Wikipedia

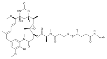
Cantuzumab mertansine

Cantuzumab mertansine
Mertansine mab structure.svg
Monoclonal antibody
TypeWhole antibody
SourceHumanized (from mouse)
TargetMUC1
Clinical data
ATC code
  • none
Identifiers
CAS Number
ChemSpider
  • none
UNII
(verify)

Cantuzumab mertansine (SB-408075; huC242-DM1) is an antibody-drug conjugate investigated to treat colorectal cancer and other types of cancer.[1] It is a humanized monoclonal antibody, cantuzumab (huC242) linked to a cytotoxic agent, mertansine (DM1).[2] It was developed by ImmunoGen.

Mechanism

After the huC242 mab binds to the external domain of CanAg, the cantuzumab mertansine-CanAg complex is internalized, and the DM1 molecules are released intracellularly by cleavage of the DM1-huC242 disulfide bonds.[3]

Clinical trials

Three phase I clinical studies had reported results by 2003.[4] By 2005, clinical development had been suspended.[5]

See also

  • Cantuzumab ravtansine

References

  1. ^ Statement On A Nonproprietary Name Adopted By The Usan Council - Cantuzumab mertansine, American Medical Association. Archived 2011-06-04 at the Wayback Machine
  2. ^ Rodon J, Garrison M, Hammond LA, de Bono J, Smith L, Forero L, et al. (October 2008). "Cantuzumab mertansine in a three-times a week schedule: a phase I and pharmacokinetic study". Cancer Chemotherapy and Pharmacology. 62 (5): 911–9. doi:10.1007/s00280-007-0672-8. PMID 18301896. S2CID 5829870.
  3. ^ Helft PR, Schilsky RL, Hoke FJ, Williams D, Kindler HL, Sprague E, et al. (July 2004). "A phase I study of cantuzumab mertansine administered as a single intravenous infusion once weekly in patients with advanced solid tumors". Clinical Cancer Research. 10 (13): 4363–8. doi:10.1158/1078-0432.CCR-04-0088. PMID 15240523.
  4. ^ Smith SV (December 2004). "Technology evaluation: cantuzumab mertansine, ImmunoGen". Current Opinion in Molecular Therapeutics. 6 (6): 666–74. PMID 15663331.
  5. ^ "Cantuzumab mertansine". Springer Nature Switzerland AG.
This article is copied from an article on Wikipedia® - the free encyclopedia created and edited by its online user community. The text was not checked or edited by anyone on our staff. Although the vast majority of Wikipedia® encyclopedia articles provide accurate and timely information, please do not assume the accuracy of any particular article. This article is distributed under the terms of GNU Free Documentation License.

Copyright © 2003-2025 Farlex, Inc Disclaimer
All content on this website, including dictionary, thesaurus, literature, geography, and other reference data is for informational purposes only. This information should not be considered complete, up to date, and is not intended to be used in place of a visit, consultation, or advice of a legal, medical, or any other professional.