Wikipedia

Butoconazole

Also found in: Medical.
Butoconazole
Butoconazole.svg
Clinical data
Trade namesGynazole-1, Mycelex-3
AHFS/Drugs.comMonograph
MedlinePlusa682012
License data
Pregnancy
category
  • AU: B3
Routes of
administration
Vaginal cream
ATC code
Legal status
Legal status
  • US: OTC / Rx-only
Identifiers
CAS Number
PubChem CID
DrugBank
ChemSpider
UNII
KEGG
ChEBI
ChEMBL
CompTox Dashboard (EPA)
Chemical and physical data
FormulaC19H17Cl3N2S
Molar mass411.77 g·mol−1
3D model (JSmol)
(verify)

Butoconazole (trade names Gynazole-1, Mycelex-3) is an imidazole antifungal used in gynecology. It is administered as a vaginal cream.[1][2]

Synthesis

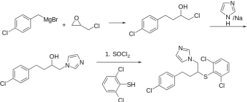
Butoconazole synthesis:[3][4]

Reaction of epichlorohydrin with 4-Chlorobenzyl magnesium bromide leads to 1-chloro-4-(4-chlorophenyl)butan-2-ol (3). Displacement with sodium imidazole, conversion of the secondary alcohol to the chloride (SOCl2), and displacement with 2,6-dichlorobenzenethiol concludes the synthesis of the antifungal butoconazole.

References

  1. ^ Seidman LS, Skokos CK (December 2005). "An evaluation of butoconazole nitrate 2% site release vaginal cream (Gynazole-1) compared to fluconazole 150 mg tablets (Diflucan) in the time to relief of symptoms in patients with vulvovaginal candidiasis". Infectious Diseases in Obstetrics and Gynecology. 13 (4): 197–206. doi:10.1155/2005/453239. PMC 1784583. PMID 16338779.
  2. ^ Butoconazole Monograph
  3. ^ Walker KA, Braemer AC, Hitt S, Jones RE, Matthews TR (August 1978). "1-[4-(4-Chlorophenyl)-2-(2,6-dichlorophenylthio)-n-butyl]-1H-imidazole nitrate, a new potent antifungal agent". Journal of Medicinal Chemistry. 21 (8): 840–3. doi:10.1021/jm00206a028. PMID 357722.
  4. ^ US 4078071, Walker KA, "Derivatives of substituted N-alkyl imidazoles", issued 7 March 1978, assigned to Syntex

External links

  • "Butoconazole". Drug Information Portal. U.S. National Library of Medicine.


This article is copied from an article on Wikipedia® - the free encyclopedia created and edited by its online user community. The text was not checked or edited by anyone on our staff. Although the vast majority of Wikipedia® encyclopedia articles provide accurate and timely information, please do not assume the accuracy of any particular article. This article is distributed under the terms of GNU Free Documentation License.

Copyright © 2003-2025 Farlex, Inc Disclaimer
All content on this website, including dictionary, thesaurus, literature, geography, and other reference data is for informational purposes only. This information should not be considered complete, up to date, and is not intended to be used in place of a visit, consultation, or advice of a legal, medical, or any other professional.