Wikipedia

Arenium ion

Ball-and-stick model of the benzenium ion

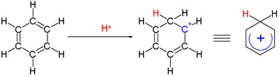
An arenium ion in organic chemistry is a cyclohexadienyl cation that appears as a reactive intermediate in electrophilic aromatic substitution.[1] For historic reasons this complex is also called a Wheland intermediate, after American chemist George Willard Wheland (1907–1976),[2][3] or a sigma complex or σ-complex. The smallest arenium ion is the benzenium ion (C
6
H+
7
), which is protonated benzene.

benzenium ion

Two hydrogen atoms bonded to one carbon lie in a plane perpendicular to the benzene ring.[4] The arenium ion is no longer an aromatic species; however it is relatively stable due to delocalization: the positive charge is delocalized over 3 carbon atoms by the pi system, as depicted on the following resonance structures:

Arenium ion resonance structures

A complexed electrophile can contribute to the stability of arenium ions.

A benzenium ion can be isolated as a stable compound when benzene is protonated by the carborane superacid H(CB11H(CH3)5Br6).[5] The benzenium salt is crystalline with thermal stability up to 150 °C. Bond lengths deduced from X-ray crystallography are consistent with a cyclohexadienyl cation structure.

In one study a methylene arenium ion is stabilized by metal complexation:[6]

Methylene arenium ion

In this reaction sequence the R–Pd(II)–Br starting complex 1 stabilized by TMEDA is converted through dppe to metal complex 2. Electrophilic attack of methyl triflate forms methylene arenium ion 3 with (based on X-ray crystallography) positive charge located in aromatic para position and with the methylene group 6° out of the plane of the ring. Reaction first with water and then with triethylamine hydrolyzes the ether group.

See also

  • Aryl radical
  • Cyclopentadienyl anion
  • Meisenheimer complex, the analogous intermediate in nucleophilic aromatic substitution
  • Tropylium cation

References

  1. ^ Olah, G. A. (1972). "Stable carbocations. CXVIII. General concept and structure of carbocations based on differentiation of trivalent (classical) carbenium ions from three-center bound penta- or tetracoordinated (nonclassical) carbonium ions. Role of carbocations in electrophilic reactions". J. Am. Chem. Soc. 94 (3): 808–820. doi:10.1021/ja00758a020.
  2. ^ Smith, Michael B. (18 October 2010). Organic Chemistry: An Acid—Base Approach. CRC Press. ISBN 9781439894620 – via Google Books.
  3. ^ Wheland, G. W. (1942). "A Quantum Mechanical Investigation of the Orientation of Substituents in Aromatic Molecules". J. Am. Chem. Soc. 64 (4): 900–908. doi:10.1021/ja01256a047.
  4. ^ Sykes, Peter. A Guidebook to Mechanism in Organic Chemistry. p. 130–133.
  5. ^ Reed, C. A.; Kim, K.; Stoyanov, E. S.; Stasko, D.; Tham, F. S.; Mueller, L. J.; Boyd, P. D. W. (2003). "Isolating Benzenium Ion Salts". J. Am. Chem. Soc. 125 (7): 1796–1804. doi:10.1021/ja027336o. PMID 12580605.
  6. ^ Poverenov, E.; Leitus, G.; Milstein, D. (2006). "Synthesis and Reactivity of the Methylene Arenium Form of a Benzyl Cation, Stabilized by Complexation". J. Am. Chem. Soc. (Communication). 128 (51): 16450–1. doi:10.1021/ja067298z. PMID 17177364.
This article is copied from an article on Wikipedia® - the free encyclopedia created and edited by its online user community. The text was not checked or edited by anyone on our staff. Although the vast majority of Wikipedia® encyclopedia articles provide accurate and timely information, please do not assume the accuracy of any particular article. This article is distributed under the terms of GNU Free Documentation License.

Copyright © 2003-2025 Farlex, Inc Disclaimer
All content on this website, including dictionary, thesaurus, literature, geography, and other reference data is for informational purposes only. This information should not be considered complete, up to date, and is not intended to be used in place of a visit, consultation, or advice of a legal, medical, or any other professional.