Wikipedia

Braided monoidal category

In mathematics, a commutativity constraint on a monoidal category is a choice of isomorphism for each pair of objects A and B which form a "natural family." In particular, to have a commutativity constraint, one must have for all pairs of objects .

A braided monoidal category is a monoidal category equipped with a braiding—that is, a commutativity constraint that satisfies axioms including the hexagon identities defined below. The term braided references the fact that the braid group plays an important role in the theory of braided monoidal categories. Partly for this reason, braided monoidal categories and other topics are related in the theory of knot invariants.

Alternatively, a braided monoidal category can be seen as a tricategory with one 0-cell and one 1-cell.

Braided monoidal categories were introduced by André Joyal and Ross Street in a 1986 preprint.[1] A modified version of this paper was published in 1993.[2]

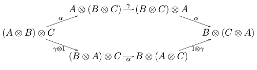
The hexagon identities

For along with the commutativity constraint to be called a braided monoidal category, the following hexagonal diagrams must commute for all objects . Here is the associativity isomorphism coming from the monoidal structure on :

Braid category hexagon.svg,
Braid category inverse hexagon.svg

Properties

Coherence

It can be shown that the natural isomorphism along with the maps coming from the monoidal structure on the category , satisfy various coherence conditions, which state that various compositions of structure maps are equal. In particular:

  • The braiding commutes with the units. That is, the following diagram commutes:
Braid category triangle.svg
  • The action of on an -fold tensor product factors through the braid group. In particular,

as maps . Here we have left out the associator maps.

Variations

There are several variants of braided monoidal categories that are used in various contexts. See, for example, the expository paper of Savage (2009) for an explanation of symmetric and coboundary monoidal categories, and the book by Chari and Pressley (1995) for ribbon categories.

Symmetric monoidal categories

A braided monoidal category is called symmetric if also satisfies for all pairs of objects and . In this case the action of on an -fold tensor product factors through the symmetric group.

Ribbon categories

A braided monoidal category is a ribbon category if it is rigid, and it may preserve quantum trace and co-quantum trace. Ribbon categories are particularly useful in constructing knot invariants.

Coboundary monoidal categories

A coboundary or “cactus” monoidal category is a monoidal category together with a family of natural isomorphisms with the following properties:

  • for all pairs of objects and .

The first property shows us that , thus allowing us to omit the analog to the second defining diagram of a braided monoidal category and ignore the associator maps as implied.

Examples

Applications

  • Knot invariants.
  • Symmetric closed monoidal categories are used in denotational models of linear logic and linear types.
  • Description and classification of topological ordered quantum systems.

References

  1. ^ André Joyal; Ross Street (November 1986), "Braided monoidal categories" (PDF), Macquarie Mathematics Reports (860081)
  2. ^ André Joyal; Ross Street (1993), "Braided tensor categories", Advances in Mathematics, 102: 20–78, doi:10.1006/aima.1993.1055
  • Chari, Vyjayanthi; Pressley, Andrew. "A guide to quantum groups". Cambridge University Press. 1995.
  • Savage, Alistair. Braided and coboundary monoidal categories. Algebras, representations and applications, 229–251, Contemp. Math., 483, Amer. Math. Soc., Providence, RI, 2009. Available on the arXiv

External links

This article is copied from an article on Wikipedia® - the free encyclopedia created and edited by its online user community. The text was not checked or edited by anyone on our staff. Although the vast majority of Wikipedia® encyclopedia articles provide accurate and timely information, please do not assume the accuracy of any particular article. This article is distributed under the terms of GNU Free Documentation License.

Copyright © 2003-2025 Farlex, Inc Disclaimer
All content on this website, including dictionary, thesaurus, literature, geography, and other reference data is for informational purposes only. This information should not be considered complete, up to date, and is not intended to be used in place of a visit, consultation, or advice of a legal, medical, or any other professional.