnerability after pharmacotherapy for preterm labor". Neurotoxicology and Teratology. 37: 1–12. doi:10.1016/j.ntt.2013.02.002. ISSN 0892-0362. PMC 3669256. PMID 23416428.
  60. ^ Slotkin, Theodore A.; Card, Jennifer; Seidler, Frederic J. (January 2014). "Prenatal dexamethasone, as used in preterm labor, worsens the impact of postnatal chlorpyrifos exposure on serotonergic pathways". Brain Research Bulletin. 100: 44–54. doi:10.1016/j.brainresbull.2013.10.014. ISSN 0361-9230. PMC 3891922. PMID 24280657.
  61. ^ Levin, Edward D.; Cauley, Marty; Johnson, Joshua E.; Cooper, Ellen M.; Stapleton, Heather M.; Ferguson, P. Lee; Seidler, Frederic J.; Slotkin, Theodore A. (January 2014). "Prenatal dexamethasone augments the neurobehavioral teratology of chlorpyrifos: Significance for maternal stress and preterm labor". Neurotoxicology and Teratology. 41: 35–42. doi:10.1016/j.ntt.2013.10.004. ISSN 0892-0362. PMC 3943881. PMID 24177596.
  62. ^ a b Lee, Sookwang; Poet, Torka S.; Smith, Jordan N.; Busby-Hjerpe, Andrea L.; Timchalk, Charles (30 March 2010). "Effect of in vivo nicotine exposure on chlorpyrifos pharmacokinetics and pharmacodynamics in rats". Chemico-Biological Interactions. 184 (3): 449–457. doi:10.1016/j.cbi.2010.01.024. ISSN 0009-2797. PMID 20097188.
  63. ^ Billauer-Haimovitch, Hana; Slotkin, Theodore A.; Dotan, Sharon; Langford, Rachel; Pinkas, Adi; Yanai, Joseph (28 December 2009). "Reversal of chlorpyrifos neurobehavioral teratogenicity in mice by nicotine administration and neural stem cell transplantation". Behavioural Brain Research. 205 (2): 499–504. doi:10.1016/j.bbr.2009.08.006. ISSN 0166-4328. PMC 2782724. PMID 19682500.
  64. ^ Qiao, Dan; Seidler, Frederic J.; Violin, Jonathan D.; Slotkin, Theodore A. (30 December 2003). "Nicotine is a developmental neurotoxicant and neuroprotectant: stage-selective inhibition of DNA synthesis coincident with shielding from effects of chlorpyrifos". Developmental Brain Research. Role of Prenatal Drugs of Abuse on Neuronal Development. 147 (1–2): 183–190. doi:10.1016/S0165-3806(03)00222-0. ISSN 0165-3806. PMID 14741763.
  65. ^ a b U.S. EPA (30 June 2011). Chlorpyrifos Preliminary Human Health Risk Assessment for Registration Review (PDF) (Report). Retrieved 24 July 2014.
  66. ^ a b c Rabin, Roni Caryn (16 May 2017). "A Strong Case Against a Pesticide Does Not Faze E.P.A. Under Trump". The New York Times. p. D1. Retrieved 28 March 2018.
  67. ^ a b c d Drew, Danette. "Chlorpyrifos Revised Human Health Risk Assessment (2016)". Regulations.gov. EPA. Retrieved 8 April 2018.
  68. ^ "TOXNET". toxnet.nlm.nih.gov. Retrieved 15 October 2018.
  69. ^ a b Trunnelle, Kelly J.; Bennett, Deborah H.; Tulve, Nicolle S.; Clifton, Matthew Scott; Davis, Mark D.; Calafat, Antonia M.; Moran, Rebecca; Tancredi, Daniel J.; Hertz-Picciotto, Irva (4 February 2014). "Urinary pyrethroid and chlorpyrifos metabolite concentrations in northern California families and their relationship to indoor residential Iinsecticide levels, part of the study of use of products and exposure related behavior (SUPERB)". Environmental Science & Technology. 48 (3): 1931–1939. Bibcode:2014EnST...48.1931T. doi:10.1021/es403661a. ISSN 0013-936X. PMID 24422434.
  70. ^ Eskenazi, Brenda; Harley, Kim; Bradman, Asa; Weltzien, Erin; Jewell, Nicholas P.; Barr, Dana B.; Furlong, Clement E.; Holland, Nina T. (2004). "Association of in Utero Organophosphate Pesticide Exposure and Fetal Growth and Length of Gestation in an Agricultural Population". Environmental Health Perspectives. 112 (10): 1116–1124. doi:10.1289/ehp.6789. ISSN 0091-6765. PMC 1247387. PMID 15238287.
  71. ^ Lu, Chensheng; Dana B. Barr; Melanie A. Pearson; Lance A. Waller (2008). "Dietary Intake and Its Contribution to Longitudinal Organophosphorus Pesticide Exposure in Urban/Suburban Children". Environ. Health Perspect. 116 (4): 537–542. doi:10.1289/ehp.10912. PMC 2290988. PMID 18414640.
  72. ^ a b Fenske, Richard A.; Lu, Chensheng; Barr, Dana; Needham, Larry (5 April 2002). "Children's Exposure to Chlorpyrifos and Parathion in an Agricultural Community in Central Washington State". Environmental Health Perspectives. 110 (5): 549–553. doi:10.1289/ehp.02110549. ISSN 0091-6765. PMC 1240847. PMID 12003762.
  73. ^ Lu, Chensheng; Barr, Dana B.; Pearson, Melanie A.; Waller, Lance A. (2008). "Dietary Intake and Its Contribution to Longitudinal Organophosphorus Pesticide Exposure in Urban/Suburban Children". Environmental Health Perspectives. 116 (4): 537–542. doi:10.1289/ehp.10912. ISSN 0091-6765. PMC 2290988. PMID 18414640.
  74. ^ Morgan, Marsha; Wilson, Nancy; Chuang, Jane; Morgan, Marsha K.; Wilson, Nancy K.; Chuang, Jane C. (3 April 2014). "Exposures of 129 Preschool Children to Organochlorines, Organophosphates, Pyrethroids, and Acid Herbicides at Their Homes and Daycares in North Carolina". International Journal of Environmental Research and Public Health. 11 (4): 3743–3764. doi:10.3390/ijerph110403743. PMC 4025031. PMID 24705361.
  75. ^ Thomas, Kent W.; Dosemeci, Mustafa; Hoppin, Jane A.; Sheldon, Linda S.; Croghan, Carry W.; Gordon, Sydney M.; Jones, Martin L.; Reynolds, Stephen J.; Raymer, James H.; Akland, Gerald G.; Lynch, Charles F.; Knott, Charles E.; Sandler, Dale P.; Blair, Aaron E.; Alavanja, Michael C. (March 2010). "Urinary biomarker, dermal, and air measurement results for 2,4-D and chlorpyrifos farm applicators in the Agricultural Health Study". Journal of Exposure Science and Environmental Epidemiology. 20 (2): 119–134. doi:10.1038/jes.2009.6. ISSN 1559-0631. PMC 3633453. PMID 19240759.
  76. ^ Curwin, Brian D.; Hein, Misty J.; Sanderson, Wayne T.; Striley, Cynthia; Heederik, Dick; Kromhout, Hans; Reynolds, Stephen J.; Alavanja, Michael C. (1 January 2007). "Urinary pesticide concentrations among children, mothers and fathers living in farm and non-farm households in Iowa". Annals of Occupational Hygiene. 51 (1): 53–65. doi:10.1093/annhyg/mel062. ISSN 0003-4878. PMID 16984946.
  77. ^ Egeghy, Peter P.; Cohen Hubal, Elaine A.; Tulve, Nicolle S.; Melnyk, Lisa J.; Morgan, Marsha K.; Fortmann, Roy C.; Sheldon, Linda S. (24 May 2011). "Review of pesticide urinary biomarker measurements from selected US EPA children's observational exposure studies". International Journal of Environmental Research and Public Health. 8 (5): 1727–1754. doi:10.3390/ijerph8051727. PMC 3108137. PMID 21655147.
  78. ^ Vogel, Dana (2016). "Chlorpyrifos Status Update". EPA. Retrieved 15 October 2018.
  79. ^ "CARB Chlorpyrifos Monitoring Studies". Cdpr.ca.gov. Archived from the original on 20 July 2007. Retrieved 20 November 2011.
  80. ^ Lee, S; McLaughlin, R; Harnly, M; Gunier, R; Kreutzer, R (December 2002). "Community Exposures to Airborne Agricultural Pesticides in California: Ranking of Inhalation Risks". Environmental Health Perspectives. 110 (12): 1175–84. doi:10.1289/ehp.021101175. PMC 1241103. PMID 12460795.
  81. ^ S Kegley et al., "Secondhand Pesticides", Pesticide Action Network North America, 2003 Archived 21 April 2006 at the Wayback Machine
  82. ^ Gibbs, Jenna L.; Yost, Michael G.; Negrete, Maria; Fenske, Richard A. (2017). "Passive Sampling for Indoor and Outdoor Exposures to Chlorpyrifos, Azinphos-Methyl, and Oxygen Analogs in a Rural Agricultural Community". Environmental Health Perspectives. 125 (3): 333–341. doi:10.1289/ehp425. ISSN 0091-6765. PMC 5332193. PMID 27517732.
  83. ^ Kegley, Susan; Tupper, Karl; Wangand, Andrew (December 2006). Air Monitoring for Chlorpyrifos in the Yakima Valley, Washington, April 2006 (PDF) (Report). Pesticide Action Network North America. Retrieved 5 August 2014.
  84. ^ Californians for Pesticide Reform. "Airborne Poisons: Pesticides in Our Air and in Our Bodies" (PDF). Archived from the original (PDF) on 7 June 2013. Retrieved 5 August 2014.
  85. ^ Hansen, Heather (18 January 2007). "Heather Hansen, "Proper Pest Management Keeps Washington Fruit Crop Healthy", Seattle Post Intellegencer, Jan 19, 2007". Seattlepi.com. Retrieved 20 November 2011.
  86. ^ "Douglas Fischer, "Toxins permeate Central Valley town", Tri-Valley Herald, May 15th, 2007". Origin.insidebayarea.com. 16 May 2007. Archived from the original on 8 January 2016. Retrieved 20 November 2011.
  87. ^ "Californians For Pesticide Reform, Airborne Poisons: Pesticides in Our Air, and in Our Bodies, May 16th, 2007" (PDF). Archived from the original (PDF) on 7 June 2013. Retrieved 20 November 2011.
  88. ^ a b Giddings, Jeffrey M.; Williams, W. Martin; Solomon, Keith R.; Giesy, John P. (2014). "Risks to Aquatic Organisms from Use of Chlorpyrifos in the United States – Springer". Ecological Risk Assessment for Chlorpyrifos in Terrestrial and Aquatic Systems in the United States. Reviews of Environmental Contamination and Toxicology. Reviews of Environmental Contamination and Toxicology, Continuation of Residue Reviews. 231. pp. 119–162. doi:10.1007/978-3-319-03865-0_5. ISBN 978-3-319-03864-3. PMID 24723135.
  89. ^ "Ban on domestic sale of insecticide welcomed by fisheries groups". FishUpdate.com. 28 August 2013. Archived from the original on 12 April 2018. Retrieved 11 April 2018.
  90. ^ Case, Philip (1 October 2013). "Domestic source 'likely' cause of Kennet pollution". Farmers Weekly. Archived from the original on 10 August 2014. Retrieved 5 August 2014.
  91. ^ Washington State Department of Agriculture. "Bee Kill Prevention for Tree Fruits" (PDF). Retrieved 5 August 2014.
  92. ^ a b Sanchez-Bayo, Francisco; Goka, Koichi (9 April 2014). "Pesticide Residues and Bees – A Risk Assessment". PLOS ONE. 9 (4): –94482. Bibcode:2014PLoSO...994482S. doi:10.1371/journal.pone.0094482. PMC 3981812. PMID 24718419.
  93. ^ Zhu, Wanyi; Schmehl, Daniel R.; Mullin, Christopher A.; Frazier, James L. (2014). "Four common pesticides, their mixtures and a formulation solvent in the hive environment have high oral toxicity to honey bee larvae". PLOS ONE. 9 (1): –77547. Bibcode:2014PLoSO...977547Z. doi:10.1371/journal.pone.0077547. ISSN 1932-6203. PMC 3885384. PMID 24416121.
  94. ^ a b Williamson, Sally M.; Moffat, Christopher; Gomersall, Martha A. E.; Saranzewa, Nastja; Connolly, Christopher N.; Wright, Geraldine A. (2013). "Exposure to acetylcholinesterase inhibitors alters the physiology and motor function of honeybees". Frontiers in Physiology. 4: 13. doi:10.3389/fphys.2013.00013. PMC 3564010. PMID 23386834.
  95. ^ Williamson, Sally M.; Wright, Geraldine A. (15 May 2013). "Exposure to multiple cholinergic pesticides impairs olfactory learning and memory in honeybees". The Journal of Experimental Biology. 216 (10): 1799–1807. doi:10.1242/jeb.083931. ISSN 0022-0949. PMC 3641805. PMID 23393272.
  96. ^ Watts, Meriel (2012). "Chlorpyrifos as a possible global POP" (PDF). Pesticide Action Network North America, Oakland, CA. WWW. Pan-europe. Info/News/PR/121009_Chlorpyrifos_as_POP_final. PDF. Retrieved 21 July 2014.
  97. ^ Directive 98/8/EC of the European parliament and of the council of 16 February 1998, concerning the placing of biocidal products on the market. Published in the Official Journal of the European Communities, 24 April 1998
  98. ^ Yong, Koh Chin (1 January 2009). "Prohibition on the use of chlorpyrifos in Singapore" (PDF). National Environment Agency. Archived from the original (PDF) on 21 August 2014. Retrieved 14 August 2014.
  99. ^ "Harmful pesticide banned in SA – South Africa". IOL News. Retrieved 8 August 2014.
  100. ^ Kumar, Devesh (18 September 2010). "Dow AgroSciences Blacklisted for Bribing". The Economic Times. Retrieved 19 August 2014.
  101. ^ "Dow raided by CBI: profited $330,000 by bribing officials to license Dursban". International Campaign for Justice in Bhopal. 21 August 2007. Retrieved 19 August 2014.
  102. ^ "Changes to authorisations for products containing chlorpyrifos". Health and Safety Executive. Retrieved 7 November 2019.
  103. ^ Norén, Erika; Lindh, Christian; et al. (1 July 2020). "Concentrations and temporal trends in pesticide biomarkers in urine of Swedish adolescents, 2000–2017". Journal of Exposure Science & Environmental Epidemiology. 30 (4): 756–767. doi:10.1038/s41370-020-0212-8. ISSN 1559-064X. ... , as chlorpyrifos has never been approved for plant protection in Sweden.
  104. ^ U.S. EPA (22 February 2013). "Summary of the Toxic Substances Control Act" (Overviews and Factsheets). Retrieved 11 August 2014.
  105. ^ U.S. EPA, Office of Pesticide Programs (February 2002). "Chlorpyrifos Facts". Retrieved 21 July 2014.
  106. ^ U.S. EPA (27 June 2001). "Chlorpyrifos; Receipt of Requests For End-Use Product Amendments and Cancellations". Federal Register. Retrieved 23 July 2014.
  107. ^ Revkin, Andrew C. (9 June 2000). "E.P.A., Citing Risks to Children, Signs Accord to Limit Insecticide". The New York Times. ISSN 0362-4331. Retrieved 20 August 2014.
  108. ^ Beckerman, Josh (31 October 2015). "EPA Proposes Ending Use of Certain Pesticide on Foods, Citing Risk to Water". Wall Street Journal. Retrieved 31 October 2015.
  109. ^ "Pesticide Action Network v. U.S. Environmental Protection Agency" (WebContent). Retrieved 14 August 2015.
  110. ^ a b Chlorpyrifos Tolerance Revocations: A Proposed Rule by the Environmental Protection Agency, 6 November 2015, retrieved 30 March 2015 Docket number EPA-HQ-OPP-2015-0653. This report is no longer available on the EPA website
  111. ^ Dow AgroSciences, U.S. Farmers Disagree with U.S. EPA Proposal to Revoke Chlorpyrifos Tolerances, Dow AgroSciences, 10 November 2016, retrieved 30 March 2017
  112. ^ EPA Urged to Ban Widely-Used Pesticide Chlorpyrifos, Environment News Service, 5 January 2016, retrieved 30 March 2017
  113. ^ "The Facts on Chlorpyrifos". Fact Check.Org. 27 April 2017. Retrieved 2 July 2017.
  114. ^ a b "EPA chief met with Dow Chemical CEO before deciding not to ban toxic pesticide". Los Angeles Times. 27 June 2017. Retrieved 2 July 2017.
  115. ^ "Scott Pruitt, Trump's EPA chief met with Dow Chemical exec before rolling back a ban on pesticides". Business Insider. Retrieved 6 August 2017.
  116. ^ Lipton, Eric; Rabin, Roni Caryn (18 August 2017). "E.P.A. Promised 'a New Day' for the Agriculture Industry, Documents Reveal". The New York Times. ISSN 0362-4331. Retrieved 28 August 2017.
  117. ^ Lipton, Eric (9 August 2018). "Court Orders E.P.A. To Ban Chlorpyrifos, Pesticide Tied to Children's Health Problems". The New York Times.
  118. ^ "What is the Insecticide Chlorpyrifos?". 10 August 2018.
  119. ^ US EPA Office of Pesticide Programs (20 August 2015). "EPA sets limits on the amount of pesticides that may remain in foods". Retrieved 23 July 2014.
  120. ^ a b c d e "US Environmental Protection Agency Office of Pesticide Programs Reregistration Eligibility Decision for Chlorpyrifos" (PDF). 2006. Retrieved 23 July 2014.
  121. ^ "Compliance Policy Guides – CPG Sec. 575.100 Pesticide Residues in Food and Feed – Enforcement Criteria" (WebContent). Retrieved 23 July 2014.
  122. ^ US Environmental Protection Agency. "Proposal to Revoke Chlorpyrifos Food Residue Tolerances" (WebContent). Retrieved 4 February 2017.
  123. ^ Lerner, Sharon (14 January 2017). "POISON FRUIT: Dow Chemical Wants Farmers to Keep Using a Pesticide Linked to Autism and ADHD". Retrieved 4 February 2017.
  124. ^ a b c Code of Federal Regulations (1 July 2010). "Section 180.342 – Chlorpyrifos; tolerances for residues". Retrieved 23 July 2014.
  125. ^ "Chlorpyrifos – PubChem". Retrieved 23 July 2014.
  126. ^ "Tolerances and Exemptions for Pesticide Chemical Residues in Food [ 40 CFR 180 ] : (Protection of Environment [ 40 CFR ])". Code of Federal Regulations. Archived from the original on 29 July 2014. Retrieved 23 July 2014.
  127. ^ "Designation of Hazardous Substances [ 40 CFR 116 ] : (Protection of Environment [ 40 CFR ])". Archived from the original on 29 July 2014. Retrieved 23 July 2014.
  128. ^ a b GCF (10 January 2008). "Hazardous Substances Data Bank: Chlorpyrifos" (Reference Resources). U.S National Library of Medicine TOXNET.
  129. ^ "New Limits on Pesticide Uses Will Protect Salmon". 11 September 2009. Retrieved 23 July 2014.
  130. ^ "Registrants' Response to EPA's April 29, 2010 Letter: Implementation of Chlorpyrifos, Diazinon and Malathion Salmonid BiOp-Davids letter" (PDF). 7 May 2010. Retrieved 15 August 2014.
  131. ^ "Regulatory Developments: Court of Appeals Issues Landmark Ruling Vacating Biological Opinion Concerning Effects of Three Pesticides on Salmon Species". Bergeson & Campbell. 25 February 2013. Retrieved 18 August 2014.
  132. ^ "ODA Pesticides Interim court ordered pesticide buffers". Retrieved 18 August 2014.
  133. ^ McLernon, Sean. "EPA Settlement Creates Pesticide-Free Zones For Salmon – Law360". Retrieved 18 August 2014.
  134. ^ "Chlorpyrifos – CERCLA Quantities". NIH U.S National Library of Medicine WebWISER. Retrieved 23 July 2014.
  135. ^ Fried, John J. (20 March 1996). "The Pesticide Puzzle". Chicago Tribune. Retrieved 19 August 2014.
  136. ^ "OSHA PEL Project Documentation: Chlorpyrifos". CDC- NIOSH. 1988. Retrieved 10 July 2014.
  137. ^ U.S. EPA (22 February 2005). "Three Companies Penalized for Pesticide Violations on Yakama Reservation". Retrieved 15 August 2014.
  138. ^ "Dow AgroSciences agrees to pay $2M to state over pesticide ads". Albany Business Review. 15 December 2003. Retrieved 20 August 2014.
  139. ^ "Water Quality Total Maximum Daily Loads (TMDLs) Program". Oregon Department of Environmental Quality.
  140. ^ "Chemicals Considered or Listed Under Proposition 65 - Chlorpyrifos". OEHHA.
  141. ^ California (11 July 2013). Total Maximum Daily Loads for Chlorpyrifos and Diazinon for the Pajaro River Watershed Monterey, Santa Clara, Santa Cruz, and San Benito Counties, California. 895 Aerovista Place, Suite 101, San Luis Obispo, California 93401: CALIFORNIA REGIONAL WATER QUALITY CONTROL BOARD CENTRAL COAST REGION. p. 65.
  142. ^ Elias, Tom (27 August 2019). "The end in sight for a perilous pesticide in California". Ventura County Star. Retrieved 28 August 2019.
  143. ^ "Hawaii to ban pesticides containing chlorpyrifos". Hawaii 24/7. 14 June 2018. Retrieved 14 June 2018.
  144. ^ "New Hawaii law bans use of pesticide". KHON. 14 June 2018. Retrieved 14 June 2018.
  145. ^ "Chlorpyrifos Chemical Review". The Australian Pesticides and Veterinary Medicine Authority. 27 May 2014.
  146. ^ Hecklen, Alexander (6 August 2019). "Fødevaremyndighed: Frygtet sprøjtegift skader børns udvikling og skal forbydes". dr.dk (in Danish). Danmarks Radio. Retrieved 6 August 2019.
  147. ^ "Statement on the available outcomes of the human health assessment in the context of the pesticides peer review of the active substance chlorpyrifos" (PDF). dr.dk. European Food Safety Authority Journal. 31 July 2019. Retrieved 31 July 2019.
  148. ^ APINYA WIPATAYOTIN (29 May 2020). "Farmers given 90 days to hand in chemicals". Bangkok Post. Retrieved 30 May 2020.

External links

This article is copied from an article on Wikipedia® - the free encyclopedia created and edited by its online user community. The text was not checked or edited by anyone on our staff. Although the vast majority of Wikipedia® encyclopedia articles provide accurate and timely information, please do not assume the accuracy of any particular article. This article is distributed under the terms of GNU Free Documentation License.

Copyright © 2003-2025 Farlex, Inc Disclaimer
All content on this website, including dictionary, thesaurus, literature, geography, and other reference data is for informational purposes only. This information should not be considered complete, up to date, and is not intended to be used in place of a visit, consultation, or advice of a legal, medical, or any other professional.