Wikipedia

Ardeparin sodium

Also found in: Medical.
(redirected from Ardeparin)
Ardeparin sodium
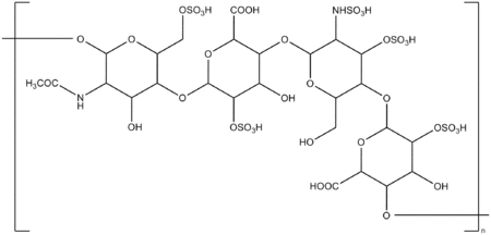
Ardeparin.png
Clinical data
AHFS/Drugs.comMultum Consumer Information
ATC code
  • none
Legal status
Legal status
Pharmacokinetic data
Bioavailability92%
Identifiers
CAS Number
DrugBank
ChemSpider
  • none
UNII
ChEMBL
CompTox Dashboard (EPA)
ECHA InfoCard100.110.590 Edit this at Wikidata
Chemical and physical data
Formula(C26H40N2O36S5)n
Molar mass5500–6500 g/mol (average)
(verify)

Ardeparin (trade name Normiflo) is an anticoagulant. It was used for the prevention of deep vein thrombosis, but was withdrawn from the US market in 2000.[2]

References

  1. ^ "Ardeparin (Normiflo) Use During Pregnancy". Drugs.com. 2 September 2020. Retrieved 13 September 2020.
  2. ^ Drugs.com: Normiflo

External links


This article is copied from an article on Wikipedia® - the free encyclopedia created and edited by its online user community. The text was not checked or edited by anyone on our staff. Although the vast majority of Wikipedia® encyclopedia articles provide accurate and timely information, please do not assume the accuracy of any particular article. This article is distributed under the terms of GNU Free Documentation License.

Copyright © 2003-2025 Farlex, Inc Disclaimer
All content on this website, including dictionary, thesaurus, literature, geography, and other reference data is for informational purposes only. This information should not be considered complete, up to date, and is not intended to be used in place of a visit, consultation, or advice of a legal, medical, or any other professional.