Wikipedia

Bial's test

Also found in: Medical, Encyclopedia.
Bial's test
ClassificationColorimetric method
AnalytesPentoses

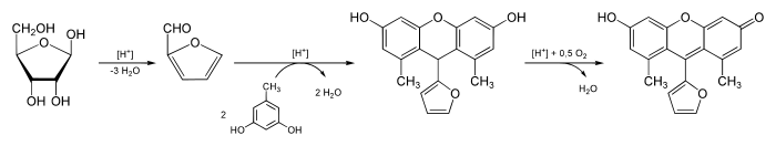
Bial's test is a chemical test for the presence of pentoses. It is named after Manfred Bial, a German physician. The components include orcinol, hydrochloric acid, and ferric chloride. A pentose, if present, will be dehydrated to form furfural which then reacts with the orcinol to generate a colored substance. The solution will turn bluish and a precipitate may form. The solution shows two absorption bands, one in the red between Fraunhofer lines B and C and the other near the D line.[1] An estimate of the relevant wavelengths can be made by referring to the Fraunhofer lines article.

Composition

Bial's test.svg

Bial's reagent consists of 0.4 g orcinol, 200 ml of concentrated hydrochloric acid and 0.5 ml of a 10% solution of ferric chloride.[2] Bial's test is used to distinguish pentoses from hexoses; this distinction is based on the color that develops in the presence of orcinol and iron (III) chloride. Furfural from pentoses gives a blue or green color. The related hydroxymethylfurfural from hexoses may give a muddy-brown, yellow or gray solution, but this is easily distinguishable from the green color of pentoses.

Quantitative version

The test may be performed as a quantitative colorimetric test using a spectrophotometer. Fernell and King have published a procedure for simultaneous determination of pentoses and hexoses from measurements at two wavelengths.[3] Various versions of this test are widely used for a quick chemical determination of RNA; in this context it is usually called the orcinol test.[4]

References

  1. ^ Baldwin, E. and Bell, D.J., Cole's Practical Physiological Chemistry, published by Heffer, Cambridge, 1955, page 189
  2. ^ Baldwin and Bell, page 189
  3. ^ W. R. Fernell and H. K. King, The simultaneous determination of pentose and hexose in mixtures of sugars. Analyst, 1953,78, 80–83
  4. ^ R.S. Hanson and J.A. Phillips, Chemical composition; in Gerhardt, Phillip, ed Manual of methods for General Bacteriology, American Society for Microblogy 1981, p. 349.


This article is copied from an article on Wikipedia® - the free encyclopedia created and edited by its online user community. The text was not checked or edited by anyone on our staff. Although the vast majority of Wikipedia® encyclopedia articles provide accurate and timely information, please do not assume the accuracy of any particular article. This article is distributed under the terms of GNU Free Documentation License.

Copyright © 2003-2025 Farlex, Inc Disclaimer
All content on this website, including dictionary, thesaurus, literature, geography, and other reference data is for informational purposes only. This information should not be considered complete, up to date, and is not intended to be used in place of a visit, consultation, or advice of a legal, medical, or any other professional.