Wikipedia

Alpha-glucosidase

Also found in: Dictionary, Medical, Encyclopedia.
Alpha-glucosidase
2g3n.jpg
Alpha-glucosidase hexamer, Sulfolobus solfataricus
Identifiers
EC number3.2.1.20
CAS number9001-42-7
Databases
IntEnzIntEnz view
BRENDABRENDA entry
ExPASyNiceZyme view
KEGGKEGG entry
MetaCycmetabolic pathway
PRIAMprofile
PDB structuresRCSB PDB PDBe PDBsum
Glycogen structure segment.

Alpha-glucosidase (EC 3.2.1.20, maltase, glucoinvertase, glucosidosucrase, maltase-glucoamylase, alpha-glucopyranosidase, glucosidoinvertase, alpha-D-glucosidase, alpha-glucoside hydrolase, alpha-1,4-glucosidase, alpha-D-glucoside glucohydrolase) is a glucosidase located in the brush border of the small intestine that acts upon α(1→4) bonds.[1][2][3][4][5][6] This is in contrast to beta-glucosidase. Alpha-glucosidase breaks down starch and disaccharides to glucose. Maltase, a similar enzyme that cleaves maltose, is nearly functionally equivalent.

Other glucosidases include:

Mechanism

Alpha-glucosidase hydrolyzes terminal non-reducing (1→4)-linked alpha-glucose residues to release a single alpha-glucose molecule.[7] Alpha-glucosidase is a carbohydrate-hydrolase that releases alpha-glucose as opposed to beta-glucose. Beta-glucose residues can be released by glucoamylase, a functionally similar enzyme. The substrate selectivity of alpha-glucosidase is due to subsite affinities of the enzyme's active site.[8] Two proposed mechanisms include a nucleophilic displacement and an oxocarbenium ion intermediate.[8]

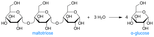
Example of an alpha-glucosidase catalyzed reaction: maltotriose + water → alpha-glucose
  • Rhodnius prolixus, a blood-sucking insect, forms hemozoin (Hz) during digestion of host hemoglobin. Hemozoin synthesis is dependent on the substrate binding site of alpha-glucosidase.[9]
  • Trout liver alpha-glucosidases were extracted and characterized. It was shown that for one of the trout liver alpha-glucosidases maximum activity of the enzyme was increased by 80% during exercise in comparison to a resting trout. This change was shown to correlate to an activity increase for liver glycogen phosphorylase. It is proposed that alpha-glucosidase in the glucosidic path plays an important part in complementing the phosphorolytic pathway in the liver's metabolic response to energy demands of exercise.[10]
  • Yeast and rat small intestinal alpha-glucosidases have been shown to be inhibited by several groups of flavonoids.[11]

Structure

Alpha-glucosidase in complex with maltose and NAD+

Alpha-glucosidases can be divided, according to primary structure, into two families.[8] The gene coding for human lysosomal alpha-glucosidase is about 20 kb long and its structure has been cloned and confirmed.[12]

  • Human lysosomal alpha-glucosidase has been studied for the significance of the Asp-518 and other residues in proximity of the enzyme's active site. It was found that substituting Asp-513 with Glu-513 interferes with posttranslational modification and intracellular transport of alpha-glucosidase's precursor. Additionally, the Trp-516 and Asp-518 residues have been deemed critical for the enzyme's catalytic functionality.[13]
  • Kinetic changes in alpha-glucosidase have been shown to be induced by denaturants such as guanidinium chloride (GdmCl) and SDS solutions. These denaturants cause loss of activity and conformational change. A loss of enzyme activity occurs at much lower concentrations of denaturant than required for conformational changes. This leads to a conclusion that the enzyme's active site conformation is less stable than the whole enzyme conformation in response to the two denaturants.[14]

Disease relevance

  • Glycogen storage disease type II, also called Pompe disease: a disorder in which alpha-glucosidase is deficient. In 2006, the drug alglucosidase alfa became the first released treatment for Pompe disease and acts as an analog to alpha-glucosidase.[15] Further studies of alglucosidase alfa revealed that iminosugars exhibit inhibition of the enzyme. It was found that one compound molecule binds to a single enzyme molecule. It was shown that 1-deoxynojirimycin (DNJ) would bind the strongest of the sugars tested and blocked the active site of the enzyme almost entirely. The studies enhanced knowledge of the mechanism by which alpha-glucosidase binds to imino sugars.[16]
  • Diabetes: Acarbose, an alpha-glucosidase inhibitor, competitively and reversibly inhibits alpha-glucosidase in the intestines. This inhibition lowers the rate of glucose absorption through delayed carbohydrate digestion and extended digestion time. Acarbose may be able to prevent the development of diabetic symptoms.[17] Hence, alpha-glucosidase inhibitors (like acarbose) are used as anti-diabetic drugs in combination with other anti-diabetic drugs. Luteolin has been found to be a strong inhibitor of alpha-glucosidase. The compound can inhibit the enzyme up to 36% with a concentration of 0.5 mg/ml.[18] As of 2016, this substance is being tested in rats, mice and cell culture. Flavonoid analogues have been demonstrated with inhibition activity.[19]
  • Azoospermia: Diagnosis of azoospermia has potential to be aided by measurement of alpha-glucosidase activity in seminal plasma. Activity in the seminal plasma corresponds to the functionality of the epididymis.[20]
  • Antiviral agents: Many animal viruses possess an outer envelope composed of viral glycoproteins. These are often required for the viral life cycle and utilize cellular machinery for synthesis. Inhibitors of alpha-glucosidase show that the enzyme is involved in the pathway for N-glycans for viruses such as HIV and human hepatitis B virus (HBV). Inhibition of alpha-glucosidase can prevent fusion of HIV and secretion of HBV.[21]

See also

References

  1. ^ alpha-Glucosidases at the US National Library of Medicine Medical Subject Headings (MeSH)
  2. ^ Bruni, C.B.; Sica, V.; Auricchio, F.; Covelli, I. (1970). "Further kinetic and structural characterization of the lysosomal α-D-glucoside glucohydrolase from cattle liver". Biochim. Biophys. Acta. 212 (3): 470–477. doi:10.1016/0005-2744(70)90253-6. PMID 5466143.
  3. ^ Flanagan, P.R.; Forstner, G.G. (1978). "Purification of rat intestinal maltase/glucoamylase and its anomalous dissociation either by heat or by low pH". Biochem. J. 173 (2): 553–563. doi:10.1042/bj1730553. PMC 1185809. PMID 29602.
  4. ^ Larner, J.; Lardy, H.; Myrback, K. (1960). "Other glucosidases". In Boyer, P.D. (ed.). The Enzymes. 4 (2nd ed.). New York: Academic Press. pp. 369–378.
  5. ^ Sivikami, S.; Radhakrishnan, A.N. (1973). "Purification of rabbit intestinal glucoamylase by affinity chromatography on Sephadex G-200". Indian J. Biochem. Biophys. 10 (4): 283–284. PMID 4792946.
  6. ^ Sørensen, S.H.; Norén, O.; Sjöström, H.; Danielsen, E.M. (1982). "Amphiphilic pig intestinal microvillus maltase/glucoamylase. Structure and specificity". Eur. J. Biochem. 126 (3): 559–568. doi:10.1111/j.1432-1033.1982.tb06817.x. PMID 6814909.
  7. ^ "EC 3.2.1.20". ExPASy. Retrieved 1 March 2012.
  8. ^ a b c Chiba S (August 1997). "Molecular mechanism in alpha-glucosidase and glucoamylase". Biosci. Biotechnol. Biochem. 61 (8): 1233–9. doi:10.1271/bbb.61.1233. PMID 9301101.
  9. ^ Mury FB, da Silva JR, Ferreira LS, et al. (2009). "Alpha-glucosidase promotes hemozoin formation in a blood-sucking bug: an evolutionary history". PLoS ONE. 4 (9): e6966. doi:10.1371/journal.pone.0006966. PMC 2734994. PMID 19742319.
  10. ^ Mehrani H, Storey KB (October 1993). "Characterization of alpha-glucosidases from rainbow trout liver". Arch. Biochem. Biophys. 306 (1): 188–94. doi:10.1006/abbi.1993.1499. PMID 8215402.
  11. ^ Tadera K, Minami Y, Takamatsu K, Matsuoka T (April 2006). "Inhibition of alpha-glucosidase and alpha-amylase by flavonoids". J. Nutr. Sci. Vitaminol. 52 (2): 149–53. doi:10.3177/jnsv.52.149. PMID 16802696.
  12. ^ Hoefsloot L; M Hoogeveen-Westerveld; A J Reuser; B A Oostra (1 December 1990). "Characterization of the human lysosomal alpha-glucosidase gene". Biochem. J. 272 (2): 493–497. doi:10.1042/bj2720493. PMC 1149727. PMID 2268276.
  13. ^ Hermans, Monique; Marian Kroos; Jos Van Beeumen; Ben Oostra; Arnold Reuser (25 July 1991). "Human Lysosomal a-Glucosidase Characterization of The Catalytic Site". The Journal of Biological Chemistry. 21. 266 (21): 13507–13512. Retrieved 1 March 2012.
  14. ^ Wu XQ, Xu H, Yue H, Liu KQ, Wang XY (December 2009). "Inhibition kinetics and the aggregation of alpha-glucosidase by different denaturants". Protein J. 28 (9–10): 448–56. doi:10.1007/s10930-009-9213-0. PMID 19921411.
  15. ^ "FDA Approves First Treatment for Pompe Disease". FDA News Release. FDA. Retrieved 1 March 2012.
  16. ^ Yoshimizu, M.; Tajima, Y; Matsuzawa, F; Aikawa, S; Iwamoto, K; Kobayashi, T; Edmunds, T; Fujishima, K; Tsuji, D; Itoh, K; Ikekita, M; Kawashima, I; Sugawara, K; Ohyanagi, N; Suzuki, T; Togawa, T; Ohno, K; Sakuraba, H (May 2008). "Binding parameters and thermodynamics of the interaction of imino sugars with a recombinant human acid alpha-glucosidase (alglucosidase alfa): insight into the complex formation mechanism". Clin Chim Acta: 68–73.
  17. ^ Bischoff H (August 1995). "The mechanism of alpha-glucosidase inhibition in the management of diabetes". Clin Invest Med. 18 (4): 303–11. PMID 8549017.
  18. ^ Kim JS, Kwon CS, Son KH (November 2000). "Inhibition of alpha-glucosidase and amylase by luteolin, a flavonoid". Biosci. Biotechnol. Biochem. 64 (11): 2458–61. doi:10.1271/bbb.64.2458. PMID 11193416.
  19. ^ Zhen, et al. (November 2017). "Synthesis of novel flavonoid alkaloids as α -glucosidase inhibitors". Bioorganic & Medicinal Chemistry. 25 (20): 5355–64. doi:10.1016/j.bmc.2017.07.055. PMID 28797772.
  20. ^ Mahmoud AM, Geslevich J, Kint J, et al. (March 1998). "Seminal plasma alpha-glucosidase activity and male infertility". Hum. Reprod. 13 (3): 591–5. doi:10.1093/humrep/13.3.591. PMID 9572418.
  21. ^ Mehta, Anand; Zitzmann, Nicole; Rudd, Pauline M; Block, Timothy M; Dwek, Raymond A (23 June 1998). "α-Glucosidase inhibitors as potential broad based anti-viral agents". FEBS Letters. 430 (1–2): 17–22. doi:10.1016/S0014-5793(98)00525-0. PMID 9678587.
This article is copied from an article on Wikipedia® - the free encyclopedia created and edited by its online user community. The text was not checked or edited by anyone on our staff. Although the vast majority of Wikipedia® encyclopedia articles provide accurate and timely information, please do not assume the accuracy of any particular article. This article is distributed under the terms of GNU Free Documentation License.

Copyright © 2003-2025 Farlex, Inc Disclaimer
All content on this website, including dictionary, thesaurus, literature, geography, and other reference data is for informational purposes only. This information should not be considered complete, up to date, and is not intended to be used in place of a visit, consultation, or advice of a legal, medical, or any other professional.