Wikipedia

Benzothiophene

Also found in: Encyclopedia.
Benzothiophene[1][2]
Benzothiophene
Benzothiophene
Names
Preferred IUPAC name
1-Benzothiophene
Other names
Benzo[b]thiophene
Thianaphthene
Benzothiofuran
Identifiers
3D model (JSmol)
ChEBI
ChEMBL
ChemSpider
ECHA InfoCard 100.002.178 Edit this at Wikidata
EC Number
  • 202-395-7
RTECS number
  • 202-395-7
UNII
CompTox Dashboard (EPA)
Properties
C8H6S
Molar mass 134.20 g·mol−1
Appearance White solid
Density 1.15 g/cm3
Melting point 32 °C (90 °F; 305 K)
Boiling point 221 °C (430 °F; 494 K)
Hazards
GHS pictograms GHS07: HarmfulGHS09: Environmental hazard
GHS Signal word Warning
GHS hazard statements
H302, H411
GHS precautionary statements
P264, P270, P273, P301+312, P330, P391, P501
Flash point 110 °C (230 °F; 383 K)
Related compounds
Related compounds
Thiophene,
Indene, Benzofuran, Indole
Except where otherwise noted, data are given for materials in their standard state (at 25 °C [77 °F], 100 kPa).

Benzothiophene is an aromatic organic compound with a molecular formula C8H6S and an odor similar to naphthalene (mothballs). It occurs naturally as a constituent of petroleum-related deposits such as lignite tar. Benzothiophene has no household use. In addition to benzo[b]thiophene, a second isomer is known: benzo[c]thiophene.[3]

Benzothiophene finds use in research as a starting material for the synthesis of larger, usually bioactive structures. It is found within the chemical structures of pharmaceutical drugs such as raloxifene, zileuton, and sertaconazole, and also BTCP. It is also used in the manufacturing of dyes such as thioindigo.

Synthesis

Most syntheses of benzothiophene create substituted benzothiophenes as a precursor to further reactions. An example is the reaction of an alkyne-substituted 2-bromobenzene with either sodium sulphide or potassium sulphide to form benzothiophene with an alkyl substitution at position 2.[4]

2-bromo-alkynbenzene reacting to form 2 substituted benzothiophene.png

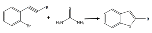
Thiophene can be used as a reagent in place of sodium sulphide or potassium sulphide.[5]

2-bromo-alkynbenzene reacting with thiourea to form 2 substituted benzothiophene.png

In the presence of a gold catalyst, a more complex 2,3-disubstituted benzothiophene can be synthesised.[6]

Carbothiolation to form substituted benzothiophene.png

References

  1. ^ Merck Index, 11th Edition, 9232
  2. ^ "Thianaphthene". www.sigmaaldrich.com. Sigma Aldrich. Retrieved 12 November 2020.
  3. ^ Cava, Michael P.; Lakshmikantham, M. V. (1975). "Nonclassical Condensed Thiophenes". Accounts of Chemical Research. 8: 139–44. doi:10.1021/ar50088a005.
  4. ^ Sun, Lei-Lei; Deng, Chen-Liang; Tang, Ri-Yuan; Zhang, Xing-Guo (16 September 2011). "CuI/TMEDA-Catalyzed Annulation of 2-Bromo Alkynylbenzenes with Na2S: Synthesis of Benzo[b]thiophenes". The Journal of Organic Chemistry. American Chemical Society (ACS). 76 (18): 7546–7550. doi:10.1021/jo201081v. ISSN 0022-3263.
  5. ^ Kuhn, Marius; Falk, Florian C.; Paradies, Jan (5 August 2011). "Palladium-Catalyzed C–S Coupling: Access to Thioethers, Benzo[b]thiophenes, and Thieno[3,2-b]thiophenes". Organic Letters. American Chemical Society (ACS). 13 (15): 4100–4103. doi:10.1021/ol2016093. ISSN 1523-7060.
  6. ^ Nakamura, Itaru; Sato, Takuma; Yamamoto, Yoshinori (3 July 2006). "Gold-Catalyzed Intramolecular Carbothiolation of Alkynes: Synthesis of 2,3-Disubstituted Benzothiophenes from (α-Alkoxy Alkyl) (ortho-Alkynyl Phenyl) Sulfides". Angewandte Chemie International Edition. Wiley. 45 (27): 4473–4475. doi:10.1002/anie.200601178. ISSN 1433-7851.
This article is copied from an article on Wikipedia® - the free encyclopedia created and edited by its online user community. The text was not checked or edited by anyone on our staff. Although the vast majority of Wikipedia® encyclopedia articles provide accurate and timely information, please do not assume the accuracy of any particular article. This article is distributed under the terms of GNU Free Documentation License.

Copyright © 2003-2025 Farlex, Inc Disclaimer
All content on this website, including dictionary, thesaurus, literature, geography, and other reference data is for informational purposes only. This information should not be considered complete, up to date, and is not intended to be used in place of a visit, consultation, or advice of a legal, medical, or any other professional.