Wikipedia

Chloropyramine

Chloropyramine
Chloropyramine.svg
Clinical data
AHFS/Drugs.comInternational Drug Names
Pregnancy
category
  • C
Routes of
administration
Oral (tablets), IM, IV, topical
ATC code
Legal status
Legal status
  • Tablets: OTC, solution for injection: ℞-only (RU)
Pharmacokinetic data
Bioavailability~100%[1]
MetabolismExtensive hepatic
Onset of action15–30 min (oral)
Identifiers
CAS Number
PubChem CID
DrugBank
ChemSpider
UNII
KEGG
ChEMBL
CompTox Dashboard (EPA)
ECHA InfoCard100.000.383 Edit this at Wikidata
Chemical and physical data
FormulaC16H20ClN3
Molar mass289.81 g·mol−1
3D model (JSmol)
(verify)

Chloropyramine is a classical first-generation antihistamine drug approved in Eastern European countries (like Russia) for the treatment of allergic conjunctivitis, allergic rhinitis, bronchial asthma, and other atopic (allergic) conditions. Related indications for clinical use include angioedema (Quincke's edema), allergic reactions to insect bites, food and drug allergies, and anaphylactic shock.

Chloropyramine is known as a competitive reversible H1 receptor antagonist (also known as an H1 inverse agonist), meaning that it exerts its pharmacological action by competing with histamine for the H1 subtype histamine receptor. By blocking the effects of histamine, the drug inhibits the vasodilation, increased vascular permeability, and tissue edema associated with histamine release in the tissue. The H1 antagonistic properties of chloropyramine can be used by researchers for the purposes of blocking the effects of histamine on cells and tissues. In addition, chloropyramine has some anticholinergic properties.[1]

Chloropyramine's anticholinergic properties and the fact that it can pass through the blood–brain barrier are linked to its clinical side effects: drowsiness, weakness, vertigo, fatigue, dryness in the mouth, constipation, and rarely — visual disturbances and increase of intraocular pressure.

Clinical dosage and administration

In cases of severe allergic reactions, chloropyramine can be injected intramuscularly or intravenously. Oral administration: In adults, 25 mg can be taken 3 to 4 times daily (up to 150 mg); in children over 5 years old, 25 mg can be taken 2 to 3 times daily. For external application, the skin or the eye conjunctiva can be treated up to several times a day by applying a thin layer of cream or ointment containing 1% chloropyramine hydrochloride.

Contraindications

Contraindications for parenteral or oral administration include benign prostatic hyperplasia, peptic ulcer, pyloric and duodenal stenosis, uncontrolled glaucoma, pregnancy and breast-feeding. It is not intended for the management of acute bronchospasm.[1]

Special warnings and precautions

Chloropyramine should not be used internally with alcohol, sedative drugs and hypnotics because of the potentiation of the effects. It should be used with caution in patients suffering from hyperthyroidism, cardiovascular diseases and asthma. In children, it can induce agitation, and in many adult patients dizziness may be observed. Because of the pronounced sedative effect the preparation should be prescribed cautiously in drivers and people working with machines.

Drug interactions

Chloropyramine should not be used internally with MAO inhibitors. Because of its anticholinergic activity, concurrent administration with cholinomimetics is not advisable. General anesthetics, analgesic agents and psycholeptics potentiate the sedative effect of chloropyramine.

Trade names

  • Allergopress, Chimpharm AD (KZ)
  • Allergosan, Sopharma AD (BG, GE, LV)
  • Suprastin, Egis Pharmaceuticals PLC (GE, HU, KZ, LT, LV, UA, RU)
  • Supralgon, Biopharm JSC (GE)
  • Supranorm-Tsiteli A, Rompharm Co. (GE)
  • Synopen, Pliva d.o.o. (BA, HR, RS)

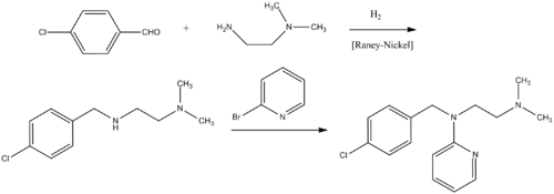
Synthesis

Chloropyramine synthesis:[2][3][4][5][6][7][8]

The preparation begins with the condensation of 4-chlorobenzaldehyde with 1,1-dimethyethylenediamine. The resulting Schiff base is reduced. The resulting amine is then further reacts with 2-bromopyridine in the presence of sodamide.

Chloropyramine synthesis 2: U.S. Patent 2,607,778
Chloropyramine synthesis 3: GB 651596

See also

References

  1. ^ a b c "Chloropyramine Tablets for Oral Use. Prescribing Information". State Register of Medicines (in Russian). Ozon OOO. Retrieved 5 January 2016.
  2. ^ Vaughan JR, Anderson GW (March 1949). "Antihistamine agents; halogenated N,N-dimethyl-N-benzyl-N-(2-pyridyl)-ethylenediamines". The Journal of Organic Chemistry. 14 (2): 228–34. doi:10.1021/jo01154a006. PMID 18117722.
  3. ^ US granted 2569314, Kenneth HL, "N, n-dimethyl-n'-(4-halobenzyl)-n'-(2-pyridyl) ethylenediamines and preparation of the same", issued 1951, assigned to American Cyanamide
  4. ^ US granted 2607778, Cates EM, Phillips RF, "Process of preparing n, n-dimethyln'-(p-chlorobenzyl)-n'-(2-pyridyl)-ethylenediamine", issued 1952, assigned to Merck & Co.
  5. ^ CH granted 264754, "Verfahren zur Herstellung eines Äthylendiaminderivates.", issued 1950, assigned to J. R. Geigy AG
  6. ^ CH granted 266234, "Verfahren zur Herstellung eines Äthylendiaminderivates.", issued 1950, assigned to J. R. Geigy AG
  7. ^ CH granted 266235, "Verfahren zur Herstellung eines Äthylendiaminderivates.", issued 1950, assigned to J. R. Geigy AG
  8. ^ GB granted 651596, "Manufacture of n-(2-pyridyl)-n-(p-chloro-benzyl)-n:n-dimethyl-ethylenediamine", issued 1951, assigned to J. R. Geigy AG
This article is copied from an article on Wikipedia® - the free encyclopedia created and edited by its online user community. The text was not checked or edited by anyone on our staff. Although the vast majority of Wikipedia® encyclopedia articles provide accurate and timely information, please do not assume the accuracy of any particular article. This article is distributed under the terms of GNU Free Documentation License.

Copyright © 2003-2025 Farlex, Inc Disclaimer
All content on this website, including dictionary, thesaurus, literature, geography, and other reference data is for informational purposes only. This information should not be considered complete, up to date, and is not intended to be used in place of a visit, consultation, or advice of a legal, medical, or any other professional.